2021 Vol. 14, No. 6
2021, 14(6): 1305-1316.
doi: 10.37188/CO.2021-0135
cstr: 32171.14.CO.2021-0135
Abstract:
The extinction-to-backscatter ratio is an important optical parameter of aerosols, which is dependent on the type of aerosol. In addition, it is an important source of error in the retrieval of Mie-scattering Lidar. Nowadays, with the rapid development of Lidar in atmospheric aerosol detection, it has become a focus of research. Therefore, it is of great significance to investigate the retrieval methods of the extinction-to-backscatter ratio for aerosol detection and research. According to the choice of instruments and the retrieval principles, this paper summarizes various methods and compares them in terms of optical and microphysical properties. Among them, the light scattering model method, passive optical remote sensing method and Lidar method are closely related and widely used, which provide important support for the detection and research of atmospheric aerosols. This paper mainly introduces these three kinds of relatively mainstream retrieval methods and summarizes the development of related methods. The application, advantages and disadvantages of these methods are analyzed, and their future trends of development are forecasted.
The extinction-to-backscatter ratio is an important optical parameter of aerosols, which is dependent on the type of aerosol. In addition, it is an important source of error in the retrieval of Mie-scattering Lidar. Nowadays, with the rapid development of Lidar in atmospheric aerosol detection, it has become a focus of research. Therefore, it is of great significance to investigate the retrieval methods of the extinction-to-backscatter ratio for aerosol detection and research. According to the choice of instruments and the retrieval principles, this paper summarizes various methods and compares them in terms of optical and microphysical properties. Among them, the light scattering model method, passive optical remote sensing method and Lidar method are closely related and widely used, which provide important support for the detection and research of atmospheric aerosols. This paper mainly introduces these three kinds of relatively mainstream retrieval methods and summarizes the development of related methods. The application, advantages and disadvantages of these methods are analyzed, and their future trends of development are forecasted.
2021, 14(6): 1317-1326.
doi: 10.37188/CO.2021-0067
cstr: 32171.14.CO.2021-0067
Abstract:
In response to the need for the automated and rapid urine detection, microfluidic technology and biochemical analysis technology are adopted to design and fabricate a disc microfluidic chip used for urine biochemical detection. The chip consisted of microfluidic channels, capillary valve, siphon valve and ferrowax valve which can realize the sequential transportation of the sample and reagent, mixing and detection. COMSOL multiphysics software is used to model the structure of capillary valve and siphon valve and optimize the rotary frequency. Next a fully automatic urine biochemical detection system is generated based on a disc microfluidic chip. The effects of light source fluctuations and background interference on test results are reduced by dual optical path and dual wavelength detection. The detection system is characterized by urinary Retinol Binding Protein (RBP). The results demonstrate the Coefficient of Variation (CV) of the system is 1.3%−2.46%, indicating that the system has good repeatability. The calibration curve shows the linear correlation between urinary RBP concentration and the absorbance (R2=0.995). The four identical unit on the chip could perform a multi-sample or multi-parameter detection in parallel, in which it has a potential to be applied for the rapid detection of urinary protein.
In response to the need for the automated and rapid urine detection, microfluidic technology and biochemical analysis technology are adopted to design and fabricate a disc microfluidic chip used for urine biochemical detection. The chip consisted of microfluidic channels, capillary valve, siphon valve and ferrowax valve which can realize the sequential transportation of the sample and reagent, mixing and detection. COMSOL multiphysics software is used to model the structure of capillary valve and siphon valve and optimize the rotary frequency. Next a fully automatic urine biochemical detection system is generated based on a disc microfluidic chip. The effects of light source fluctuations and background interference on test results are reduced by dual optical path and dual wavelength detection. The detection system is characterized by urinary Retinol Binding Protein (RBP). The results demonstrate the Coefficient of Variation (CV) of the system is 1.3%−2.46%, indicating that the system has good repeatability. The calibration curve shows the linear correlation between urinary RBP concentration and the absorbance (R2=0.995). The four identical unit on the chip could perform a multi-sample or multi-parameter detection in parallel, in which it has a potential to be applied for the rapid detection of urinary protein.
2021, 14(6): 1327-1340.
doi: 10.37188/CO.2021-0075
cstr: 32171.14.CO.2021-0075
Abstract:
In order to reduce the manufacturing cost of the narrow-bandwidth Metamaterial Absorber (MA) and broaden its application field, a dual-wavelength dielectric narrow-bandwidth MA, composed of Au substrate, SiO2 dielectric layer and Si dielectric asymmetric grating, is designed based on the finite-difference time-domain method using dielectric materials. It is found by simulation that the proposed narrow-bandwidth MA has ultra-high absorption efficiency at λ1 = 1.20852 μm and λ2 = 1.23821 μm, and the FWHM is only 0.735 nm and 0.077 nm, respectively. The main principle that MA achieves the narrow-bandwidth absorption at λ1 is mainly due to the formation of Fabry-Pérot (FP) cavity resonance in the SiO2 layer, while the narrow-bandwidth absorption of MA at λ2 is mainly due to the guided mode resonance effect of the incident light in the asymmetric grating. The theoretical calculations show that the absorption characteristics can be affected more significantly by changing the structural parameters of the MA.
In order to reduce the manufacturing cost of the narrow-bandwidth Metamaterial Absorber (MA) and broaden its application field, a dual-wavelength dielectric narrow-bandwidth MA, composed of Au substrate, SiO2 dielectric layer and Si dielectric asymmetric grating, is designed based on the finite-difference time-domain method using dielectric materials. It is found by simulation that the proposed narrow-bandwidth MA has ultra-high absorption efficiency at λ1 = 1.20852 μm and λ2 = 1.23821 μm, and the FWHM is only 0.735 nm and 0.077 nm, respectively. The main principle that MA achieves the narrow-bandwidth absorption at λ1 is mainly due to the formation of Fabry-Pérot (FP) cavity resonance in the SiO2 layer, while the narrow-bandwidth absorption of MA at λ2 is mainly due to the guided mode resonance effect of the incident light in the asymmetric grating. The theoretical calculations show that the absorption characteristics can be affected more significantly by changing the structural parameters of the MA.
2021, 14(6): 1341-1347.
doi: 10.37188/CO.2021-0013
cstr: 32171.14.CO.2021-0013
Abstract:
In order to improve the luminescent properties of rare earth ions, precious metal nanoparticles were doped into rare earth luminescent materials. Metal plasma resonance can produce local electric field, which acts on the luminescence process of rare earth ions, and can achieve the luminescence enhancement. Ag@SiO2 core-shell nanoparticles can effectively control the distance between metal Ag and rare earth ions, which can not only enhance the plasmonic resonance effect, but also avoid the fluorescence quenching caused by non-radiation energy transfer when they are too close to the emission center. Firstly, the Ag@SiO2 nanoparticles with different concentrations were dropped on the quartz wafers by drop-casting method. Then, the Eu(dbm)3Phen:PMMA: dichloromethane mixed solution was spin-coated to prepare the Eu-PMMA composite film. The morphology characterization and luminescence measurement of the samples showed that the luminescence intensity of the film doped with Ag@SiO2 nanoparticles was enhanced, and the maximum enhancement factor of the measured excitation spectrum was 2.50 times, and the maximum enhancement factor of the emission spectrum was 2.15 times. The results of the fluorescence lifetime measurement of the sample indicated that the luminescence lifetime of the film containing Ag@SiO2 nanoparticles was also prolonged. The doping of Ag@SiO2 nanoparticles in the rare earth luminescent materials shows a good enhancement, and the experimental method is highly operable. It is a promising method to enhance the luminescent intensity of rare earth luminescent materials.
In order to improve the luminescent properties of rare earth ions, precious metal nanoparticles were doped into rare earth luminescent materials. Metal plasma resonance can produce local electric field, which acts on the luminescence process of rare earth ions, and can achieve the luminescence enhancement. Ag@SiO2 core-shell nanoparticles can effectively control the distance between metal Ag and rare earth ions, which can not only enhance the plasmonic resonance effect, but also avoid the fluorescence quenching caused by non-radiation energy transfer when they are too close to the emission center. Firstly, the Ag@SiO2 nanoparticles with different concentrations were dropped on the quartz wafers by drop-casting method. Then, the Eu(dbm)3Phen:PMMA: dichloromethane mixed solution was spin-coated to prepare the Eu-PMMA composite film. The morphology characterization and luminescence measurement of the samples showed that the luminescence intensity of the film doped with Ag@SiO2 nanoparticles was enhanced, and the maximum enhancement factor of the measured excitation spectrum was 2.50 times, and the maximum enhancement factor of the emission spectrum was 2.15 times. The results of the fluorescence lifetime measurement of the sample indicated that the luminescence lifetime of the film containing Ag@SiO2 nanoparticles was also prolonged. The doping of Ag@SiO2 nanoparticles in the rare earth luminescent materials shows a good enhancement, and the experimental method is highly operable. It is a promising method to enhance the luminescent intensity of rare earth luminescent materials.
2021, 14(6): 1348-1354.
doi: 10.37188/CO.2021-0107
cstr: 32171.14.CO.2021-0107
Abstract:
The quick fabrication of ring-shaped colloidal photonic crystal was demonstrated on the circle-patterned photoresist substrate by spin-coating, which is promising for practical application. Latex spheres were designed with a hydrophobic core and a hydrophilic shell of poly(styrene-methyl methacrylate-acrylic acid). Scanning Electron Microscopy (SEM) images and reflectance spectra of the as-prepared ring-shaped colloidal photonic crystals were acquired. The influences of spinning speed, latex sphere concentration and different circle-patterned photoresist substrates on the morphology of the ring-shaped colloidal photonic crystal were investigated. The results indicate that the optimal parameters for preparing a ring-shaped colloidal photonic crystal are achieved with a spinning speed of 2000 r/min, a latex sphere concentration of 7.5% and a circle-patterned photoresist structure (diameter: 22.8 µm). The SEM images showed that the latex spheres were almost all deposited at the periphery of the ring and were dispersed with relative order, which was attributed to fast evaporation. This fast self-assembly method for preparing ring-shaped colloidal photonic crystals was achieved by spin-coating and relied on the physical confinement of patterned photoresist substrates and their wettability difference. It will have important applications in optical devices, sensing materials and anti-counterfeiting.
The quick fabrication of ring-shaped colloidal photonic crystal was demonstrated on the circle-patterned photoresist substrate by spin-coating, which is promising for practical application. Latex spheres were designed with a hydrophobic core and a hydrophilic shell of poly(styrene-methyl methacrylate-acrylic acid). Scanning Electron Microscopy (SEM) images and reflectance spectra of the as-prepared ring-shaped colloidal photonic crystals were acquired. The influences of spinning speed, latex sphere concentration and different circle-patterned photoresist substrates on the morphology of the ring-shaped colloidal photonic crystal were investigated. The results indicate that the optimal parameters for preparing a ring-shaped colloidal photonic crystal are achieved with a spinning speed of 2000 r/min, a latex sphere concentration of 7.5% and a circle-patterned photoresist structure (diameter: 22.8 µm). The SEM images showed that the latex spheres were almost all deposited at the periphery of the ring and were dispersed with relative order, which was attributed to fast evaporation. This fast self-assembly method for preparing ring-shaped colloidal photonic crystals was achieved by spin-coating and relied on the physical confinement of patterned photoresist substrates and their wettability difference. It will have important applications in optical devices, sensing materials and anti-counterfeiting.
2021, 14(6): 1355-1361.
doi: 10.37188/CO.2021-0054
cstr: 32171.14.CO.2021-0054
Abstract:
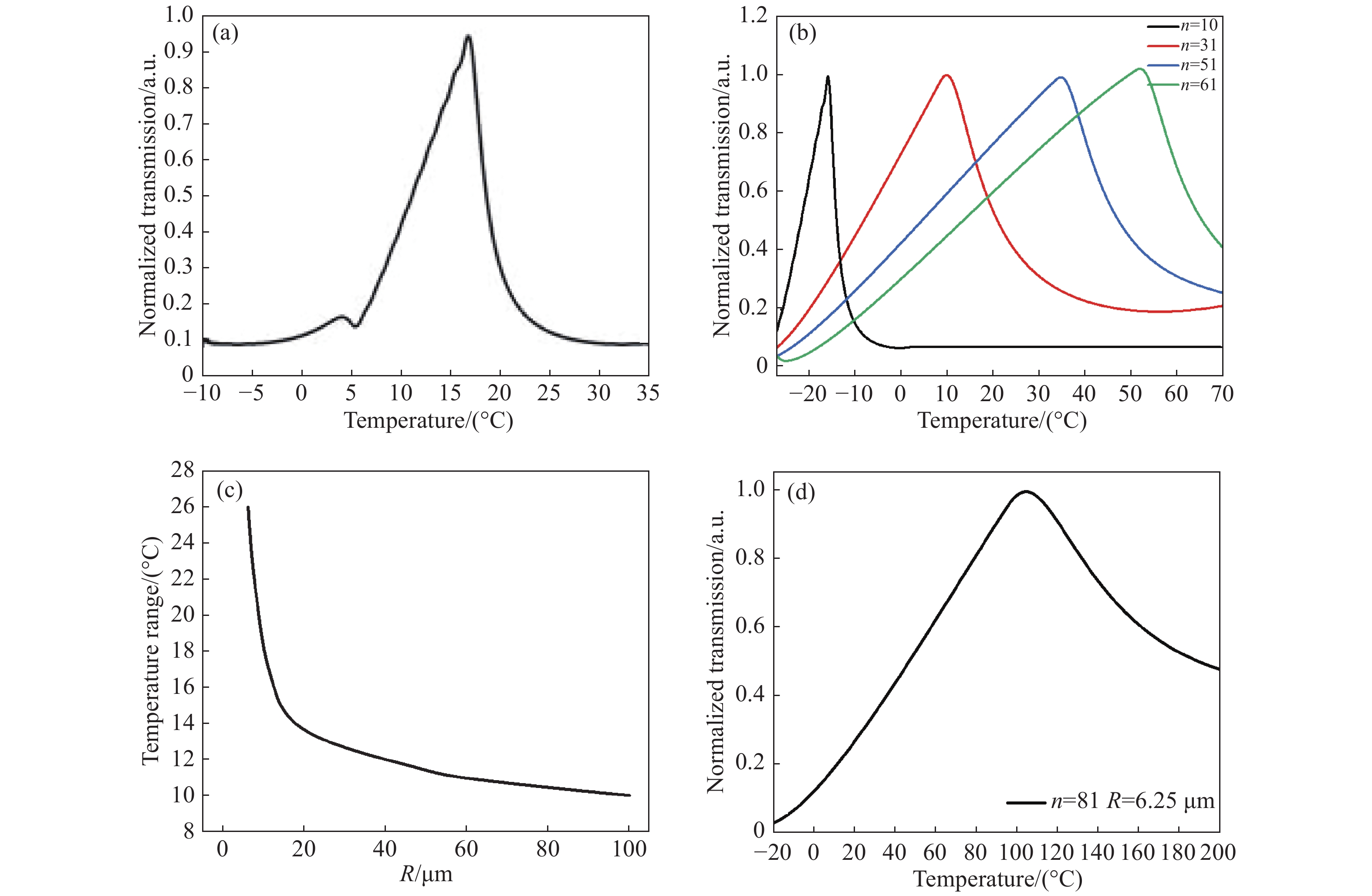
Traditional temperature detection has certain limitations in terms of sensing accuracy and response time. Chip-level photoelectric sensors based on the thermo-optic effect recently aroused widespread interest not only because they can improve measurement sensitivity and speed, but also because they can help reduce system complexity and cost. State-of-art integrated optical temperature sensors mostly measure the optical interference of broadband light sources or tunable light sources in the micro-resonators to provide accurate and fast measurement solutions. However, these solutions based on wide-spectrum detection cannot achieve real-time processing, are costly with complicated signal post-processing, and are difficult to implement in highly integrated systems. To solve the above problems, we show a fast and high-precision temperature measurement method using a silicon-based integrated micro-ring array. The different responses of the cascaded micro-ring array are measured by a single-frequency laser at different temperatures. The results are utilized to model the relationship between the electrical response of the detector array and the real temperature, thereby realizing real-time high-precision temperature measurement. In addition, to enlarge the temperature detection range under a fixed-wavelength light source, a cascaded micro-ring structure is adopted. Based on the proposed structure, a silicon-based integrated temperature sensing system including a light source, a micro-ring array, a detector array, a signal post-processing unit and an output data unit is designed. Depending on the requirement of actual applications, the system can change the temperature measurement range and resolution by separately designing the number of cascaded micro-rings, the center resonance wavelength, and the half-width of the resonance peak while ensuring low system power consumption and cost. Through the optimized design of the micro-ring array, a temperature sensor with a response range covering −20~105°C, accuracy better than 60 mK, and a response time as quick as 20 μs is demonstrated.
Traditional temperature detection has certain limitations in terms of sensing accuracy and response time. Chip-level photoelectric sensors based on the thermo-optic effect recently aroused widespread interest not only because they can improve measurement sensitivity and speed, but also because they can help reduce system complexity and cost. State-of-art integrated optical temperature sensors mostly measure the optical interference of broadband light sources or tunable light sources in the micro-resonators to provide accurate and fast measurement solutions. However, these solutions based on wide-spectrum detection cannot achieve real-time processing, are costly with complicated signal post-processing, and are difficult to implement in highly integrated systems. To solve the above problems, we show a fast and high-precision temperature measurement method using a silicon-based integrated micro-ring array. The different responses of the cascaded micro-ring array are measured by a single-frequency laser at different temperatures. The results are utilized to model the relationship between the electrical response of the detector array and the real temperature, thereby realizing real-time high-precision temperature measurement. In addition, to enlarge the temperature detection range under a fixed-wavelength light source, a cascaded micro-ring structure is adopted. Based on the proposed structure, a silicon-based integrated temperature sensing system including a light source, a micro-ring array, a detector array, a signal post-processing unit and an output data unit is designed. Depending on the requirement of actual applications, the system can change the temperature measurement range and resolution by separately designing the number of cascaded micro-rings, the center resonance wavelength, and the half-width of the resonance peak while ensuring low system power consumption and cost. Through the optimized design of the micro-ring array, a temperature sensor with a response range covering −20~105°C, accuracy better than 60 mK, and a response time as quick as 20 μs is demonstrated.
2021, 14(6): 1362-1367.
doi: 10.37188/CO.2021-0103
cstr: 32171.14.CO.2021-0103
Abstract:
Ultra-high quality optical elements are demanded by beamlimes on fourth-generation synchrotron facilities and free-electron laser facilities. A bimorph mirror is effectively used to achieve ultra-high-precision surface profile control and wavefront correction, yet it’s one of the bottlenecks of domestic techniques and must be overcome. In order to accomplish this, a 200 mm long bimorph mirror with 36 elements of piezoelectric actuators was developed. The structure parameters of the bimorph mirror were optimized by numerical simulation, and the bimorph mirror was fabricated by domestic technology. The test results show that the surface profile error and slope error of the bimorph mirror can be reduced to 1.38 nm (rms) and 240 nrad (rms), thus the nanoscale control of the mirror surface profile was realized.
Ultra-high quality optical elements are demanded by beamlimes on fourth-generation synchrotron facilities and free-electron laser facilities. A bimorph mirror is effectively used to achieve ultra-high-precision surface profile control and wavefront correction, yet it’s one of the bottlenecks of domestic techniques and must be overcome. In order to accomplish this, a 200 mm long bimorph mirror with 36 elements of piezoelectric actuators was developed. The structure parameters of the bimorph mirror were optimized by numerical simulation, and the bimorph mirror was fabricated by domestic technology. The test results show that the surface profile error and slope error of the bimorph mirror can be reduced to 1.38 nm (rms) and 240 nrad (rms), thus the nanoscale control of the mirror surface profile was realized.
2021, 14(6): 1368-1377.
doi: 10.37188/CO.2021-0051
cstr: 32171.14.CO.2021-0051
Abstract:
In order to overcome the problems where traditional star trackers’ directional accuracy, field of view, volume, weight and other factors are difficult to balance, we studied a highly accurate interferometric star tracker structure based on a diffraction grating. By using the angular spectrum theory, the mathematical models between the incident angle of starlight, the centroid position of spots, and the relative intensity of spots on the detector were established. Secondly, the methods that estimate a relative coarse position of the target star from a centriod of the spots on the detector, and estimate a relative fine position of the target star from the relative intensity of the spots were determined. Therefore, the relative incident angle of star light was obtained by using successive estimates of the coarse and fine positions. Then, we drew a conclusion that the angle resolution for a single star is affected by the grating period, the distance between the two gratings and the electric subdivision of the intensity signal. Finally, a computer simulation was used to confirm the feasibility of this relative fine positioning technique and this combination technique of coarse positioning and fine positioning. The results show that this measure is praticable, and the angle resolution for a single star can reach 0.1 arc-seconds when the grating period is 50 μm, the distance between two gratings is 50 mm and the intensity signal of each period is subdivided by 1024 times. Compared with traditional star trackers, the accuracy is improved significantly.
In order to overcome the problems where traditional star trackers’ directional accuracy, field of view, volume, weight and other factors are difficult to balance, we studied a highly accurate interferometric star tracker structure based on a diffraction grating. By using the angular spectrum theory, the mathematical models between the incident angle of starlight, the centroid position of spots, and the relative intensity of spots on the detector were established. Secondly, the methods that estimate a relative coarse position of the target star from a centriod of the spots on the detector, and estimate a relative fine position of the target star from the relative intensity of the spots were determined. Therefore, the relative incident angle of star light was obtained by using successive estimates of the coarse and fine positions. Then, we drew a conclusion that the angle resolution for a single star is affected by the grating period, the distance between the two gratings and the electric subdivision of the intensity signal. Finally, a computer simulation was used to confirm the feasibility of this relative fine positioning technique and this combination technique of coarse positioning and fine positioning. The results show that this measure is praticable, and the angle resolution for a single star can reach 0.1 arc-seconds when the grating period is 50 μm, the distance between two gratings is 50 mm and the intensity signal of each period is subdivided by 1024 times. Compared with traditional star trackers, the accuracy is improved significantly.
2021, 14(6): 1378-1386.
doi: 10.37188/CO.2021-0064
cstr: 32171.14.CO.2021-0064
Abstract:
Ultra-low emission standards of flue gas emitted from stationary sources have been proposed, which creates a new challenge for Continuous Emission Monitoring (CEM). Peak carbon dioxide emissions and carbon neutrality are frequently-mentioned concepts, which means the monitoring of CO2 will eventually be necessary. It is difficult to satisfy the strict limits of ultra-low emission standards with conventional CEM systems. A multi-component trace gas analysis system based on non-dispersive infrared is promoted in this paper to monitor trace gases of continuous emission. A Gas Filter Correlation (GFC) model and Interference Filter Correlation (IFC) model were established, which can describe the relationship of optical length, center wavelength, bandwidth of the filters and gas concentration with measure and reference signals. To confirm the measurement technique of gases, the GFC technique combines with the IFC technique to achieve a double-beam path. With the help of white cells, a small-scale, and the detection limit better than 0.5 mg/m3 can be realized. Zero and span drift are no more than ±2% of the full scale. SO2, NO, NO2, CO and CO2 can be simultenously and continuously monitored to satisfy the requirements of ultra-low and carbon emission monitoring. This technique is helpful for obtaining factual, accurate and comprehensive CEM data.
Ultra-low emission standards of flue gas emitted from stationary sources have been proposed, which creates a new challenge for Continuous Emission Monitoring (CEM). Peak carbon dioxide emissions and carbon neutrality are frequently-mentioned concepts, which means the monitoring of CO2 will eventually be necessary. It is difficult to satisfy the strict limits of ultra-low emission standards with conventional CEM systems. A multi-component trace gas analysis system based on non-dispersive infrared is promoted in this paper to monitor trace gases of continuous emission. A Gas Filter Correlation (GFC) model and Interference Filter Correlation (IFC) model were established, which can describe the relationship of optical length, center wavelength, bandwidth of the filters and gas concentration with measure and reference signals. To confirm the measurement technique of gases, the GFC technique combines with the IFC technique to achieve a double-beam path. With the help of white cells, a small-scale, and the detection limit better than 0.5 mg/m3 can be realized. Zero and span drift are no more than ±2% of the full scale. SO2, NO, NO2, CO and CO2 can be simultenously and continuously monitored to satisfy the requirements of ultra-low and carbon emission monitoring. This technique is helpful for obtaining factual, accurate and comprehensive CEM data.
2021, 14(6): 1387-1394.
doi: 10.37188/CO.2021-0128
cstr: 32171.14.CO.2021-0128
Abstract:
In order to obtain the 1.6 μm-band mode-locked pulse based on the soliton self-frequency shift effect, an erbium-doped fiber laser with nonlinear polarization rotation is designed, whose pulse is detected by a dual-output structure. At a pump power of 350 mW, the noise-like pulses with the central wavelength of 1560 nm are detected at the two outputs at the same time by properly adjusting the polarization controller. The 3 dB bandwidth is 17.5 nm, and the pulse duration is 968 fs. When the pump power is further increased to 550 mW, and the 1-port noise-like pulse remains fixed, the central wavelength of the 2-port noise-like pulse redshifts to 1614 nm, the 3 dB bandwidth increases to 64.4 nm, and the pulse duration decreases to 302 fs. The maximum output power of the resonant cavity is 11.4 mW. The experiment also analyzes the influence of the length of dispersion shifted fiber on soliton self-frequency shift. The results show that within a certain range, as the length of the dispersion shifted fiber increases, the frequency shift distance of the soliton self-frequency shift decreases. This 1.6-μm band fiber laser has potential applications in the field of optical communications.
In order to obtain the 1.6 μm-band mode-locked pulse based on the soliton self-frequency shift effect, an erbium-doped fiber laser with nonlinear polarization rotation is designed, whose pulse is detected by a dual-output structure. At a pump power of 350 mW, the noise-like pulses with the central wavelength of 1560 nm are detected at the two outputs at the same time by properly adjusting the polarization controller. The 3 dB bandwidth is 17.5 nm, and the pulse duration is 968 fs. When the pump power is further increased to 550 mW, and the 1-port noise-like pulse remains fixed, the central wavelength of the 2-port noise-like pulse redshifts to 1614 nm, the 3 dB bandwidth increases to 64.4 nm, and the pulse duration decreases to 302 fs. The maximum output power of the resonant cavity is 11.4 mW. The experiment also analyzes the influence of the length of dispersion shifted fiber on soliton self-frequency shift. The results show that within a certain range, as the length of the dispersion shifted fiber increases, the frequency shift distance of the soliton self-frequency shift decreases. This 1.6-μm band fiber laser has potential applications in the field of optical communications.
2021, 14(6): 1395-1399.
doi: 10.37188/CO.2021-0077
cstr: 32171.14.CO.2021-0077
Abstract:
In order to explore the continuous deep ultraviolet laser output within the wavelength of 200~280 nm, a 5 mm long domestic Pr∶YLF crystal was pumped by the combine of 1.4 W blue laser diode at 444 nm and 1.5 W blue laser diode at 469 nm, and the BBO with a length of 7 mm was used as the frequency doubling crystal. By optimizing the resonator mirror coating and inserting a full wave plate for wavelength competition, it makes the output of weak spectra of Pr∶YLF possible. At last, the continuous deep ultraviolet laser with a maximum power of 8.37 mW and center wavelength of 268.89 nm was achieved.
In order to explore the continuous deep ultraviolet laser output within the wavelength of 200~280 nm, a 5 mm long domestic Pr∶YLF crystal was pumped by the combine of 1.4 W blue laser diode at 444 nm and 1.5 W blue laser diode at 469 nm, and the BBO with a length of 7 mm was used as the frequency doubling crystal. By optimizing the resonator mirror coating and inserting a full wave plate for wavelength competition, it makes the output of weak spectra of Pr∶YLF possible. At last, the continuous deep ultraviolet laser with a maximum power of 8.37 mW and center wavelength of 268.89 nm was achieved.
2021, 14(6): 1400-1409.
doi: 10.37188/CO.2021-0105
cstr: 32171.14.CO.2021-0105
Abstract:
To solve the real-time change of the camera poses caused by the rotation of cameras in free binocular stereo vision, a method for estimating the poses of free binocular cameras based on reprojection error optimization is proposed. The movement paraments of cameras are estimated by decomposing the homography matrix between two adjacent images. Then, the reprojection error of feature points in the overlapping area is calculated, and the objective function is constructed by using the movement parameters as initial values. Finally, the objective function is optimized by the nonlinear optimization algorithm, and the current camera poses are calculated by combining with the optimal movement parameters and the camera poses before rotation. Simulations indicate that the pose estimation error declines with a decrease in reprojection error and the proposed method can converge to a globally optimal solution both rapidly and stably. An experiment of 3D reconstruction of cement models indicates that 3D point clouds of models are generated effectively with the proposed method, the adjacent point clouds are stitched accurately, and the average error of distance between any two points on the stitched point clouds is 1.68%.
To solve the real-time change of the camera poses caused by the rotation of cameras in free binocular stereo vision, a method for estimating the poses of free binocular cameras based on reprojection error optimization is proposed. The movement paraments of cameras are estimated by decomposing the homography matrix between two adjacent images. Then, the reprojection error of feature points in the overlapping area is calculated, and the objective function is constructed by using the movement parameters as initial values. Finally, the objective function is optimized by the nonlinear optimization algorithm, and the current camera poses are calculated by combining with the optimal movement parameters and the camera poses before rotation. Simulations indicate that the pose estimation error declines with a decrease in reprojection error and the proposed method can converge to a globally optimal solution both rapidly and stably. An experiment of 3D reconstruction of cement models indicates that 3D point clouds of models are generated effectively with the proposed method, the adjacent point clouds are stitched accurately, and the average error of distance between any two points on the stitched point clouds is 1.68%.
2021, 14(6): 1410-1416.
doi: 10.37188/CO.2021-0065
cstr: 32171.14.CO.2021-0065
Abstract:
The dual Mach-Zehnder interferometer system has received extensive attention and applications due to its unique advantages such as simple optical path, high sensitivity and wide frequency response. However, it is very susceptible to external environmental noise and direct cross-correlation calculation method will lead to a large error. This paper proposes a data signal processing scheme based on Hilbert-Huang Transform (HHT) to realize high-precision distributed optical fiber vibration position detection. In this method, the eigenmode function is obtained by the empirical mode decomposition of the two received optical signals. The Hilbert transform and superposition of all eigenmode functions are performed to obtain the Hilbert spectrum, which can be clearly and intuitively extracted. It can accurately calculate the vibration position information by calculating the time delay caused by the vibration signal through cross-correlation. Compared with the traditional direct cross-correlation calculations, this method can effectively identify and extract the characteristic information caused by the vibration signal in the dual M-Z system. Thereby it can effectively reduce the impact of external environmental noise on the system and reduce the positioning error. This paper analyzes the related theory of the proposed method and builds a dual M-Z system for related experimental verification. The experimental results show that, compared with the traditional direct cross-correlation method, this method can effectively reduce the amount of calculation of cross-correlation data. At the same time, it can effectively improve the positioning accuracy of the vibration position. Under 10 MHz sampling rate, the positioning accuracy can reach 10 m. Therefore, the distributed optical fiber sensing technology based on the dual Mach-Zehnder interferometer system proposed in this paper has high application value.
The dual Mach-Zehnder interferometer system has received extensive attention and applications due to its unique advantages such as simple optical path, high sensitivity and wide frequency response. However, it is very susceptible to external environmental noise and direct cross-correlation calculation method will lead to a large error. This paper proposes a data signal processing scheme based on Hilbert-Huang Transform (HHT) to realize high-precision distributed optical fiber vibration position detection. In this method, the eigenmode function is obtained by the empirical mode decomposition of the two received optical signals. The Hilbert transform and superposition of all eigenmode functions are performed to obtain the Hilbert spectrum, which can be clearly and intuitively extracted. It can accurately calculate the vibration position information by calculating the time delay caused by the vibration signal through cross-correlation. Compared with the traditional direct cross-correlation calculations, this method can effectively identify and extract the characteristic information caused by the vibration signal in the dual M-Z system. Thereby it can effectively reduce the impact of external environmental noise on the system and reduce the positioning error. This paper analyzes the related theory of the proposed method and builds a dual M-Z system for related experimental verification. The experimental results show that, compared with the traditional direct cross-correlation method, this method can effectively reduce the amount of calculation of cross-correlation data. At the same time, it can effectively improve the positioning accuracy of the vibration position. Under 10 MHz sampling rate, the positioning accuracy can reach 10 m. Therefore, the distributed optical fiber sensing technology based on the dual Mach-Zehnder interferometer system proposed in this paper has high application value.
2021, 14(6): 1417-1425.
doi: 10.37188/CO.2021-0078
cstr: 32171.14.CO.2021-0078
Abstract:
In response to the complex backgrounds of X-ray security images, serious overlap and occlusion phenomena, and the large differences in the placement and shape of dangerous goods, this paper improves the network structure of YOLOv4 for dangerous objects detection by combining atrous convolution with the Atrous Space Pyramid Pooling (ASPP) model to increase receptive field and aggregate multi-scale context information. Then, the K-means clustering method is used to generate an initial candidate frame that is more suitable for dangerous goods detection in X-ray inspection images. Cosine annealing is used to optimize the learning rate in model training to further accelerate model convergence and improve model detection accuracy. The experimental results show that the proposed ASPP-YOLOv4 in this paper can obtain an mAP of 85.23% on the SIXRay dataset. The model can effectively reduce the false detection rate of dangerous goods in X-ray security images and improve the detection ability of small targets.
In response to the complex backgrounds of X-ray security images, serious overlap and occlusion phenomena, and the large differences in the placement and shape of dangerous goods, this paper improves the network structure of YOLOv4 for dangerous objects detection by combining atrous convolution with the Atrous Space Pyramid Pooling (ASPP) model to increase receptive field and aggregate multi-scale context information. Then, the K-means clustering method is used to generate an initial candidate frame that is more suitable for dangerous goods detection in X-ray inspection images. Cosine annealing is used to optimize the learning rate in model training to further accelerate model convergence and improve model detection accuracy. The experimental results show that the proposed ASPP-YOLOv4 in this paper can obtain an mAP of 85.23% on the SIXRay dataset. The model can effectively reduce the false detection rate of dangerous goods in X-ray security images and improve the detection ability of small targets.
2021, 14(6): 1426-1434.
doi: 10.37188/CO.2021-0045
cstr: 32171.14.CO.2021-0045
Abstract:
In the “Taiji mission”, the laser jitter noise caused by satellite jitter is one of the main noise sources that affect the accuracy of laser interferometer. In order to ensure the measurement accuracy, the noise must be suppressed to 10 nrad/$\sqrt{{\rm{Hz}}} $ @10 mHz. Firstly, an angle sensor composed of a four-quadrant photodetector and a phase meter was used to measure the angle signal, and a Mach-Zehnder interferometer combined with proportional-integral-derivative control technology was used to build a ground-based laser jitter noise suppression system. Secondly, the feedback control capability of the system and the effectiveness of the system to suppress laser jitter noise were analyzed. The experimental results showed that the system could effectively suppress the laser jitter noise, and the laser jitter noise was <4 nrad/$\sqrt{{\rm{Hz}}} $ @10 mHz. The experiment advanced the study of the “Taiji mission” on the level of laser jitter noise suppression, which laid a physical experimental foundation for laser interferometry.
In the “Taiji mission”, the laser jitter noise caused by satellite jitter is one of the main noise sources that affect the accuracy of laser interferometer. In order to ensure the measurement accuracy, the noise must be suppressed to 10 nrad/
2021, 14(6): 1435-1450.
doi: 10.37188/CO.2021-0087
cstr: 32171.14.CO.2021-0087
Abstract:
An initial construction satisfying aberration balance and multi-constraint control is essential for the design of an off-axis multi-reflective optical system with minimal aberration. In this paper, a mathematical model for calculating the initial structure of off-axis multi-reflective is established based on the grouping design method combining spatial ray tracing and aberration correction, and an improved Particle Swarm Optimization (PSO) is proposed to solve the initial structure problem of an off-axis multi-reflective optical system. The PSO of natural selection with shrinkage factor is applied to improve calculation accuracy and design efficiency, so as to obtain the initial structure of the off-axis multi-reflection optical system. In the last part of this paper, taking an Extreme UltraViolet (EUV) lithography projection objective with six-mirror reflective aspheric mirrors as an example, the reliability and effectiveness of this method are verified. A 0.33 numerical aperture EUV lithographic objective with wave-front error better than 1/80λ (λ=13.5 nm) RMS is achieved.
An initial construction satisfying aberration balance and multi-constraint control is essential for the design of an off-axis multi-reflective optical system with minimal aberration. In this paper, a mathematical model for calculating the initial structure of off-axis multi-reflective is established based on the grouping design method combining spatial ray tracing and aberration correction, and an improved Particle Swarm Optimization (PSO) is proposed to solve the initial structure problem of an off-axis multi-reflective optical system. The PSO of natural selection with shrinkage factor is applied to improve calculation accuracy and design efficiency, so as to obtain the initial structure of the off-axis multi-reflection optical system. In the last part of this paper, taking an Extreme UltraViolet (EUV) lithography projection objective with six-mirror reflective aspheric mirrors as an example, the reliability and effectiveness of this method are verified. A 0.33 numerical aperture EUV lithographic objective with wave-front error better than 1/80λ (λ=13.5 nm) RMS is achieved.
2021, 14(6): 1451-1458.
doi: 10.37188/CO.2020-0190
cstr: 32171.14.CO.2020-0190
Abstract:
In pure seawater, the transmission window is in the blue-green light band, and blue light has good transmission characteristics. This paper proposes an underwater wireless optical communication system that uses a 470 nm LED array stitching structure, increasing the diverging angle. At the same time, we use Fresnel lens as the optical antenna realizing the wide field of view receiving. At an underwater distance of 20 m, this system could successfully achieve reliable communication at a rate of 5 Mbit/s (data rate) and a BER of 10−6, which lays a foundation for subsequent underwater dynamic laser communication systems.
In pure seawater, the transmission window is in the blue-green light band, and blue light has good transmission characteristics. This paper proposes an underwater wireless optical communication system that uses a 470 nm LED array stitching structure, increasing the diverging angle. At the same time, we use Fresnel lens as the optical antenna realizing the wide field of view receiving. At an underwater distance of 20 m, this system could successfully achieve reliable communication at a rate of 5 Mbit/s (data rate) and a BER of 10−6, which lays a foundation for subsequent underwater dynamic laser communication systems.
2021, 14(6): 1459-1467.
doi: 10.37188/CO.2021-0073
cstr: 32171.14.CO.2021-0073
Abstract:
To monitor crop growth more efficiently, various kinds of hyperspectral spectrometers have been designed to detect chlorophyll fluorescence. In this paper, the traditional Offner spectrometer system is improved, and a structure with a higher spectral resolution is obtained. The double-reflection telescope system is selected, and the spectrometer adopts a highly dense linear reflective convex grating to achieve higher spectral resolution. On this basis, an amplifying lens is added to meet the need for a long slit. An Offner structure is obtained with a slit and image plane on the same side of the grating. The initial structure of the telescope system and the spectrometer are optimized by codeV software. The results show that the spectral resolution is 0.3 nm in the range of 670~780 nm, the overall Modulation Transfer Function (MTF) is greater than 0.75 at the cut-off frequency of 17 lp/mm, and the Root Mean Square radius (RMS) of the speckle is less than 15 μm. The proposed system can meet the requirements of highly precise real-time monitoring in crop growth chlorophyll detection.
To monitor crop growth more efficiently, various kinds of hyperspectral spectrometers have been designed to detect chlorophyll fluorescence. In this paper, the traditional Offner spectrometer system is improved, and a structure with a higher spectral resolution is obtained. The double-reflection telescope system is selected, and the spectrometer adopts a highly dense linear reflective convex grating to achieve higher spectral resolution. On this basis, an amplifying lens is added to meet the need for a long slit. An Offner structure is obtained with a slit and image plane on the same side of the grating. The initial structure of the telescope system and the spectrometer are optimized by codeV software. The results show that the spectral resolution is 0.3 nm in the range of 670~780 nm, the overall Modulation Transfer Function (MTF) is greater than 0.75 at the cut-off frequency of 17 lp/mm, and the Root Mean Square radius (RMS) of the speckle is less than 15 μm. The proposed system can meet the requirements of highly precise real-time monitoring in crop growth chlorophyll detection.
2021, 14(6): 1468-1475.
doi: 10.37188/CO.2020-0221
cstr: 32171.14.CO.2020-0221
Abstract:
The large field-of-view (FOV) star simulator provides wider star maps but the existing star simulator is limited by the size of the display chip, and the maximum FOV is not more than 30°. In order to increase the FOV of the star simulator, a splicing method is proposed. In order to reduce the cost, the overall weight and complexity of the system, and to achieve the largest splice FOV with the least amount of splicing, we carry out detailed calculation and analysis of the overlapping area of the field of view and propose a simplified splicing model based on plane splicing. Three typical splicing methods are produced including a regular triangle, a regular quadrilateral and a regular hexagon, and the calculation of the FOV utilization is deduced. This paper also provides a coordinate calculation method, determining the center position of each FOV and obtaining an accurate number of the stitching. The final comparison result shows that the regular hexagon splicing method has the outstanding advantages of a higher utilization of the FOV and fewer splicing numbers, which provides a basis for the design of a large FOV star simulator.
The large field-of-view (FOV) star simulator provides wider star maps but the existing star simulator is limited by the size of the display chip, and the maximum FOV is not more than 30°. In order to increase the FOV of the star simulator, a splicing method is proposed. In order to reduce the cost, the overall weight and complexity of the system, and to achieve the largest splice FOV with the least amount of splicing, we carry out detailed calculation and analysis of the overlapping area of the field of view and propose a simplified splicing model based on plane splicing. Three typical splicing methods are produced including a regular triangle, a regular quadrilateral and a regular hexagon, and the calculation of the FOV utilization is deduced. This paper also provides a coordinate calculation method, determining the center position of each FOV and obtaining an accurate number of the stitching. The final comparison result shows that the regular hexagon splicing method has the outstanding advantages of a higher utilization of the FOV and fewer splicing numbers, which provides a basis for the design of a large FOV star simulator.
2021, 14(6): 1476-1485.
doi: 10.37188/CO.2021-0052
cstr: 32171.14.CO.2021-0052
Abstract:
Ultraviolet radiation of characteristic free radicals and blackbody radiation in combustion flames is essential to the quantitative analysis of flame temperature and fuel composition. An aperture-divided ultraviolet multiband imaging optical system is designed, which consists of an aperture-divided system and an image-combined system. The lens materials are fused silica and calcium fluoride. By placing multiband ultraviolet filters in each divided channel, the combustion flame can be imaged on the detector’s four regions with four ultraviolet bands, including 240~280 nm, 308 nm, 300~360 nm, and 390 nm. The parameters of the system are: a 2.85 F-number, a 10° field-of-view, and a 277.2 mm total length. The entrance pupil diameter of the aperture-divided system is 10 mm, and the single-channel focal length is 43.88 mm. The Modulation Transfer Function (MTF) is close to the diffraction limit. The MTF value of the object surface at the edge of the image-combined system reaches 0.45 at 45 lp/mm. After optimizing the combination of the two parts, the MTF value of the total system surpassed 0.5 at 45 lp/mm in Nyquist frequency. Monte Carlo analysis on the tolerances gives a yield rate of more than 20%. The results show that this system is suitable for research and has practical value.
Ultraviolet radiation of characteristic free radicals and blackbody radiation in combustion flames is essential to the quantitative analysis of flame temperature and fuel composition. An aperture-divided ultraviolet multiband imaging optical system is designed, which consists of an aperture-divided system and an image-combined system. The lens materials are fused silica and calcium fluoride. By placing multiband ultraviolet filters in each divided channel, the combustion flame can be imaged on the detector’s four regions with four ultraviolet bands, including 240~280 nm, 308 nm, 300~360 nm, and 390 nm. The parameters of the system are: a 2.85 F-number, a 10° field-of-view, and a 277.2 mm total length. The entrance pupil diameter of the aperture-divided system is 10 mm, and the single-channel focal length is 43.88 mm. The Modulation Transfer Function (MTF) is close to the diffraction limit. The MTF value of the object surface at the edge of the image-combined system reaches 0.45 at 45 lp/mm. After optimizing the combination of the two parts, the MTF value of the total system surpassed 0.5 at 45 lp/mm in Nyquist frequency. Monte Carlo analysis on the tolerances gives a yield rate of more than 20%. The results show that this system is suitable for research and has practical value.
2021, 14(6): 1486-1494.
doi: 10.37188/CO.2021-0040
cstr: 32171.14.CO.2021-0040
Abstract:
To apply hyperspectral technology to the field of microscopic imaging more conveniently, we designed and built a fully automatic push-broom hyperspectral microscopic imaging system. In this system, an inverted microscope was designed as the main body, a prism-grating component was used for spectrum splitting, a high precision two-dimensional motorized stage was applied for a push-broom. A motor focus module was used to control the focus, and a hyperspectral microscopic image was collected through a highly sensitive sCMOS scientific camera. The system has the advantages of low cost, easy installation and adjustment, real-time focusing and large-field-of-view imaging. The spectral range of the system is from 420 nm to 800 nm to meet the spectrum detection requirements of most biological samples. The spectral resolution was better than 3.5 nm, and the spatial resolution was better than 0.87 μm through the monochromatic collimated light scanning calibration method. Then, the HE-stained breast cancer pathological slices was as the research object. The samples were investigated and compared using passive and active focusing for push-broom imaging. The advantages and disadvantages of the two focusing methods were analyzed and summarized. The results showed that both methods can meet the needs of large-field-of-view imaging, but active focus imaging is faster and clearer, and is more suitable for push-broom hyperspectral microscopy imaging systems. Through the design and research of a fully automatic push-broom hyperspectral microscopy imaging system, real-time focusing in hyperspectral microscopic imaging was realized and 3.25 mm×3.25 mm field of view imaging of biological samples with a 40X objective lens was achieved. This system could be beneficial for promoting the application of hyperspectral technology in the biomedical field.
To apply hyperspectral technology to the field of microscopic imaging more conveniently, we designed and built a fully automatic push-broom hyperspectral microscopic imaging system. In this system, an inverted microscope was designed as the main body, a prism-grating component was used for spectrum splitting, a high precision two-dimensional motorized stage was applied for a push-broom. A motor focus module was used to control the focus, and a hyperspectral microscopic image was collected through a highly sensitive sCMOS scientific camera. The system has the advantages of low cost, easy installation and adjustment, real-time focusing and large-field-of-view imaging. The spectral range of the system is from 420 nm to 800 nm to meet the spectrum detection requirements of most biological samples. The spectral resolution was better than 3.5 nm, and the spatial resolution was better than 0.87 μm through the monochromatic collimated light scanning calibration method. Then, the HE-stained breast cancer pathological slices was as the research object. The samples were investigated and compared using passive and active focusing for push-broom imaging. The advantages and disadvantages of the two focusing methods were analyzed and summarized. The results showed that both methods can meet the needs of large-field-of-view imaging, but active focus imaging is faster and clearer, and is more suitable for push-broom hyperspectral microscopy imaging systems. Through the design and research of a fully automatic push-broom hyperspectral microscopy imaging system, real-time focusing in hyperspectral microscopic imaging was realized and 3.25 mm×3.25 mm field of view imaging of biological samples with a 40X objective lens was achieved. This system could be beneficial for promoting the application of hyperspectral technology in the biomedical field.
2021, 14(6): 1495-1503.
doi: 10.37188/CO.2019-0255
cstr: 32171.14.CO.2019-0255
Abstract:
Due to the excessive data transmission of the geostationary orbit array staring spectrometer, the data transmission is difficulty and signal acquisition and processing time is long. According to the characteristic that geostationary orbit platform can stay over the fixed area for a long time, a scheme of large aperture visual and infrared snapshot spectrometer based on compressive sensing was proposed. The physical model of compressive sensing spectral imaging was analyzed, the structure of the optical system was designed, and the relevant parameters were calculated. A coaxial three-mirror afocal optical system was used in objective lens, and dichroic films were used to split the spectrum. After optimization, the optical system was shown with a width of 400 km×400 km, 50 m Ground Sample Distance (GSD) in visible part, 400 m GSD in Middle Wave Infrared (MWIR) part and 625 m GSD in Long Wave Infrared (LWIR) part. The results show that the MTF in the visible part is higher than 0.455 at 78.125 lp/mm, the MTF in mid-wave infrared region is higher than 0.518 at 33.3 lp/mm, and the MTF is higher than 0.498 at 20.8 lp/mm in long-wave infrared region. The spectral resolutions are 20 nm, 50 nm, and 150 nm in the visible part, the mid-wave infrared region, and the long-wave infrared region, respectively. The second-order spectrum of the visual part is less than 0.05 mm. The optical system has good imaging performance, and the imaging quality of each part of the optical system is close to the diffraction limit, which meets the needs of applications and indicators.
Due to the excessive data transmission of the geostationary orbit array staring spectrometer, the data transmission is difficulty and signal acquisition and processing time is long. According to the characteristic that geostationary orbit platform can stay over the fixed area for a long time, a scheme of large aperture visual and infrared snapshot spectrometer based on compressive sensing was proposed. The physical model of compressive sensing spectral imaging was analyzed, the structure of the optical system was designed, and the relevant parameters were calculated. A coaxial three-mirror afocal optical system was used in objective lens, and dichroic films were used to split the spectrum. After optimization, the optical system was shown with a width of 400 km×400 km, 50 m Ground Sample Distance (GSD) in visible part, 400 m GSD in Middle Wave Infrared (MWIR) part and 625 m GSD in Long Wave Infrared (LWIR) part. The results show that the MTF in the visible part is higher than 0.455 at 78.125 lp/mm, the MTF in mid-wave infrared region is higher than 0.518 at 33.3 lp/mm, and the MTF is higher than 0.498 at 20.8 lp/mm in long-wave infrared region. The spectral resolutions are 20 nm, 50 nm, and 150 nm in the visible part, the mid-wave infrared region, and the long-wave infrared region, respectively. The second-order spectrum of the visual part is less than 0.05 mm. The optical system has good imaging performance, and the imaging quality of each part of the optical system is close to the diffraction limit, which meets the needs of applications and indicators.
Abstract
FullText HTML
PDF 5353KB
