2021 Vol. 14, No. 5
column
2021, 14(5): 1039-1055.
doi: 10.37188/CO.2021-0003
cstr: 32171.14.CO.2021-0003
Abstract:
Two-dimensional (2D) materials provide new development opportunities for silicon-based integrated optoelectronic devices due to their unique structure and excellent electronic and optoelectronic properties. In recent years, 2D material-based photodetectors for hybrid-integrated silicon photonics have been widely studied. Based on the basic characteristics of several 2D materials and the photodetection mechanisms, this paper reviews the research progress of silicon photonic integrated photodetectors based on 2D materials and summarizes existing device structure and performance. Finally, prospects for strategies to obtain high-performance silicon photonic integrated 2D material photodetectors and their commercial applicability are presented with considerations for large-scale 2D material integrations, device structure, and metal-semiconductor interface optimizations, as well as emerging 2D materials.
Two-dimensional (2D) materials provide new development opportunities for silicon-based integrated optoelectronic devices due to their unique structure and excellent electronic and optoelectronic properties. In recent years, 2D material-based photodetectors for hybrid-integrated silicon photonics have been widely studied. Based on the basic characteristics of several 2D materials and the photodetection mechanisms, this paper reviews the research progress of silicon photonic integrated photodetectors based on 2D materials and summarizes existing device structure and performance. Finally, prospects for strategies to obtain high-performance silicon photonic integrated 2D material photodetectors and their commercial applicability are presented with considerations for large-scale 2D material integrations, device structure, and metal-semiconductor interface optimizations, as well as emerging 2D materials.
2021, 14(5): 1056-1068.
doi: 10.37188/CO.2021-0071
cstr: 32171.14.CO.2021-0071
Abstract:
Optical Frequency Comb (OFC) possesses unique time(frequency) domain characteristics such as narrow pulse width, high frequency precision, stable frequency comb teeth and well-defined optical coherence, etc. Therefore, it has become a hot research topic in various fields including ultra-fast laser technology and metrology science in recent years. Meanwhile, OFC has also been developed into an important scientific research instrument. Recently, a novel light source based on the coherent synthesis of OFCs has been developed, which can realize the periodical, high-speed (up to radio frequency) and stable modulation of the polarization or the orbital angular momentum of light. In this review, we try to introduce recent developments on the fundamental principles, experimental techniques and characterization methods of the novel light source based on the coherent synthesis of OFCs, starting from the basic concepts of OFC and mainly covering two aspects: polarization modulation and orbital angular momentum modulation respectively. We also try to provide some perspectives on the applications of OFC based on the coherent synthesis techniques in the fields of solid-state spectroscopy, optical manipulation and the interaction between light and matter, etc.
Optical Frequency Comb (OFC) possesses unique time(frequency) domain characteristics such as narrow pulse width, high frequency precision, stable frequency comb teeth and well-defined optical coherence, etc. Therefore, it has become a hot research topic in various fields including ultra-fast laser technology and metrology science in recent years. Meanwhile, OFC has also been developed into an important scientific research instrument. Recently, a novel light source based on the coherent synthesis of OFCs has been developed, which can realize the periodical, high-speed (up to radio frequency) and stable modulation of the polarization or the orbital angular momentum of light. In this review, we try to introduce recent developments on the fundamental principles, experimental techniques and characterization methods of the novel light source based on the coherent synthesis of OFCs, starting from the basic concepts of OFC and mainly covering two aspects: polarization modulation and orbital angular momentum modulation respectively. We also try to provide some perspectives on the applications of OFC based on the coherent synthesis techniques in the fields of solid-state spectroscopy, optical manipulation and the interaction between light and matter, etc.
2021, 14(5): 1069-1088.
doi: 10.37188/CO.2021-0044
cstr: 32171.14.CO.2021-0044
Abstract:
Because of the large size and immobility working modes, traditional spectral imaging systems struggle to meet increasingly complex practical needs. Tunable micro-nano filtering structures show unique advantages for their lighter weight and greater flexibility, so they are promising candidates for achieving adaptive and intelligent operation in the future. This article summarizes a variety of tunable filtering methodologies and their operational principles both in domestic and foreign research within the last several years. It illustrates static tunable methods such as utilizing liquid crystal and phase-change materials, some dynamic tunable filtering structures such as Fabry-Pérot cavity, micro-nano tunable grating as well as some driving approaches like mechanical stretching, electrostatic driving, optical driving, etc. Meanwhile, this article also introduces some frontier researches based on microfluidic chips and graphene. In the end, it discusses the barriers, challenges and future trends of development for tunable micro-nano filtering structures.
Because of the large size and immobility working modes, traditional spectral imaging systems struggle to meet increasingly complex practical needs. Tunable micro-nano filtering structures show unique advantages for their lighter weight and greater flexibility, so they are promising candidates for achieving adaptive and intelligent operation in the future. This article summarizes a variety of tunable filtering methodologies and their operational principles both in domestic and foreign research within the last several years. It illustrates static tunable methods such as utilizing liquid crystal and phase-change materials, some dynamic tunable filtering structures such as Fabry-Pérot cavity, micro-nano tunable grating as well as some driving approaches like mechanical stretching, electrostatic driving, optical driving, etc. Meanwhile, this article also introduces some frontier researches based on microfluidic chips and graphene. In the end, it discusses the barriers, challenges and future trends of development for tunable micro-nano filtering structures.
2021, 14(5): 1089-1103.
doi: 10.37188/CO.2021-0022
cstr: 32171.14.CO.2021-0022
Abstract:
The requirements of modern optical engineering in fields such as deep ultraviolet lithography, extreme ultraviolet lithography and advanced light sources drive the continuous development of advanced optical manufacturing technology. Modern optical engineering requires the surface roughness of ultra-smooth optical components to reach the atomic level and the surface shape profile error in the full spatial frequency to reach RMS(Root Mean Square) sub-nanometer or even a few dozen picometers. This drives the manufacturing requirements of ultra-smooth optical components to approach the processing limits. At present, there are still technical challenges to achieve the ultra-smooth polishing technology and equipment required for the above ultra-high precision needs. Atomic level ultra-smooth polishing of complex surfaces such as cylinders, ellipsoids and toroids is still a primary direction of research at both domestically and abroad. Elastic emission machining is an atomic-level ultra-smooth processing method with stable removal functionality and ultra-low subsurface defect creation, which can be used for manufacturing optical components with the above-mentioned accuracy requirements. We summarize the research progress of elastic emission machining and equipment at both domestically and abroad, the principles of elastic emission machining which contains fluid characteristics, the movement characteristics of polishing particles and chemical characteristics, the equipment of elastic emission machining, and the factors affecting the improvement of surface roughness and material removal rate of elastic emission machining. Then we analyze the problems faced by elastic emission machining and equipment and look forward to their prospects. It is expected that this paper will provide a reference for the further development and application of elastic emission machining.
The requirements of modern optical engineering in fields such as deep ultraviolet lithography, extreme ultraviolet lithography and advanced light sources drive the continuous development of advanced optical manufacturing technology. Modern optical engineering requires the surface roughness of ultra-smooth optical components to reach the atomic level and the surface shape profile error in the full spatial frequency to reach RMS(Root Mean Square) sub-nanometer or even a few dozen picometers. This drives the manufacturing requirements of ultra-smooth optical components to approach the processing limits. At present, there are still technical challenges to achieve the ultra-smooth polishing technology and equipment required for the above ultra-high precision needs. Atomic level ultra-smooth polishing of complex surfaces such as cylinders, ellipsoids and toroids is still a primary direction of research at both domestically and abroad. Elastic emission machining is an atomic-level ultra-smooth processing method with stable removal functionality and ultra-low subsurface defect creation, which can be used for manufacturing optical components with the above-mentioned accuracy requirements. We summarize the research progress of elastic emission machining and equipment at both domestically and abroad, the principles of elastic emission machining which contains fluid characteristics, the movement characteristics of polishing particles and chemical characteristics, the equipment of elastic emission machining, and the factors affecting the improvement of surface roughness and material removal rate of elastic emission machining. Then we analyze the problems faced by elastic emission machining and equipment and look forward to their prospects. It is expected that this paper will provide a reference for the further development and application of elastic emission machining.
2021, 14(5): 1104-1119.
doi: 10.37188/CO.2021-0033
cstr: 32171.14.CO.2021-0033
Abstract:
As the technology node of large-scale integrated circuits continues to shrink, the focus control of the lithographic tools becomes particularly difficult. In order to ensure the exposure quality of wafers, it is necessary to quickly and accurately adjust the wafer in the Depth of Focus (DOF) to a degree as small as few dozen of nanometers. For this reason, people need to carefully analyze the various factors that cause defocusing or process window changes in the lithographic process, make a reasonable focus control budget, and control the various error factors within a certain range. This paper focuses on Extreme Ultraviolet (EUV) lithography, reviews the factors that affect focus control in the optical path of an advanced EUV lithographic tool and summarizes their principles, simulation and experimental results. It can provide a reference when conducting advanced lithography focus control budget research.
As the technology node of large-scale integrated circuits continues to shrink, the focus control of the lithographic tools becomes particularly difficult. In order to ensure the exposure quality of wafers, it is necessary to quickly and accurately adjust the wafer in the Depth of Focus (DOF) to a degree as small as few dozen of nanometers. For this reason, people need to carefully analyze the various factors that cause defocusing or process window changes in the lithographic process, make a reasonable focus control budget, and control the various error factors within a certain range. This paper focuses on Extreme Ultraviolet (EUV) lithography, reviews the factors that affect focus control in the optical path of an advanced EUV lithographic tool and summarizes their principles, simulation and experimental results. It can provide a reference when conducting advanced lithography focus control budget research.
2021, 14(5): 1120-1132.
doi: 10.37188/CO.2021-0125
cstr: 32171.14.CO.2021-0125
Abstract:
Tunable fiber light sources with wavelength near 1 μm are widely used in optical fiber sensing, laser cooling, photochemical, spectroscopy and medical fields. They have thus become an area of focus in fiber light source research in recent years. The development history of fiber light sources with wavelength tuning ability is firstly summarized systematically. Then, their problems and possible solutions are analyzed. Finally, the future developments of tunable fiber light sources near 1 μm are prospected.
Tunable fiber light sources with wavelength near 1 μm are widely used in optical fiber sensing, laser cooling, photochemical, spectroscopy and medical fields. They have thus become an area of focus in fiber light source research in recent years. The development history of fiber light sources with wavelength tuning ability is firstly summarized systematically. Then, their problems and possible solutions are analyzed. Finally, the future developments of tunable fiber light sources near 1 μm are prospected.
2021, 14(5): 1133-1145.
doi: 10.37188/CO.2020-0216
cstr: 32171.14.CO.2020-0216
Abstract:
Chaotic lasers are widely used in secure communication, lidar, optical detection and other applications due to their noise-like randomness, excellent anti-interference and other advantages. Moreover, as semiconductor lasers have small size, stable structure and other advantages, it has become one of the main lasers to produce optical chaos. However, the chaotic laser output from conventional optical feedback semiconductor lasers has the problems of narrow signal bandwidth and delay characteristics, which seriously affect their applications. With consideration for these problems, a comprehensive introduction to reduce the delay characteristics and optimize the chaotic laser bandwidth are reviewed based on recent literatures. This paper also summarizes the research progresses of chaotic secret communication, which is very important in the synchronization of chaotic lasers. The chaotic output of semiconductor lasers and the applications of chaotic lasers are also summarized, and then their development and potential future applications are discussed.
Chaotic lasers are widely used in secure communication, lidar, optical detection and other applications due to their noise-like randomness, excellent anti-interference and other advantages. Moreover, as semiconductor lasers have small size, stable structure and other advantages, it has become one of the main lasers to produce optical chaos. However, the chaotic laser output from conventional optical feedback semiconductor lasers has the problems of narrow signal bandwidth and delay characteristics, which seriously affect their applications. With consideration for these problems, a comprehensive introduction to reduce the delay characteristics and optimize the chaotic laser bandwidth are reviewed based on recent literatures. This paper also summarizes the research progresses of chaotic secret communication, which is very important in the synchronization of chaotic lasers. The chaotic output of semiconductor lasers and the applications of chaotic lasers are also summarized, and then their development and potential future applications are discussed.
2021, 14(5): 1146-1161.
doi: 10.37188/CO.2021-0032
cstr: 32171.14.CO.2021-0032
Abstract:
Augmented reality (AR) display technology has developed rapidly in recent years, and has become a research hotspot and development focus of the global information technology industry. It has the potential to revolutionize the ways we perceive and interact with various digital information. Recent advances in micro-displays and optical technologies offer new development directions to further advance AR display technology. This review analyzes the optical requirements of human visual systems for AR head-mounted displays and compares them with current specifications of AR head-mounted displays to demonstrate their current levels of development and main challenge. The basic principles and parameters of various micro-displays and optical combiners in AR head-mounted displays are introduced to explain their advantages and practicability, and their development trends are summarized.
Augmented reality (AR) display technology has developed rapidly in recent years, and has become a research hotspot and development focus of the global information technology industry. It has the potential to revolutionize the ways we perceive and interact with various digital information. Recent advances in micro-displays and optical technologies offer new development directions to further advance AR display technology. This review analyzes the optical requirements of human visual systems for AR head-mounted displays and compares them with current specifications of AR head-mounted displays to demonstrate their current levels of development and main challenge. The basic principles and parameters of various micro-displays and optical combiners in AR head-mounted displays are introduced to explain their advantages and practicability, and their development trends are summarized.
2021, 14(5): 1162-1168.
doi: 10.37188/CO.2021-0001
cstr: 32171.14.CO.2021-0001
Abstract:
In order to realize accurate positioning during the puncture surgery, a high-resolution optical system with a 90° field of view and 0.67 mm focal length is designed and developed for the visual puncture needle. A 45° viewing angle is chosen to make the optical axis perpendicular to the inclined edge surface by using a reflection prism. The retrofocus structure is used and the formulas for the initial structure parameters calculation are derived. The imaging performance of the optimized system is nearly diffraction-limited and the maximum size of the optical component is less than 1.5 mm. The optical system is developed, and it is assembled in a 4 mm diameter puncture needle with a miniature CMOS image sensor. The assembled visual puncture needle is evaluated with the Modulation Transfer Function (MTF) measurement and the imaging experiment. The measurement results show that the imaging quality of the optical system is good and its object-space resolution reaches 18.03 lp/mm, thus it can realize the requirement for high-resolution imaging.
In order to realize accurate positioning during the puncture surgery, a high-resolution optical system with a 90° field of view and 0.67 mm focal length is designed and developed for the visual puncture needle. A 45° viewing angle is chosen to make the optical axis perpendicular to the inclined edge surface by using a reflection prism. The retrofocus structure is used and the formulas for the initial structure parameters calculation are derived. The imaging performance of the optimized system is nearly diffraction-limited and the maximum size of the optical component is less than 1.5 mm. The optical system is developed, and it is assembled in a 4 mm diameter puncture needle with a miniature CMOS image sensor. The assembled visual puncture needle is evaluated with the Modulation Transfer Function (MTF) measurement and the imaging experiment. The measurement results show that the imaging quality of the optical system is good and its object-space resolution reaches 18.03 lp/mm, thus it can realize the requirement for high-resolution imaging.
2021, 14(5): 1169-1176.
doi: 10.37188/CO.2021-0005
cstr: 32171.14.CO.2021-0005
Abstract:
In order to improve the performance of the capsule endoscope antenna and its anti-interference ability and compatibility, and further reduce its size, a graphene-based and wide-band circular polarized antenna for capsule endoscopes is designed. The antenna is composed of three layers of radiation units and a floor. By making use of the excellent electrical conductivity of multi-layer graphene film, the radiation units and the floor of each layer of the antenna can enhance the working bandwidth and gain of a capsule antenna, improve the transmission efficiency and effectively reduce the loss. Four short-circuit probes are used to connect the radiation units of first layer and second layer to form a composite spiral antenna, thus generating circular polarization characteristics, which can not only reduce bit error rate but also inhibit multipath interference. In addition, it can couple electromagnetic energy, improve impedance matching and adjust the purity of circular polarization. The effects of the size of the radiation units of first, second and third layers on the performance of the antenna, such as the size of the opening ring, the thickness of the multilayer graphene film, and the antenna intake environment of the stomach, small intestine and colon are analyzed in detail. The test results show that the antenna volume is only π×4.52×1.905 mm3, the impedance bandwidth is 2.2~2.78 GHz, the axial ratio bandwidth is 2.26~2.66 GHz, and the gain is −22.9 dBi. The actual measurement results agree well with the simulation results, and the radiation characteristics in the working frequency band are stable. Compared with the existing technology, this antenna is more compatible and its functional bandwidth is wider. The antenna has a wide band, circular polarization, good anti-interference, good electromagnetic compatibility and a small volume. The antenna is suitable for the ISM 2.4 GHz band, which can meet the working requirements of a capsule endoscope intake for different digestive organs.
In order to improve the performance of the capsule endoscope antenna and its anti-interference ability and compatibility, and further reduce its size, a graphene-based and wide-band circular polarized antenna for capsule endoscopes is designed. The antenna is composed of three layers of radiation units and a floor. By making use of the excellent electrical conductivity of multi-layer graphene film, the radiation units and the floor of each layer of the antenna can enhance the working bandwidth and gain of a capsule antenna, improve the transmission efficiency and effectively reduce the loss. Four short-circuit probes are used to connect the radiation units of first layer and second layer to form a composite spiral antenna, thus generating circular polarization characteristics, which can not only reduce bit error rate but also inhibit multipath interference. In addition, it can couple electromagnetic energy, improve impedance matching and adjust the purity of circular polarization. The effects of the size of the radiation units of first, second and third layers on the performance of the antenna, such as the size of the opening ring, the thickness of the multilayer graphene film, and the antenna intake environment of the stomach, small intestine and colon are analyzed in detail. The test results show that the antenna volume is only π×4.52×1.905 mm3, the impedance bandwidth is 2.2~2.78 GHz, the axial ratio bandwidth is 2.26~2.66 GHz, and the gain is −22.9 dBi. The actual measurement results agree well with the simulation results, and the radiation characteristics in the working frequency band are stable. Compared with the existing technology, this antenna is more compatible and its functional bandwidth is wider. The antenna has a wide band, circular polarization, good anti-interference, good electromagnetic compatibility and a small volume. The antenna is suitable for the ISM 2.4 GHz band, which can meet the working requirements of a capsule endoscope intake for different digestive organs.
2021, 14(5): 1177-1183.
doi: 10.37188/CO.2021-0020
cstr: 32171.14.CO.2021-0020
Abstract:
The large field of view bio-imaging analyzer can quickly and accurately detect rare cells and trace pathogenic microorganisms, playing an extremely important role in life sciences, food and drug testing, environmental safety, etc.. Based on the theory of coaxial three-mirror imaging, a large field of view biological imaging analyzer was designed by means of an coaxial three-dimensional objective lens as the core component for imaging analysis. It has a spectral range of 350~1100 nm, a magnification β=−1, a field of view of 150 mm×20 mm and NA=0.1. The root mean square of the dot column diameter is less than 3.5 μm. At the 178 lp/mm spatial cutoff frequency, the MTF mean of the full field of view is greater than 0.35 and the distortion is zero. The imaging system has a large field of view and high resolution, and the detection rate of the biological imaging analyzer system with a large field of view is 98%. The proposed objective lens is of good quality and can meet the application requirements.
The large field of view bio-imaging analyzer can quickly and accurately detect rare cells and trace pathogenic microorganisms, playing an extremely important role in life sciences, food and drug testing, environmental safety, etc.. Based on the theory of coaxial three-mirror imaging, a large field of view biological imaging analyzer was designed by means of an coaxial three-dimensional objective lens as the core component for imaging analysis. It has a spectral range of 350~1100 nm, a magnification β=−1, a field of view of 150 mm×20 mm and NA=0.1. The root mean square of the dot column diameter is less than 3.5 μm. At the 178 lp/mm spatial cutoff frequency, the MTF mean of the full field of view is greater than 0.35 and the distortion is zero. The imaging system has a large field of view and high resolution, and the detection rate of the biological imaging analyzer system with a large field of view is 98%. The proposed objective lens is of good quality and can meet the application requirements.
2021, 14(5): 1184-1193.
doi: 10.37188/CO.2020-0218
cstr: 32171.14.CO.2020-0218
Abstract:
In order to achieve high precision surface testing for the large diameter and long focal length off-axis segmented mirrors, we designed a reflective diffractive compensation null testing system. Using a computer-generated hologram and a spherical mirror to compensate for normal aberration of the off-axis mirror. The design results show that the residual wavefront error of the optical path is close to zero. For a testing system, CGH alignment optical paths corresponding to the non-axisymmetric off-axis structure are designed to ensure the feasibility of the assembly. Parameters of the optical path testing for different off-axis distance mirrors are the same. Rapid high-precision null testing of different types of segmented mirrors can be achieved simply by replacing the CGH at corresponding position and adjusting the spatial positions of the mirror to be measured. Error analysis shows that the RMS error of the mirror surface to be measured is better than λ/40 (λ=632.8 nm), which is caused by the manufacturing error of the compensating elements, misalignment of the optical path, repeatability of the interferometer surface measurement and standard spherical wavefront deviation of the interferometer.
In order to achieve high precision surface testing for the large diameter and long focal length off-axis segmented mirrors, we designed a reflective diffractive compensation null testing system. Using a computer-generated hologram and a spherical mirror to compensate for normal aberration of the off-axis mirror. The design results show that the residual wavefront error of the optical path is close to zero. For a testing system, CGH alignment optical paths corresponding to the non-axisymmetric off-axis structure are designed to ensure the feasibility of the assembly. Parameters of the optical path testing for different off-axis distance mirrors are the same. Rapid high-precision null testing of different types of segmented mirrors can be achieved simply by replacing the CGH at corresponding position and adjusting the spatial positions of the mirror to be measured. Error analysis shows that the RMS error of the mirror surface to be measured is better than λ/40 (λ=632.8 nm), which is caused by the manufacturing error of the compensating elements, misalignment of the optical path, repeatability of the interferometer surface measurement and standard spherical wavefront deviation of the interferometer.
2021, 14(5): 1194-1201.
doi: 10.37188/CO.2020-0220
cstr: 32171.14.CO.2020-0220
Abstract:
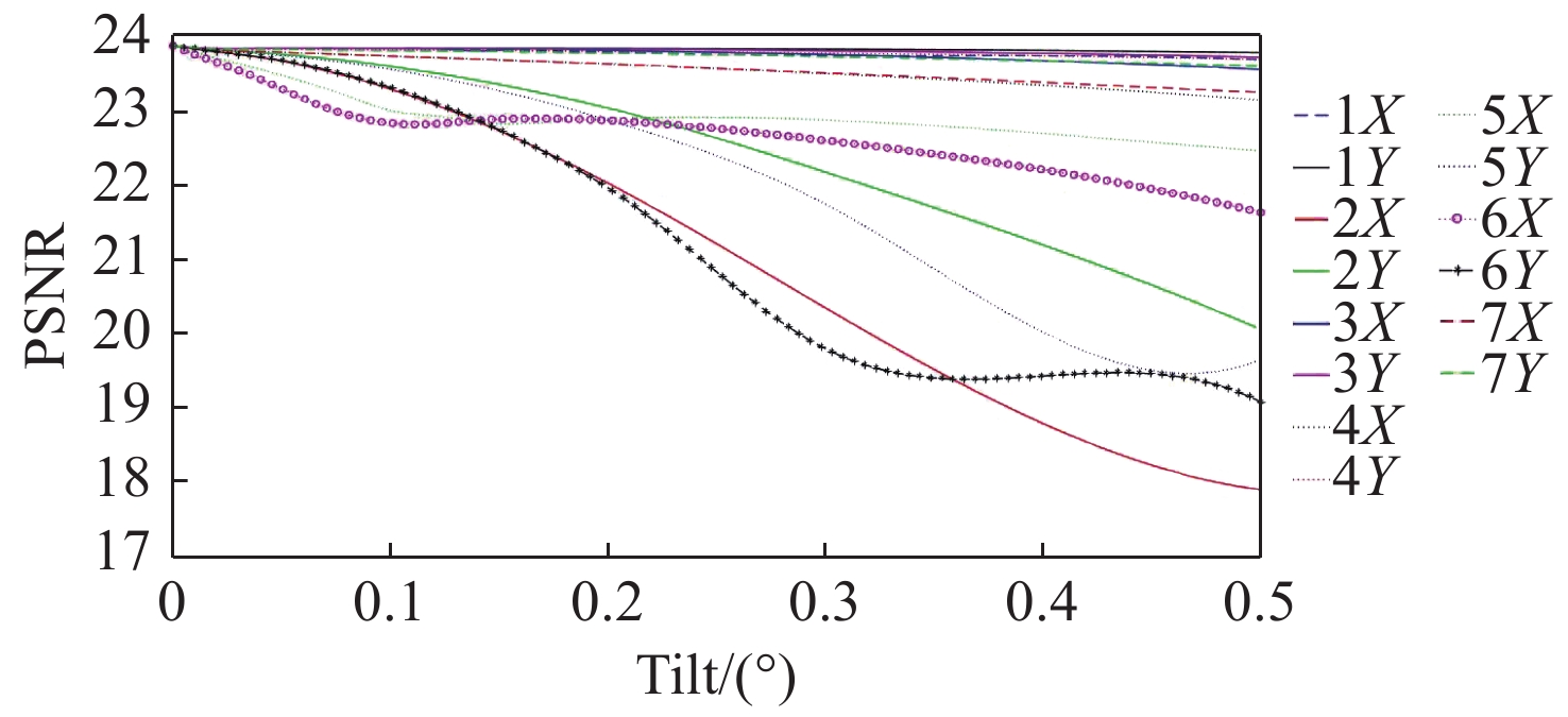
At present, most of the research on super-resolution imaging technology is focused on the super-resolution reconstruction algorithm, but the influence of the alignment error of an optical system on the super-resolution imaging results has not been reported. To solve this problem, We researche the influence of alignment error on super-resolution imaging. First, the basic imaging model of super-resolution imaging optical system based on Digital Micro-mirror Device (DMD) is established. A DMD super-resolution imaging optical system with operating band of 8~12 μm is designed, and a method used to analyze the influence of the alignment error on super-resolution imaging quality is proposed. In the imaging model, alignment errors such as eccentricity, tilt, lens spacing error and defocus are introduced, and the reconstruction results are analyzed. Finally, the range of tolerance of the super-resolution imaging optical system is obtained. The results show that the total eccentricity error in the X direction is controlled within ± 0.07 mm, and that in the Y direction is within ±0.05 mm; the total tilt error in the X and Y directions is controlled within ±0.06°; the overall lens spacing error is controlled within ±0.02 mm; the defocusing amount of the imaging object lens is controlled within ±0.04 mm; the defocusing amount of the projection objective lens is controlled within ±0.05 mm, and within this range, the super-resolution imaging optical system can ensure the quality of super-resolution imaging.
At present, most of the research on super-resolution imaging technology is focused on the super-resolution reconstruction algorithm, but the influence of the alignment error of an optical system on the super-resolution imaging results has not been reported. To solve this problem, We researche the influence of alignment error on super-resolution imaging. First, the basic imaging model of super-resolution imaging optical system based on Digital Micro-mirror Device (DMD) is established. A DMD super-resolution imaging optical system with operating band of 8~12 μm is designed, and a method used to analyze the influence of the alignment error on super-resolution imaging quality is proposed. In the imaging model, alignment errors such as eccentricity, tilt, lens spacing error and defocus are introduced, and the reconstruction results are analyzed. Finally, the range of tolerance of the super-resolution imaging optical system is obtained. The results show that the total eccentricity error in the X direction is controlled within ± 0.07 mm, and that in the Y direction is within ±0.05 mm; the total tilt error in the X and Y directions is controlled within ±0.06°; the overall lens spacing error is controlled within ±0.02 mm; the defocusing amount of the imaging object lens is controlled within ±0.04 mm; the defocusing amount of the projection objective lens is controlled within ±0.05 mm, and within this range, the super-resolution imaging optical system can ensure the quality of super-resolution imaging.
2021, 14(5): 1202-1211.
doi: 10.37188/CO.2020-0214
cstr: 32171.14.CO.2020-0214
Abstract:
Night vision intelligent detection method of scatterable landmines based on machine learning is presented. Firstly, the intelligent detection network model of scatterable landmines is designed and optimized based on the YOLO series algorithm. Then, the model measuring the distance between scatterable landmines and detection equipment is proposed based on the similarity principle of geometric optical imaging. Finally, a night vision intelligent detection system for scatterable landmines is built, tested and analyzed. The experimental results show that the optimized intelligent detection network model can detect scatterable landmines with an accuracy of 98.97%, a recall rate of 99.22%, and a mean average accuracy of 99.2%. Under the given experimental conditions, the optimized scatterable landmine ranging model has an error of ±10 cm in the calculated distance of scatterable landmines. The study shows that machine learning can perform intelligent and long-distance detection of scatterable landmines.
Night vision intelligent detection method of scatterable landmines based on machine learning is presented. Firstly, the intelligent detection network model of scatterable landmines is designed and optimized based on the YOLO series algorithm. Then, the model measuring the distance between scatterable landmines and detection equipment is proposed based on the similarity principle of geometric optical imaging. Finally, a night vision intelligent detection system for scatterable landmines is built, tested and analyzed. The experimental results show that the optimized intelligent detection network model can detect scatterable landmines with an accuracy of 98.97%, a recall rate of 99.22%, and a mean average accuracy of 99.2%. Under the given experimental conditions, the optimized scatterable landmine ranging model has an error of ±10 cm in the calculated distance of scatterable landmines. The study shows that machine learning can perform intelligent and long-distance detection of scatterable landmines.
2021, 14(5): 1212-1223.
doi: 10.37188/CO.2020-0219
cstr: 32171.14.CO.2020-0219
Abstract:
With the increase in cars on the road, the reliability of automobile braking systems has received increasing attention. The detection accuracy of the compensation hole’s parameters of an automobile’s brake master cylinder based on machine vision is key to determining automobile safety and the reliability of parking technology. As an important part of automobile brake master cylinders, the compensation hole can play an important role in regulating the brake fluid in its reservoir and pressure chamber. Its dimensional accuracy and processing quality are strictly controlled, so accurately obtaining an image of the compensation hole is a priority in compensation hole parameter detection. By introducing the correction method of plane drilling rivet hole normal line into the image acquisition process, the four-point micro-plane normal line detection method is combined with image processing to realize high-efficiency and high-precision normal line correction. Experiments show that the algorithm's normal alignment accuracy is higher than 0.05°, which is better than the traditional detection accuracy of 0.5°, and the detection time is less than 1 s. The algorithm proposed in this paper is simple and has good real-time performance while meeting accuracy requirements. It also has good robustness and meets the requirements of the brake master cylinder production industry for detection speed and accuracy.
With the increase in cars on the road, the reliability of automobile braking systems has received increasing attention. The detection accuracy of the compensation hole’s parameters of an automobile’s brake master cylinder based on machine vision is key to determining automobile safety and the reliability of parking technology. As an important part of automobile brake master cylinders, the compensation hole can play an important role in regulating the brake fluid in its reservoir and pressure chamber. Its dimensional accuracy and processing quality are strictly controlled, so accurately obtaining an image of the compensation hole is a priority in compensation hole parameter detection. By introducing the correction method of plane drilling rivet hole normal line into the image acquisition process, the four-point micro-plane normal line detection method is combined with image processing to realize high-efficiency and high-precision normal line correction. Experiments show that the algorithm's normal alignment accuracy is higher than 0.05°, which is better than the traditional detection accuracy of 0.5°, and the detection time is less than 1 s. The algorithm proposed in this paper is simple and has good real-time performance while meeting accuracy requirements. It also has good robustness and meets the requirements of the brake master cylinder production industry for detection speed and accuracy.
2021, 14(5): 1224-1230.
doi: 10.37188/CO.2021-0008
cstr: 32171.14.CO.2021-0008
Abstract:
Temperature and pressure are very important parameters in oil and gas well exploitation. The downhole environment is harsh so it is difficult for traditional electronic sensors to achieve long-term and stable monitoring of downhole parameters. In this paper, a fiber Bragg grating temperature and pressure sensor based on a carbon-fiber sensitized tube is proposed. The sensor is composed of a hollow tubular structure woven of carbon fibers as a skeleton. The composite carbon fiber tubes are cured by high-temperature resistant epoxy resin as an elastomer, and the high-temperature resistant fiber Bragg grating is embedded on the surface as a sensing element to realize the simultaneous measurement of downhole temperature and pressure. The experimental results show that the sensor can work stably in environments of 0~150 ℃ and 0~80 MPa, and the maximum pressure sensitivity can reach −50.02 pm/MPa. The sensor has a good linear response. By adding a reference grating as a temperature compensation grating, the cross-sensitivity problem in the process of the simultaneous measurement of temperature and pressure is solved, and the accuracy requirements in the process of underground mining are met. This technique provides an experimental basis for the design of high-temperature and high-pressure optical fiber sensors in oil and gas wells.
Temperature and pressure are very important parameters in oil and gas well exploitation. The downhole environment is harsh so it is difficult for traditional electronic sensors to achieve long-term and stable monitoring of downhole parameters. In this paper, a fiber Bragg grating temperature and pressure sensor based on a carbon-fiber sensitized tube is proposed. The sensor is composed of a hollow tubular structure woven of carbon fibers as a skeleton. The composite carbon fiber tubes are cured by high-temperature resistant epoxy resin as an elastomer, and the high-temperature resistant fiber Bragg grating is embedded on the surface as a sensing element to realize the simultaneous measurement of downhole temperature and pressure. The experimental results show that the sensor can work stably in environments of 0~150 ℃ and 0~80 MPa, and the maximum pressure sensitivity can reach −50.02 pm/MPa. The sensor has a good linear response. By adding a reference grating as a temperature compensation grating, the cross-sensitivity problem in the process of the simultaneous measurement of temperature and pressure is solved, and the accuracy requirements in the process of underground mining are met. This technique provides an experimental basis for the design of high-temperature and high-pressure optical fiber sensors in oil and gas wells.
2021, 14(5): 1231-1242.
doi: 10.37188/CO.2020-0129
cstr: 32171.14.CO.2020-0129
Abstract:
In order to effectively evaluate the influence of scattered radiation of the heat collection tower on the optical environment of the Dunhuang Gobi Site of the Chinese Radiometric Calibration Sites (CRCS), the Monte Carlo three-dimensional radiation transmission model simulation combined with in situ CE318 multi-channel photometer almucantar measurements was applied to solve the problem that it is difficult to quantitatively evaluate the scattered radiation mixed with the background radiation. By measuring the data with a new cloud cover automatic observing instrument ASC200, the accuracy of clear sky measurements improved, and the development of the CE318 four-quadrant location correction algorithm effectively increased the amount of valid data that meets our threshold requirements. The effective data collected from January to March 2020 shows that the molten salt tower Concentrating Solar Power (CSP) project has no significant impact on the sky diffuse radiation outside the 550nm channel. In the 500 nm channel, under the geometric parameters corresponding to the valid data (distance 0.87−3.07 km, observation zenith angle 77.30−51.32º), the impact of the molten salt tower heat absorber on diffuse sky radiation does not exceed 0.93%. Combined with the analysis of the model simulation results, it can be concluded that the relative change of the sky diffuse radiation caused by the scattered radiation of the large power station is less than 1.62% at 2 km away, and the relative change is less than 0.93% when it is at least 3 km away. The research results have positive significance for the use of Dunhuang Site to conduct quantitative applications in remote sensing and the accurate evaluation of the uncertainties introduced by power stations.
In order to effectively evaluate the influence of scattered radiation of the heat collection tower on the optical environment of the Dunhuang Gobi Site of the Chinese Radiometric Calibration Sites (CRCS), the Monte Carlo three-dimensional radiation transmission model simulation combined with in situ CE318 multi-channel photometer almucantar measurements was applied to solve the problem that it is difficult to quantitatively evaluate the scattered radiation mixed with the background radiation. By measuring the data with a new cloud cover automatic observing instrument ASC200, the accuracy of clear sky measurements improved, and the development of the CE318 four-quadrant location correction algorithm effectively increased the amount of valid data that meets our threshold requirements. The effective data collected from January to March 2020 shows that the molten salt tower Concentrating Solar Power (CSP) project has no significant impact on the sky diffuse radiation outside the 550nm channel. In the 500 nm channel, under the geometric parameters corresponding to the valid data (distance 0.87−3.07 km, observation zenith angle 77.30−51.32º), the impact of the molten salt tower heat absorber on diffuse sky radiation does not exceed 0.93%. Combined with the analysis of the model simulation results, it can be concluded that the relative change of the sky diffuse radiation caused by the scattered radiation of the large power station is less than 1.62% at 2 km away, and the relative change is less than 0.93% when it is at least 3 km away. The research results have positive significance for the use of Dunhuang Site to conduct quantitative applications in remote sensing and the accurate evaluation of the uncertainties introduced by power stations.
2021, 14(5): 1243-1250.
doi: 10.37188/CO.2021-0018
cstr: 32171.14.CO.2021-0018
Abstract:
The cloud-to-ground lightning discharge spectrum was recorded using a slitless grating spectrograph with a spectral range of 400~1000 nm. Abundant monovalent nitrogen ion lines were observed in the lower-frequency range of the visible spectra, whereas other important ion lines were not clearly observed. Under the action of the cloud-to-ground electric field, a large number of electrons in the lightning plasma channel poured onto the ground and quickly heated the channel, such that the temperature decreased along the radial direction of the channel. This process enhanced the interaction between the nitrogen ions and the electrons near the channel surface, producing continuous radiation. The continuous radiation mechanism of lightning mainly includes bremsstrahlung and recombination radiation, which correspond to the Coulomb collision between the nitrogen ions and free electrons and the capture of free electrons. When the plasma temperature is lower than 10,000 K, the continuous bremsstrahlung spectrum is a flat spectrum, which has no obvious influence on the profile characteristics of the continuous spectrum in the visible light range. For recombination radiation, an approximate calculation method for non-hydrogen-like complex ions was introduced on the basis of the classic hydrogen-like ion radiation theory. The Gaunt factor was used for quantum mechanic correction to analyze the recombination radiation process of nitrogen ions, on the basis of above, the functional relationship between the recombination radiation coefficient of the continuous spectrum and the wavelength was derived. Finally, a characteristic curve was drawn for the continuous radiation spectrum of nitrogen plasma. The curve was compared with the observed profile of the continuous lightning spectrum, revealing that the temperature of the electrons on the plasma surface is closely related to the position of the continuous radiation spectrum peak; the effective nuclear charge number Z* of the introduced nitrogen ions has a significant effect on step feature and broadening characteristics of the continuum spectrum. By comparison, when Z* was set to 3, the theoretical curve was highly consistent with the profile characteristics of the continuous spectrum. The range of Z* was determined by the type of ions. The introduction of Z* could help to effectively explain the step feature of the continuous spectrum of the lightning plasma at a given wavelength.
The cloud-to-ground lightning discharge spectrum was recorded using a slitless grating spectrograph with a spectral range of 400~1000 nm. Abundant monovalent nitrogen ion lines were observed in the lower-frequency range of the visible spectra, whereas other important ion lines were not clearly observed. Under the action of the cloud-to-ground electric field, a large number of electrons in the lightning plasma channel poured onto the ground and quickly heated the channel, such that the temperature decreased along the radial direction of the channel. This process enhanced the interaction between the nitrogen ions and the electrons near the channel surface, producing continuous radiation. The continuous radiation mechanism of lightning mainly includes bremsstrahlung and recombination radiation, which correspond to the Coulomb collision between the nitrogen ions and free electrons and the capture of free electrons. When the plasma temperature is lower than 10,000 K, the continuous bremsstrahlung spectrum is a flat spectrum, which has no obvious influence on the profile characteristics of the continuous spectrum in the visible light range. For recombination radiation, an approximate calculation method for non-hydrogen-like complex ions was introduced on the basis of the classic hydrogen-like ion radiation theory. The Gaunt factor was used for quantum mechanic correction to analyze the recombination radiation process of nitrogen ions, on the basis of above, the functional relationship between the recombination radiation coefficient of the continuous spectrum and the wavelength was derived. Finally, a characteristic curve was drawn for the continuous radiation spectrum of nitrogen plasma. The curve was compared with the observed profile of the continuous lightning spectrum, revealing that the temperature of the electrons on the plasma surface is closely related to the position of the continuous radiation spectrum peak; the effective nuclear charge number Z* of the introduced nitrogen ions has a significant effect on step feature and broadening characteristics of the continuum spectrum. By comparison, when Z* was set to 3, the theoretical curve was highly consistent with the profile characteristics of the continuous spectrum. The range of Z* was determined by the type of ions. The introduction of Z* could help to effectively explain the step feature of the continuous spectrum of the lightning plasma at a given wavelength.
2021, 14(5): 1251-1258.
doi: 10.37188/CO.2020-0068
cstr: 32171.14.CO.2020-0068
Abstract:
Optical properties of periodic double-well potential are one of the frontier research fields in laser physics and quantum optics. In this work, we have employed time-periodic double-well potential for the investigation of Fano-type resonant tunneling of photon-assisted Dirac electrons in a graphene system. Using a double quantum well structure, it is found that the resonant tunneling of electrons in a thin barrier between the two quantum wells splits the bound state energy levels, and the Fano-type resonance spectrum splits into two asymmetric resonance peaks. The shape of Fano peak is regulated by changing the phase, frequency, and amplitude, that can directly modulate the electronic transport properties of Dirac in graphene. Our numerical analysis shows that the relative phase of two oscillating fields can adjust the shape of the asymmetric Fano type resonance peak. When the relative phase increases from 0 to${\text{π}}$ , the resonance peak valley moves from one side of the peak to the other. In addition, the asymmetric resonance peak becomes symmetric at critical phase ${{3{\text{π}} }/{11}}$ . Furthermore, the distribution of Fano peaks can be modulated by varying the frequency and amplitude of oscillating field and the structure of the static potential well. Finally, we suggest that these interesting physical properties can be used for the modulation of Dirac electron transport properties in graphene.
Optical properties of periodic double-well potential are one of the frontier research fields in laser physics and quantum optics. In this work, we have employed time-periodic double-well potential for the investigation of Fano-type resonant tunneling of photon-assisted Dirac electrons in a graphene system. Using a double quantum well structure, it is found that the resonant tunneling of electrons in a thin barrier between the two quantum wells splits the bound state energy levels, and the Fano-type resonance spectrum splits into two asymmetric resonance peaks. The shape of Fano peak is regulated by changing the phase, frequency, and amplitude, that can directly modulate the electronic transport properties of Dirac in graphene. Our numerical analysis shows that the relative phase of two oscillating fields can adjust the shape of the asymmetric Fano type resonance peak. When the relative phase increases from 0 to
2021, 14(5): 1259-1272.
doi: 10.37188/CO.2020-0204
cstr: 32171.14.CO.2020-0204
Abstract:
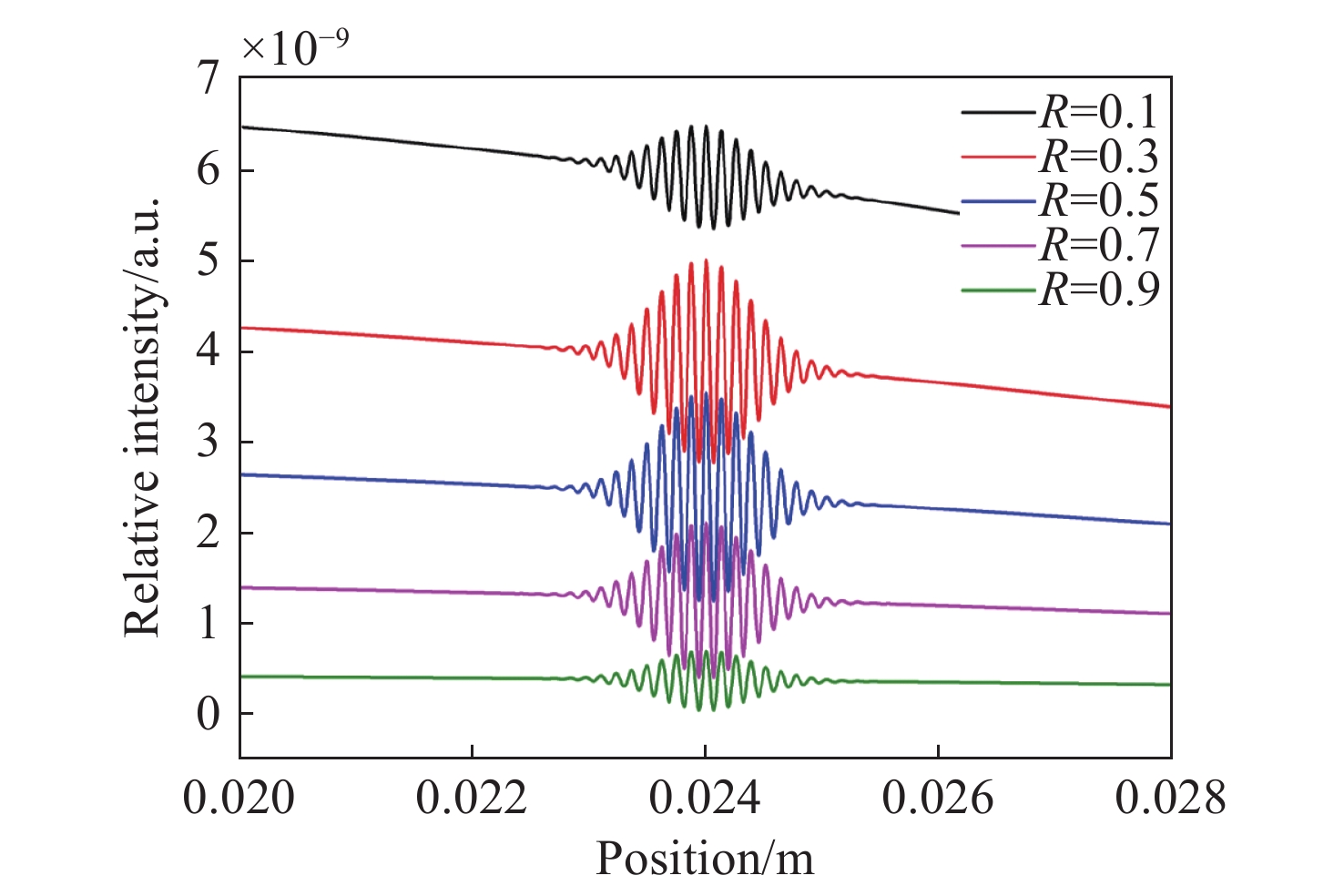
In order to realize the demodulation of the cavity length of the fiber-optic FP sensor, a new optical wedge-type non-scanning correlation demodulation system is proposed, and the characteristics and structure of the devices used in the system are analyzed and studied. First, by simulating the light sources with different spectral distributions and the optical wedges with different surface reflectivities, the correlation interference signals are analyzed and the optimal structure parameters of the system components are given. Then by comparing the light intensity distribution characteristics of the Powell prism and cylindrical lens on the linear array CCD, more uniform spectral distribution is achieved. Finally, the specific implementation scheme and data processing method of the demodulation system are given. The experimental results show that when the light source spectrum has a Gaussian distribution and large spectral width and the reflectivity of the wedge surface is$R = 0.5$ , the characteristics of the correlation interference signal are obvious and convenient for demodulation. Finally, the demodulation system achieves the demodulation effect with an error of less than 0.025% within the cavity length range of 60 μm-100 μm. This optical wedge-type non-scanning correlation demodulation method can realize the sensing demodulation of the fiber-optic FP cavity and improve the power adaptability of different types of fiber-optic FP sensors.
In order to realize the demodulation of the cavity length of the fiber-optic FP sensor, a new optical wedge-type non-scanning correlation demodulation system is proposed, and the characteristics and structure of the devices used in the system are analyzed and studied. First, by simulating the light sources with different spectral distributions and the optical wedges with different surface reflectivities, the correlation interference signals are analyzed and the optimal structure parameters of the system components are given. Then by comparing the light intensity distribution characteristics of the Powell prism and cylindrical lens on the linear array CCD, more uniform spectral distribution is achieved. Finally, the specific implementation scheme and data processing method of the demodulation system are given. The experimental results show that when the light source spectrum has a Gaussian distribution and large spectral width and the reflectivity of the wedge surface is
2021, 14(5): 1273-1287.
doi: 10.37188/CO.2021-0015
cstr: 32171.14.CO.2021-0015
Abstract:
In order to realize the separation and release of nucleated red blood cells from peripheral blood and develop a safe and effective non-invasive technique to separate nucleated red blood cells for prenatal diagnosis of fetal diseases, an automatic cell smear preparation system based on hydrogel material was established, and a laser focusing and microscopic imaging system for recognizing and releasing nucleated red blood cells was constructed. Firstly, the mechanical structure of cell smear preparation machine was designed, the upper computer control software was designed based on single chip microcomputer, and a hydrogel membrane substrate smear was prepared by optimizing the slide-pushing angle and speed. MXene, a two-dimensional material, was introduced into temperature-sensitive hydrogel gelatin, and the near-infrared light response was realized on the surface of hydrogel membrane by using the near-infrared photothermal conversion characteristics of MXene. Then, the whole cell smear experiment was carried out on the surface of the hydrogel substrate membrane. A monolayer cell smear was prepared by optimizing the parameters of blood slide. Finally, the optical path of laser focusing and microscopic imaging was established. After the nucleated red blood cells were recognized and located, the light from an 808 nm laser source passed through a collimator lens and a convergent lens and was focused on the surface of the cell smear, which released cells under photothermal effect. A monolayer cell smear was processed and prepared, and then a photothermal effect was produced under the near-infrared light of 808 nm. After the control of the laser focusing system, a fixed cell-releasing area with a spot diameter of 300 μm was finally obtained. In this paper, the automatic slide-pushing technology was applied to the preparation of a monolayer cell smear based on hydrogel membrane, and the optical path of laser focusing and microscopic imaging was established. By using the near-infrared response and a thermal response of hydrogel membrane, the recognition and fixed-point release of nucleated red blood cells were realized, and the efficiency of separation and enrichment of nucleated red blood cells was improved. This technology has a broad application prospect in the field of prenatal screening and diagnosis.
In order to realize the separation and release of nucleated red blood cells from peripheral blood and develop a safe and effective non-invasive technique to separate nucleated red blood cells for prenatal diagnosis of fetal diseases, an automatic cell smear preparation system based on hydrogel material was established, and a laser focusing and microscopic imaging system for recognizing and releasing nucleated red blood cells was constructed. Firstly, the mechanical structure of cell smear preparation machine was designed, the upper computer control software was designed based on single chip microcomputer, and a hydrogel membrane substrate smear was prepared by optimizing the slide-pushing angle and speed. MXene, a two-dimensional material, was introduced into temperature-sensitive hydrogel gelatin, and the near-infrared light response was realized on the surface of hydrogel membrane by using the near-infrared photothermal conversion characteristics of MXene. Then, the whole cell smear experiment was carried out on the surface of the hydrogel substrate membrane. A monolayer cell smear was prepared by optimizing the parameters of blood slide. Finally, the optical path of laser focusing and microscopic imaging was established. After the nucleated red blood cells were recognized and located, the light from an 808 nm laser source passed through a collimator lens and a convergent lens and was focused on the surface of the cell smear, which released cells under photothermal effect. A monolayer cell smear was processed and prepared, and then a photothermal effect was produced under the near-infrared light of 808 nm. After the control of the laser focusing system, a fixed cell-releasing area with a spot diameter of 300 μm was finally obtained. In this paper, the automatic slide-pushing technology was applied to the preparation of a monolayer cell smear based on hydrogel membrane, and the optical path of laser focusing and microscopic imaging was established. By using the near-infrared response and a thermal response of hydrogel membrane, the recognition and fixed-point release of nucleated red blood cells were realized, and the efficiency of separation and enrichment of nucleated red blood cells was improved. This technology has a broad application prospect in the field of prenatal screening and diagnosis.
2021, 14(5): 1288-1304.
doi: 10.37188/CO.2021-0004
cstr: 32171.14.CO.2021-0004
Abstract:
Compared with the commonly used simulation algorithms such as Finite Element Method (FEM) and Finite-Difference Time-Domain (FDTD) method, the Boundary Element Method (BEM) has the advantages of high accuracy, small memory consumption, and ability to deal with complex structures. In this paper, the basic principle of three-dimensional BEM is given, the corresponding program based on C++ language is written, and the Surface Plasmon Resonance (SPR) characteristics of a graphene nano-disk structure are studied. The Scattering Cross-Section (SCS) spectral lines of a graphene nano-disk under different chemical potentials, as well as the distributions of electromagnetic fields at the resonance wavelengths are calculated. The electromagnetic response of the graphene nano-disk in the infrared band is analyzed. In addition, considering the common corrugations of graphene materials caused by defects during processing, we study the influence of the geometric parameters of a convex structure in the center of the graphene nano-disk on the resonance intensity, wavelength and field distributions. A spring oscillator model of charge movement is used to explain the simulation results.
Compared with the commonly used simulation algorithms such as Finite Element Method (FEM) and Finite-Difference Time-Domain (FDTD) method, the Boundary Element Method (BEM) has the advantages of high accuracy, small memory consumption, and ability to deal with complex structures. In this paper, the basic principle of three-dimensional BEM is given, the corresponding program based on C++ language is written, and the Surface Plasmon Resonance (SPR) characteristics of a graphene nano-disk structure are studied. The Scattering Cross-Section (SCS) spectral lines of a graphene nano-disk under different chemical potentials, as well as the distributions of electromagnetic fields at the resonance wavelengths are calculated. The electromagnetic response of the graphene nano-disk in the infrared band is analyzed. In addition, considering the common corrugations of graphene materials caused by defects during processing, we study the influence of the geometric parameters of a convex structure in the center of the graphene nano-disk on the resonance intensity, wavelength and field distributions. A spring oscillator model of charge movement is used to explain the simulation results.
Abstract
FullText HTML
PDF 10280KB


