2023 Vol. 16, No. 5
Polarization imaging, a novel photoelectric detection technology, can simultaneously acquire the contour information and polarization features of a scene. For specific application scenarios, polarization imaging has the excellent ability to distinguish different objects and highlight their outlines. Therefore, polarization imaging has been widely applied in the fields of object detection, underwater imaging, life science, environmental monitoring, 3D imaging, etc. Polarization splitting or the filtering device is the core element in a polarization imaging system. The traditional counterpart suffers from a bulky size, poor optical performance, and being sensitive to external disturbances, and can hardly meet the requirements of a highly integrated, highly functional, and highly stable polarization imaging system. A metasurface is a two-dimensional planar photonic device whose comprising units are arranged quasi-periodically at subwavelength intervals, and can finely regulate the amplitude and phase of the light field in different polarization directions. Polarization devices based on metasurface are featured with compactness, lightweight and multi-degree freedom, offering an original solution to ultracompact polarization imaging systems. Targeted at the field of polarization imaging, this paper illustrates the functional theory, developmental process and future tendency of related metasurfaces. We discuss the challenges and prospect on the future of imaging applications and systematic integrations with metasurfaces.
In order to clarify the cavity design methods of thin-disk multi-pass amplifiers, we summarize the different types of thin-disk multi-pass amplifiers and concludes that there are four fundamental design concepts: (1) 4
Miniature head-mounted single-photon fluorescence microscopy is a breakthrough approach for neuroscience research that has emerged in recent years. It can image the neural activity of freely moving vivo animals in real time, providing an unprecedented way to access neural signals and rapidly enhancing the understanding of how the brain works. Driven by the needs of brain science research, there have been many types of miniature head-mounted single-photon fluorescence microscopes, such as high-resolution imaging, wireless recording, 3D imaging, two-region imaging and two-color imaging. In order to have a more comprehensive understanding of this new optical neuroimaging technology, we classify its technologies according to the imaging field of view, introduce the characteristics of different types of micro-head-mounted single-photon fluorescence microscopes reported so far, and focus on the optical system scheme and optical performance parameters used. The advantages and disadvantages of different schemes are analyzed and compared and the future direction of development is described to provide reference for the practical application of brain science researchers.
In this paper, an image super-resolution reconstruction multi-scale algorithm based on a residual attention network (SMRAN) is proposed to solve the problems caused by low resolutions, less texture information and blurred details in colorectal endoscopic images. Images from the colorectal polyp endoscope image dataset PolypsSet are selected as the raw data for these experiments. A convolutional network is built to extract the shallow features of the low-resolution image and a Res-Sobel block is designed to enhance its edge features. A multi-scale feature fusion block MEB is designed by introducing convolution kernels of different sizes to adaptively extract image features of different scales and obtain effective image information. The Res-Sobel block and multi-scale feature fusion module block MEB are connected through the residual attention network. Finally, a high-resolution image is reconstructed at the sub-pixel convolution layer. When the amplification factor is ×4, the performance of the proposed algorithm on the test set are as follows: the peak signal-to-noise ratio (PSNR) is 34.25 dB and the structural similarity (SSIM) is 0.8675. Compared with the traditional bicubic interpolation algorithm and commonly used deep learning algorithms such as SRCNN and RCAN, the proposed SMRAN algorithm shows better super-resolution reconstruction results on colorectal endoscopic images.
The resolution of optical imaging is limited by the diffraction limit, system detector size and many other factors. To obtain images with richer details and clearer textures, a multi-scale feature attention fusion residual network was proposed. Firstly, shallow features of the image were extracted using a layer of convolution and then the multi-scale features were extracted by a cascade of multi-scale feature extraction units. The local channel attention module is introduced in the multi-scale feature extraction unit to adaptively correct the weights of feature channels and improve the attention to high frequency information. The shallow features and the output of each multi-scale feature extraction unit were used as hierarchical features for global feature fusion reconstruction. Finally, the hight-resolution image was reconstructed by introducing shallow features and multi-level image features using the residual branch. Charbonnier loss was adopted to make the training more stable and converge faster. Comparative experiments on the international benchmark datasets show that the model outperforms most state-of-the-art methods on objective metrics. Especially on the Set5 data set, the PSNR index of the 4× reconstruction result is increased by 0.39 dB, and the SSIM index is increased to 0.8992, and the subjective visual effect of the algorithm is better.
Vehicle infrared image target detection is an important way of road environment perception for autonomous driving. However, existing vehicle infrared image target detection algorithms have defects, such as low memory utilization, complex calculation and low detection accuracy. In order to solve the above problems, an improved YOLOv5s lightweight target detection algorithm is proposed. Firstly, the C3Ghost and Ghost modules are introduced into the YOLOv5s detection network to reduce network complexity. Secondly, the αIoU loss function is introduced to improve the positioning accuracy of the target and the networks training efficiency. Then, the subsampling rate of the network structure is reduced and the KMeans clustering algorithm is used to optimize the prior anchor size to improve the ability to detect of small targets. Finally, coordinate attention and spatial depth convolution modules are respectively introduced into the Backbone and Neck to further optimize the model and improve the feature extraction of the model. The experimental results show that compared with the original YOLOv5s algorithm, the improved algorithm can compress the model size by 78.1%, reduce the number of parameters and Giga Floating-point Operations Per Second by 84.5% and 40.5% respectively, and improve the mean average precision and detection speed by 4.2% and 10.9%, respectively.
In order to better preserve high-frequency information in demosaicing multispectral images, we propose a new demosaicing method for multispectral images based on an improved guided filter. Firstly, the strong correlation between adjacent pixels based on the autoregressive model is constructed, gradually estimates the model parameters at each pixel, and the optimal estimation value is obtained by minimizing the estimation error in the local window, interpolates the sampling dense band G, and generates high-quality guide images. The windowed intrinsic variation coefficient is then introduced into the penalty factor to obtain a weighted guide filter with edge sensing ability and to reconstruct the remaining sparse sampling bands. Finally, the CAVE dataset and the TokyoTech dataset are used for simulation. The experimental results show that compared with the mainstream five-band multispectral image demosaicing method, the peak signal-to-noise ratio and structure similarity of the reconstructed image in the CAVE dataset and the TokyoTech dataset are improved by 3.40%, 2.02%, 1.34%, 0.30% and 6.11%, 5.95%, 2.28%, 1.42%, respectively. The local structure and color information of the original image are also better preserved, and the edge artifacts and noise are reduced.
To solve the high false alarms caused by complex background clutters in infrared small-target detection, a novel detection method based on
In the spaceborne gravitational wave interferometric detection, the problem of stray light has received long-term attention. The laser light emitted by the local interferometer produces backward coherent stray light when passing the telescope while the radiation from space that is incident to the spacecraft produces forward incoherent stray light. Forward incoherent stray light has received less attention at this point, but it is a necessary factor of gravitational-wave telescope design. Therefore, this paper studies stray light produced by space gravitational wave telescopes in orbit. First, the annual solar angle is calculated according to the orbital data of the three-star satellite formation of the Taiji Project, and the solar radiation around the 1064 nm band is evaluated. The baffle shadowing function is derived, which satisfies the requirement for the baffle design. The telescope is then modeled optically and mechanically and scatter measurements are conducted for critical optical components. Finally, the stray light reaching the pupil of the telescope is determined based on the energy of the incident sunlight. The results show that when the angle between the incident light and the optical axis is 60°, the stray radiation at the exit pupil is 3.9×10−12 W, and the corresponding point source transmittance is 8.7×10−9 which meets the requirement for space gravitational waves to detect extremely low levels of stray light.
In the space gravitational wave detection Taiji mission, a heterodyne laser interferometer is used to detect gravitational wave signals in the middle and low frequency bands. In the Taiji mission, the laser interferometry system is composed of multi-channel interferometers, which involves the phase acquisition and readout of multiple sets of the interference signals. Therefore, the multi-channel phase measurement system is one of the key core technologies of the space laser interferometry. In this paper, a multi-channel phase measurement system is proposed, designed and tested based on the requirements of the Taiji mission and its ground-based laser interferometry experiments. First, the hardware and software design of the multi-channel phase measurement system is given, including hardware architecture design, phase measurement algorithm based on digital phase-locked loop and its implementation on FPGA, software architecture design, etc. Second, a time-domain functional tests of the multi-channel phasemeter are performed, which includes the phase accuracy and linearity. The results show that the dynamic and static phase linearity and accuracy of the multi-channel phase measurement system under different working conditions are good. Finally, the frequency domain noise tests of different channels at different frequencies and different amplitudes are carried out. The results show that the phase noise level of the multi-channel phase meter designed in this paper is better than
In order to solve the problem of aberration detection failure caused by double-layer reflected light of the fundus retina in standard animal model mouse during wavefront detection, a mouse eye aberration measurement technique combined with optical mask modulation was proposed to improve the accuracy of wavefront aberration measurement. First, according to the key parameters of mouse retina, we established the optical system model of mouse eye wavefront aberration detection and performed optical simulations. Then, the effects of optical masks with different apertures on the reflection beam of the non-target layer of the retina were analyzed and compared, and then the parameters of the optical mask and the experimental plan were determined. Finally, the wave front aberration detection system of the mouse eye was established, and the wavefront aberration of the mouse eye was measured in vivo. The experimental results show that the optical mask with 0.5 mm aperture can reduce the root mean square error of mouse eye wavefront aberration measurement by 74.9%, which is similar to the shielding effect of non-target layer reflected in 80% of the theoretical simulation. It can effectively block the reflected light from the non-target layer of the mouse retina, improve the detection accuracy of the wavefront aberration of the mouse eye, and lay a foundation for the further realization of high-resolution imaging of the mouse eye.
We develop a fiber Bragg grating accelerometer based on a bearing and flexure hinge for the measurement of medium-high frequency vibration signals. The mathematical model between its natural frequency and sensitivity and structural parameters is derived based on a mechanical model, and the structural design is optimized based on the theoretical analysis results. With these prerequisites, the sensor was fabricated. Ultimately, its dynamic characteristics are validated using a finite element simulation and vibration experiment. The results show that both its operating frequency range and acceleration sensitivity are 10−1200 Hz and 17.25 pm/g. In addition, this proposed sensor has some advantages such as an error of less than 0.3 g, a good linearity of greater than 0.99, a repeatability error of 2.33%, and it is free of temperature.
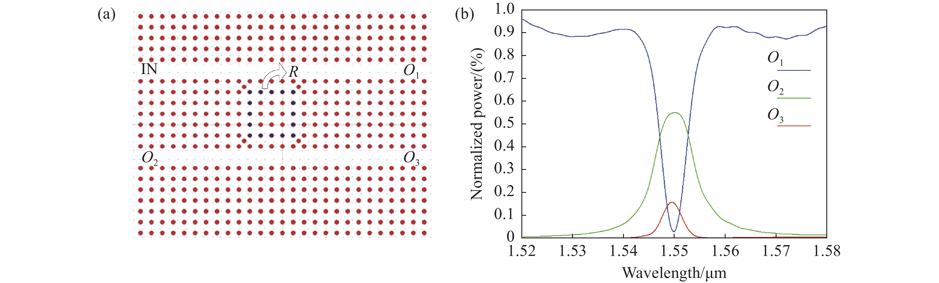
Traditional analytical theory design scheme faces problems, such as high computational complexity, limited analytical solution, and high time-consumption. To cambat these issues, based on the design of traditional optical devices, a scheme for designing an optical power splitter with adjustable split ratio according to the reverse design method is proposed. In a compact region of 1.92 μm×1.92 μm, Ge2Sb2Se4Te1(GSST) is introduced to change the refractive index distribution of the device. The direct binary search algorithm is utilized to search the optimal state distribution of GSST in crystalline and amorphous states. A T-shaped optical power splitter with adjustable split ratio is designed and implemented for the same device structure. The initial structure, split ratio, phase change material region state distribution, manufacturing tolerance, and light field distribution of the device are simulated and analyzed. The results show the minimum relative errors of the designed optical power splitters with three splitting ratios of 1∶1, 1.5∶1 and 2∶1 between wavelengths 1530 nm and 1560 nm are 0.004%, 0.14% and 0.22%, respectively. The maximum fluctuations of the transmission curve in the manufacturing tolerance range are 0.95 dB, 1.21 dB and 1.18 dB, respectively. The splitter has a compact structure and great potential for applications in optical communication and information processing.
Ammonia emission will cause harm to the environment and human health, so it is particularly important that the ammonia concentrations are measured with high precision. Off-Axis Integrating Cavity Output Spectroscopy (OA-ICOS), which has the advantages of high sensitivity and high response speed, is used to design a high-precision ammonia detection device. The gas absorption cell is composed of two high reflection mirrors with a reflectivity of 99.99%, and the base length of the optical resonator is 30 cm. Finally, an optical path of nearly 3000 m was realized. The Distributed Feedback Laser (DFB) with a central wavelength of 1528 nm is tuned to 6548.611 cm−1 and 6548.798 cm−1. The concentration of NH3 is changed from 1×10 −5 to 5×10−5 and is detected under an atmospheric pressure of 18.6 kPa at room temperature. The measurement results show that the linear fit
For data communication between single wavelength laser communication terminals, good isolation between signal transmission and reception is the key to establishing duplex bidirectional laser communication. In this paper, with respect to the transmission and reception scheme of a single laser wavelength laser communication terminal and its overall communication performance, the influence of the surface roughness and contamination level of key components on the isolation performance of the laser communication terminal is analyzed. The model parameters are derived from Harvey model and ABg model, and the designed scheme is analyzed using TracePro software. When the surface roughness or contamination level of
Wet transferring two-dimension (2D) material to a semiconductor substrate is a common method to prepare a hetero-junction photodetector. When preparing to wet transfer a hetero-junction, different preparation details have significant effects on the properties of the hetero-junction formed by the 2D materials and semiconductors. In this paper, a series of identical Gr/Si hetero-junction devices were prepared by the wet transfer method and the relationship between its preparation technique and the voltage-current characteristics was studied in detail. The experimental results show that the gradient drying process can significantly reduce the dark current of the Gr/Si hetero-junction photodetector, the optimal drying temperature peak is 170 °C, and the leakage current basically no longer changes above 170 °C. The surface impurities and residual water in the inter-layer of Gr/Si van der Waals hetero-junction has a significant effect on the leakage current of the hetero-junction. The selective etching and annealing process of a Gr/Si van der Waals hetero-junction can also greatly reduce the leakage current. Therefore, a suitable drying process, selective etching process and annealing process are each necessary in the preparation of a Gr/Si hetero-junction photodetector. These results can give reference to the fabrication of two-dimensional material hetero-junction devices by the wet transfer method.
To improve the field of view of the near-to-eye display imaging system by using the optical waveguide scheme, we propose a method of multiplexing interference fringes with equal periods and variable inclination angles to expand the angular bandwidth of the volume holographic grating for augmented reality glasses coupling element. With this method, the range of incident angles after the expansion mathes the Bragg condition, and the influence of the periodic change on the diffraction angle of the incident light is eliminated, thereby improving the angular response range of the coupling element volume holographic grating and reducing the stray light introduced by grating diffraction. The rigorous coupled wave analysis theory is used to simulate the volume holographic grating multiplexing three interference fringes with equal period and variable inclination angles. Under the TE and TM polarization states at the wavelength of 530 nm, the angular bandwidth of the multiplexed volume holographic grating is 3.6° and 3.3°, respectively. The angular bandwidth of the multiplexed volume holographic grating is twice as large as that of the volume holographic grating recorded with a single interference fringe. This method is expected to break the limitation of the volume holographic grating material on the angular bandwidth of the grating, and can be used to expand the field of view of the near-to-eye display imaging system to achieve lightweight, high-efficiency, large-field-of-view, and low-stray-light augmented reality glasses.
To achieve high-precision and stable tracking performance, a novel disturbance observer for the photoelectric platform based on dual velocity loops is designed. This method aims to minimize the impact of internal friction torque, external carrier disturbances and sensor noise, thereby enhancing the dynamic response performance of the system. Firstly, the mathematical model of double speed-loop is established. By analyzing the signal spectrum and response performance of various sensors, we have chosen the circular grating sensor with low noise and short delay to replace the traditional measuring machine for closing the inner speed loop. Moreover, the Fiber Optic Gyro (FOG) is utilized for the feedback device of the outer speed loop. Then, a disturbance observer is designed based on the gyro speed signal to observe the disturbance compensation residual in the inner speed loop and the outer carrier disturbance signal, while the feed-forward compensation is performed. The experimental results demonstrate that the double speed loop observer control method can reduce the system regulation time to 45% of the original. When subjected to sinusoidal disturbance signals with varying amplitudes (0.25° to 2°) and frequencies (0.25 Hz to 2 Hz), this method effectively improves the system's ability to suppress disturbances and increases the isolation degree from the initial 20.9 dB to 30 dB. The disturbance observer with double speed loops meets the system requirements of rapid response, stable tracking, high precision and strong anti-disturbance ability of the photoelectric tracking platform.
The propagation loss of a waveguide is a key indicator to evaluate the performance of an integrated optical platform. The commonly used cut-back method for measuring propagation loss requires the introduction of the spiral test structure. In order to remove bending loss, the bending radius is usually designed to be larger but this consequently has a larger footprint. In this paper, we suggested a method to simultaneously measure the propagation loss and bending loss of waveguides with a cut-back structure. According to simulations, the bending loss can be exponentially fitted with the bending radius, which can be further simplified as linear fitting between the natural logarithm of the bending loss and bending radius. A genetic algorithm was used to fit the insertion loss curve of the cut-back structure and the propagation losses and bending loss were calculated. With this method, we measured a cut-back structure of lithium niobate waveguide and got a propagation loss of 0.558 dB/cm and a bending loss of 0.698 dB/90° at a radius of 100 μm and wavelength of 1550 nm. Using this method, we can simultaneously measure waveguide propagation loss and bending loss while mitigating the footprint.
An all-optical half-adder is designed by combining the nonlinear effect and linear interference effect of photonic crystals. By dividing the light source into two parts equally, the half adder AND gate and XOR gate are designed separately. The nonlinear effect is used to realize the AND gate with high contrast, and the linear interference effect is used to realize the XOR logic, so that the overall response speed of the device is improved. In this design structure, the device only has threshold requirements for the signal light source power. When the signal power is greater than 51.4 mW/μm2, it has stable output and strong anti-interference ability. The designed contrast of the half adder carry output port is 20.69 dB, and the output port contrast is 20.13 dB. The data transfer rate is 0.75 Tbits/s and the occupied area is 623 μm2.
We propose cosh-Pearcey-Gauss beams with uniform polarization, which are mainly modulated by a hyperbolic cosine function (
The decoherence of temporal quantum correlation is explored in a voltage-controlled quantum dots molecule coupled to a cavity. The temporal correlation in the optoelectronic hybrid system is studied based on Leggett-Garg inequalities. The inequality violations can be interpreted as the existence of temporal quantum correlation during dynamical evolution. The temporal quantum correlation is enhanced by its electron tunnel’s strength and cavity frequency detuning. It is found that there is no temporal quantum correlation in the regions where the values of spatial quantum correlation are zero and the maximal violations occur in conditions with high values of quantum correlation. In contrast, the spatial quantum coherence can still exsit when the value of temporal quantum correlation is zero. The method of open quantum system dynamic is used to study the effect of reservoir memory on temporal quantum correlation. The temporal quantum correlation can be suppressed due to the spontaneous decay of the quantum dots and cavity leakage. These results are helpful for quantum information processing technology in hybrid quantum systems.
To improve the extinction ratio of a polarization beam splitter, we propose a dual-slot ultra-compact polarization splitter (PBS) consisting of a hybrid plasma Horizontal Slot Waveguide (HSW) and a silicon nitride hybrid Vertical Slot Waveguide (VSW). The coating material is silicon dioxide, which can prevent the oxidation of the mixed plasma and also facilitate integration with other devices. The mode characteristics of the HSW and VSW are simulated by using the Finite Element Method (FEM). At suitable HSW and VSW widths, the TE polarization modes in HSW and VSW are phase-matched, while the TM polarization modes are phase mismatched. Therefore, the TE mode in an HSW waveguide is strongly coupled with a VSW waveguide by adopting a dual-slot, while the TM mode directly passes through the HSW waveguide. The results show that PBS achieves an Extinction Ratio (ER) of 35.1 dB and an Insertion Loss (IL) of 0.34 dB for the TE mode at 1.55 μm. For the TM mode, PBS reached 40.9 dB for ER and 2.65 dB for IL. The proposed PBS is designed with 100 nm bandwidth, high ER, and low IL, which can be suitable for photonic integrated circuits (PICs).
A ground-based Doppler Asymmetric Spatial Heterodyne (DASH) interferometer with a high Signal-to-Noise Ratio (SNR) and large etendue (AΩ) with thermal compensation was developed to detect wind field information in the middle atmosphere. The detailed parameters and index of the DASH interferometer were developed for the 557.7 nm oxygen airglow spectral line. The system was designed with an expanded Field Of View (FOV) and thermal compensation. The half-FOV angle reached 2.815°, the etendue was 0.09525 cm2sr, and the system’s SNR was approximately 113.75. Through the thermal compensation design, the final optical path difference with temperature variation (
Taking advantage of the high absorption coefficient, excellent photoelectric properties, and high carrier mobility of Single-Walled Carbon NanoTubes (SWCNTs), high-performance, transparent, all-carbon Field-Effect Transistor (FET) photodetector has been constructed with a high transmittance more than 80% in the visible light band, in which semiconducting SWCNT (sc-SWCNT)/fullerene (C60) heterojunctions as the channel materials, patterned metallic SWCNT film as source/drain electrodes, graphene oxide (GO) as the dielectric layer, and Indium Tin Oxide (ITO) as a transparent gate electrode. The electrical test results show that the photodetector exhibits a strong gate-tunable characteristics, and achieves a broadband spectral response from 405 to 1064 nm in the visible-near infrared spectral region. Under 940 nm illumination with a light density of 5 mW/cm2, the maximum photoelectric responsivity of 18.55 A/W and a specific detectivity of 5.35×1011 Jones can be achieved.
The movement of objects is everywhere in nature. With the rapid development of smart vehicle and 6G mobile communications, the demand for highly Integrated Sensing and Communication (ISAC) devices with communication and motion sensing is increasing. Based on the coexistence of luminescence and detection characteristics of GaN multiple quantum wells, an integrated optoelectronic chip based on the epitaxial GaN multiple quantum wells material on sapphire substrate with sensitive motion detection and visible light communication. The transmitter of the optoelectronic chip transmits a visible light signal in blue band to the moving target object. The visible light signal modulated by the motion of the target object is reflected back to the receiver of the chip to stimulate the changing photocurrent. By analyzing the changing photocurrent, the motion of the target object rotating at different speeds can be detected. The change period of the photocurrent curve is consistent with the rotation period of the target object. We also study the optoelectronic characteristics and the visible light communication performance of the optoelectronic chip. This chip can be used as transceiver terminal of visible light communication system and can also process and transmit the motion detection signals collected by the chip. The optoelectronic chip based on GaN multiple quantum wells materials is a highly integrated ISAC terminal device with application value.
Abstract
FullText HTML
PDF 6268KB

