留言板

尊敬的读者、作者、审稿人, 关于本刊的投稿、审稿、编辑和出版的任何问题, 您可以本页添加留言。我们将尽快给您答复。谢谢您的支持!

姓名
邮箱
手机号码
标题
留言内容
验证码

2024年  17卷  第2期

原创文章
高重频声光门控自吸收免疫激光诱导击穿光谱技术分析研究
陈斐, 王树青, 程年恺, 张婉飞, 张岩, 梁佳慧, 张雷, 王钢, 马晓飞, 刘珍荣, 罗学彬, 叶泽甫, 朱竹军, 尹王保, 肖连团, 贾锁堂
2024, 17(2): 253-262. doi: 10.37188/CO.2023-0147
摘要:

为了消除激光诱导击穿光谱技术(laser-induced breakdown spectroscopy,LIBS)中的自吸收效应,提高元素定量分析的精确度,同时满足工业中便捷分析元素的要求,需将自吸收免疫激光诱导击穿光谱技术(self-absorption free laser-induced breakdown spectroscopy,SAF-LIBS)的装置小型化。本文提出了一项新型的高重频声光门控SAF-LIBS定量分析技术,使用高重频激光器产生准连续的等离子体以增强光谱强度,并将声光调制器(acousto-optic modulator,AOM)作为门控开关,从而使微型CCD光谱仪和AOM能够代替传统大型SAF-LIBS装置中的像增强探测器(intensified charge coupled device,ICCD)和中阶梯型光栅光谱仪,实现自吸收免疫的同时缩小了装置的体积,降低了装置的成本。将该系统参数进行优化选择后,对样品中的Al元素进行了定量分析和预测。实验结果表明,等离子体的特性受激光重复频率的影响进而会影响光谱信号的强度。在1 ~ 50 kHz激光重复频率范围内,Al I 394.4 nm和Al I 396.15 nm的双线强度先增强后减弱,确定最佳的激光重复频率为10 kHz。在不同的光纤采集角度下,Al的双线强度比随延迟时间的增加而减小,在45°处信噪比最高,且在一定的积分时间下,最佳光学薄时间tot为426 ns。在激光重复频率为10 kHz、光纤采集角为45°、延迟时间为400 ns的条件下,对Al元素进行定量分析和预测结果表明,Al元素定标曲线的线性度R2为0.982,平均绝对测量误差相对于单一LIBS的0.8%可以降低至0.18%。定量分析结果与传统大型SAF-LIBS装置的测量精度相持平。因此本高重频声光门控SAF-LIBS装置不仅有效地屏蔽了光学厚等离子体中的连续背景辐射和谱线加宽,同时具备小型化、低成本、高可靠性的优点,有助于推动SAF-LIBS技术由实验室走向工业应用。

基于金属-介质-金属的可调谐窄带完美吸收的研究
王晓坤, 李周, 梁国龙
2024, 17(2): 263-270. doi: 10.37188/CO.2023-0125
摘要:

为了实现窄带完美吸收,本文提出了一种简单的三层金-二氧化硅-金薄膜(MDM)结构。通过电磁波时域差分算法(FDTD)进行模拟仿真和理论计算,详细分析了该结构的可调谐吸收特性,同时建立了理论模型,分析了其中存在的电磁模式以及窄带完美吸收的物理机制。首先,利用电磁波时域差分算法和传输矩阵算法(TMM)对该结构进行了理论计算,详细地分析了各个结构参数对吸收光谱的影响。然后,对该结构形成的窄带完美吸收物理机制进行了分析讨论。最后,利用磁控溅射制备手段,成功制备了三层结构的样片。实验观测到的结果与理论仿真一致。实验结果表明:本文提出的窄带完美吸收结构,最窄带宽约为21 nm,最高吸收可达99.51%,基本实现了窄带完美吸收。本文研究成果为相关应用奠定了基础。

深度相机的测量误差建模及校正
魏瑞丽, 王明军, 周熠铭, 易芳
2024, 17(2): 271-277. doi: 10.37188/CO.2023-0047
摘要:

ToF (Time of Flight)深度相机是获取三维点云数据的重要手段之一,但ToF深度相机受到自身硬件和外部环境的限制,其测量数据存在一定的误差。本文针对ToF深度相机的非系统误差进行研究,通过实验验证了被测目标的颜色、距离和相对运动等因素均会对深度相机获取的数据产生影响,且影响均不相同。本文提出了一种新的测量误差模型对颜色和距离产生的误差进行校正,对于相对运动产生的误差,建立了三维运动模糊函数进行恢复,通过对所建立的校正模型进行数值分析,距离和颜色的残余误差小于4 mm,相对运动所带来的误差小于0.7 mm。本文所做工作改善了ToF深度相机的测量数据的质量,为开展三维点云重建等工作提供了更精准的数据支持。

基于多特征SAD-Census变换的立体匹配算法
吴福培, 黄耿楠, 刘宇豪, 叶玮琳, 李昇平
2024, 17(2): 278-290. doi: 10.37188/CO.2023-0082
摘要:

视差不连续区域和重复纹理区域的误匹配率高一直是影响双目立体匹配测量精度的主要问题,为此,本文提出一种基于多特征融合的立体匹配算法。首先,在代价计算阶段,通过高斯加权法赋予邻域像素点的权值,从而优化绝对差之和(Sum of Absolute Differences,SAD)算法的计算精度。接着,基于Census变换改进二进制链码方式,将邻域内像素的平均灰度值与梯度图像的灰度均值相融合,进而建立左右图像对应点的判断依据并优化其编码长度。然后,构建基于十字交叉法与改进的引导滤波器相融合的聚合方法,从而实现视差值再分配,以降低误匹配率。最后,通过赢家通吃(Winner Take All,WTA)算法获取初始视差,并采用左右一致性检测方法及亚像素法提高匹配精度,从而获取最终的视差结果。实验结果表明,在Middlebury数据集的测试中,所提SAD-Census算法的平均非遮挡区域和全部区域的误匹配率为分别为2.67%和5.69%,测量200~900 mm距离的平均误差小于2%;而实际三维测量的最大误差为1.5%。实验结果检验了所提算法的有效性和可靠性。

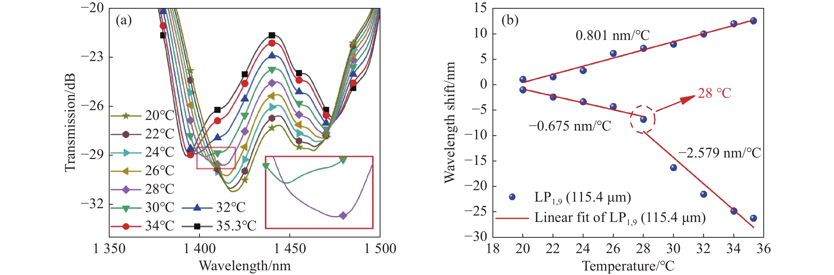
基于双峰谐振长周期光纤光栅的海水盐度传感器
杜超, 赵爽, 宋桦可, 王秋雨, 贾斌, 张丽, 崔丽琴, 赵强, 邓霄
2024, 17(2): 291-299. doi: 10.37188/CO.2023-0101
摘要:

为研制高灵敏海水盐度传感器,本文基于CO2激光技术成功制备出一种工作在色散转折点(DTP)附近的长周期光纤光栅(LPFG)。首先,利用CO2激光器在80 μm细单模光纤上制备出工作在DTP附近的LPFG,证明了采用CO2激光微加工技术制备较短周期LPFG的可能性。其次,通过调控CO2激光器的制备周期,使高阶包层模式LP1,9工作在DTP附近,从而显著提高了LPFG的折射率灵敏度。在双峰谐振增敏效应的作用下,当海水盐度从5.001‰变化到39.996‰时,光栅周期为115.4 μm的双峰谐振LPFG平均灵敏度高达0.279 nm/‰。研究结果表明,本文制备的LPFG海水盐度传感器具有谐振损耗大和灵敏度高的优点,其在海水盐度监测领域具有较好的应用前景。

一维阵列涡旋光束在海面大气中的传输特性
侯政诚, 张明明, 白胜闯, 厉淑贞, 刘俊, 胡友友
2024, 17(2): 300-311. doi: 10.37188/CO.2023-0094
摘要:

相较于单涡旋光束,涡旋阵列光束能够扩充信息的传输容量,研究其传输特性对其光通信应用具有重要意义。本文选取阶数为n的螺旋因斯-高斯(HIGn,n)模式,采用海上大气折射率变换的功率谱,模拟海面大气湍流。基于相位屏法研究了一维阵列涡旋光束在海面大气湍流中光强、相位、闪烁因子和质心漂移的变化情况。结果表明:(1)HIGn,n模式的闪烁因子和质心漂移标准差随湍流强度以及大气湍流内尺度的增加而增加;(2)n为奇数的HIGn,n模式的闪烁因子随着阶数的增大而减小,且高于n为偶数的HIGn,n模式;(3)阶数n>1的HIGn,n模式比LG0,1模式具有更好的稳定性;(4)阶数越高,HIGn,n模式的质心漂移标准差越小。其次,选取线性阵列涡旋光束(LAVBs)进行对比,研究得出虽然LAVBs比HIG光束具有更好的传输性能,但由于HIG光束具有独特的结构,故可适用于不同的应用场景。最后,分析了椭圆参量和椭圆环数对HIG模式传输的影响,结果表明适当地增大椭圆参量或椭圆环数有助于提高HIG模式的抗湍流能力。本文研究结果对涡旋光束的海上应用具有指导意义。

光纤法珀传感器的改进型相位生成载波法解调
周朕蕊, 张国强, 邱宗甲, 郭少朋, 李群, 邵剑, 吴鹏, 陆云才
2024, 17(2): 312-323. doi: 10.37188/CO.2023-0108
摘要:

为解决相位生成载波-反正切解调算法(PGC-Atan)的非线性失真问题,搭建了基于改进型PGC-Atan算法的非本征型法珀传感器(EFPI)解调系统。首先,理论分析了载波相位调制深度(C)偏离最优值、伴生调幅、载波相位延迟等非线性因素对经典PGC-Atan算法中参与反正切运算的正弦与余弦两路信号的影响。然后,针对外调制或伴生调幅较小的情况,提出了一种基于系数补偿的改进型PGC-Atan算法(PGC-CC-Atan)。该算法通过构造与C值和载波相位延迟有关的系数,消除反正切运算中的非线性参数。针对内调制情况,提出了一种基于椭圆拟合的改进型PGC-Atan算法(PGC-EF-Atan)。该算法通过基于分块矩阵的最小二乘法拟合椭圆并提取3个椭圆参数,进而将受非线性因素影响的正弦与余弦两路信号校正为正交信号。最后,通过仿真验证了改进型算法的正确性,并采用高调制特性的垂直腔面发射激光器(VCSEL)和常规腔长的EFPI等搭建PGC解调系统,对比经典PGC-Atan算法与两种改进型算法的解调性能,证实了改进型算法非线性失真抑制的有效性。实验结果表明:一定C值范围内,两种改进型算法可在非线性因素影响下有效解调。PGC-EF-Atan算法相较于PGC-CC-Atan算法,解调信纳比提升了11.602 dB,总谐波失真降低了10.951%。两种改进型算法中,PGC-EF-Atan算法对非线性失真的抑制效果更好,且解调线性度良好,准确度高。

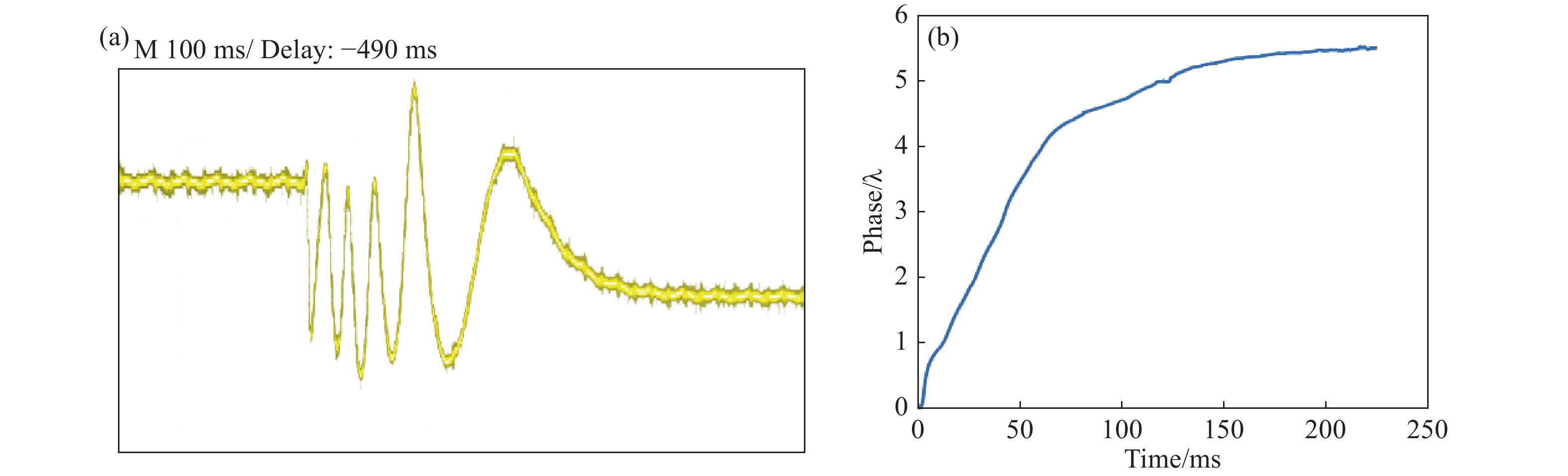
基于掩模光刻的液晶波前校正器设计与制备
杜莹, 陈梅蕊, 刘禹彤, 曹宗新, 毛红敏, 李小平, 孙会娟, 曹召良
2024, 17(2): 324-333. doi: 10.37188/CO.2023-0137
摘要:

液晶波前校正器通常基于液晶显示器的工艺制备而成,因此其研制成本高、定制难度大。本文基于掩模光刻法制备液晶波前校正器,以实现液晶波前校正器的专用化、低成本研制。基于掩模光刻技术设计并制备了91像素的无源液晶驱动电极,并封装成液晶光学校正单元。设计并制备了驱动连接电路板,实现了液晶光学驱动单元和驱动电路板的匹配对接。对液晶波前校正器响应特性进行检测。结果显示,其相位调制量为5.5个波长,响应时间为224 ms。利用Zygo干涉仪进行球面波的产生和静态倾斜像差的校正。结果显示,其可以产生正负离焦波前,且对水平倾斜像差校正后,Zernike多项式中第一项的值从1.18降至0.16,校正幅度达86%,实现了像差的有效校正。本文的研究工作可为液晶波前校正器的研制提供新思路,进而拓宽其应用领域和场景。

星间通信系统高精度分光镜的研制
王振宇, 付秀华, 林兆文, 黄健山, 魏雨君, 吴桂青, 潘永刚, 董所涛, 王奔
2024, 17(2): 334-341. doi: 10.37188/CO.2023-0100
摘要:

随着星间通信系统的迅速发展,数据传输的精度要求不断提高。分光镜作为系统的核心元件,其光谱特性和面形精度直接影响整个系统的传输精度。本文基于薄膜干涉理论,选取Ta2O5与SiO2作为高低折射率膜层材料进行膜系设计,采用电子束蒸发的方式在石英基板上制备高精度分光镜。同时根据膜层应力补偿原理建立面形修正模型,修正分光镜面形。光谱分析仪检测结果显示,分光镜在入射角度为21.5°~23.5°内,1563 nm透过率大于98%,1540 nm反射率大于99%。激光干涉仪检测结果显示,分光镜反射面形精度RMS由λ/10修正至λ/90(λ=632.8 nm),透过面形精度RMS为λ/90。

可见光波段多路激光合束及闭环校正技术研究
徐新行, 李高生, 谢兵, 韩旭东
2024, 17(2): 342-353. doi: 10.37188/CO.2023-0077
摘要:

为了实现可见光波段多路不同波长激光的周期性闭环校正,设计了一种具有光束指向和位置偏差独立监测与调节的激光合束系统。首先,根据系统的应用需求,提出了合束系统的设计指标与整体合束方案。然后,在合束方案的基础上,建立了合束系统的光束控制模型,并通过数值仿真得到了合束系统光束控制的解算方法。闭环合束系统通过光束指向和位置监测装置分别实现合束激光指向偏差与位置偏差的独立监测,并根据监测结果进行光束调节装置控制量的解算;进而通过两维摆镜和一维平移台分别实现光束指向和位置偏差的独立高效调节。最后,采用两路不同波长的激光束,配合光束监测与调节装置,搭建了闭环合束模拟实验平台,对周期性闭环合束系统的合束效果进行了验证。实验结果表明:在长时间的工作过程中,两路激光均实现了与基准光路的精密合束,合束指向精度优于±7 μrad,位置精度优于±0.84 mm。本研究所组建的激光合束系统不仅具有合束精度高、校正速度快、光路扩展性强的优势,而且可实现激光束的周期性闭环校正,能够有效保证合束激光的长期工作稳定性。

纸膜双层缺陷检测的视觉成像光场设计
蒋仕飞, 张兆国, 王法安, 解开婷, 王成琳, 李治
2024, 17(2): 354-365. doi: 10.37188/CO.2023-0134
摘要:

为实现包装盒纸质基底层和透明膜层缺陷的同步检测,开展了对纸和膜缺陷的同步成像研究。首先,分别建立了标准球面积分光场、椭球面积分光场和弧面积分光场模型,并利用COMSOL Multiphysics 5.6对3类光场进行射线仿真,对比分析了球面积分光场下射线角度均匀性及辐照均匀性,通过正交仿真优化椭球面积分光场参数;其次,在椭球面积分光场环境、亮场前打光环境、暗场前打光环境下对包装盒成像。与此同时,对包装盒的油污、抵触、开口、泡皱、破损5项常见缺陷依次进行物理检测和机器视觉检测,验证缺陷成像的有效性。试验结果表明,在椭球面积分光场下成像,图像对纸质基底层缺陷特征、透明膜层缺陷特征均有较好的呈现效果,图像上油污、抵触、开口、泡皱、破损的物理检出率分别为96.2%、92.5%、100%、95%、92%,异常检出率分别为98.6%、97.5%、100%、100%、98.4%,缺陷类别检出率分别为97.6%、96%、100%、97%、96%。研究结果表明,椭球面积分光场光路角度和辐照强度均匀,覆透明膜包装盒的缺陷特征呈现清晰,满足工业生产的检测要求。

应用于高能激光器的XY离焦像差校正方法
冯亚飞, 韦承甫, 任晓明, 郭建增, 王杰
2024, 17(2): 366-373. doi: 10.37188/CO.2023-0142
摘要:

针对高能激光器出光过程中出现的大量离焦和0°像散低阶像差现象,提出了基于哈特曼波前传感器和二维整形光路的XY离焦像差校正方法。首先,通过对Zernike多项式的离焦项和0°像散项进行线性组合得到XY离焦像差的表达式,该XY离焦像差系数的大小可直接表征X离焦和Y离焦的波前PV值。同时,通过微调高能激光器中二维整形光路中的镜子间距,可实现激光器输出光束XY离焦波面的补偿。因此,首先利用哈特曼波前传感器提取出光束的XY离焦像差系数大小,而后再根据XY离焦像差系数的大小实时闭环微调二维整形光路中的镜子间距,从而实现XY离焦像差的校正,改善输出光束的光束质量。实验结果表明,该方法可有效地将高能激光器输出光束XY离焦量的PV值由5.2 μm和1.1 μm校正到0.5 μm以下,相应的光束质量β因子由3.1降到1.8,光束质量得到明显改善。

大孔径太赫兹波成像光学系统设计
曹一青, 沈志娟
2024, 17(2): 374-381. doi: 10.37188/CO.2023-0129
摘要:

太赫兹波具有高穿透性、低能性及指纹谱性等特征,被广泛应用于探测领域,因此,设计太赫兹波成像光学系统具有重要的意义和广泛的应用前景。首先,以四块透镜构成的天塞物镜为参考结构,应用近轴光学系统像差理论构建系统像差平衡方程,给出了系统初始结构参数求解函数和方法,再结合光学设计软件进一步校正系统像差,最终设计了一种用于太赫兹波探测的大孔径光学成像系统。该光学系统由4块同轴折射透镜构成,焦距为70 mm,F数为1.4,全视场角为8°,在奈奎斯特频率10 lp/mm处全视场角范围内的调制传递函数(MTF)值均大于0.32,各视场内的弥散斑均方根(RMS)半径均小于艾里斑半径。最后对系统各种公差进行分析和讨论。设计结果表明,本文设计的太赫兹波探测光学成像系统具有孔径大、结构简单且紧凑、成像质量较好且加工性易于实现等特点,满足设计要求,它在太赫兹波段高分辨率探测领域具有重要应用价值。

基于单传感器的三波段共口径光学系统设计
张坤, 李京宸, 孙思, 谌庆荣, 杨帆
2024, 17(2): 382-389. doi: 10.37188/CO.2023-0098
摘要:

针对现有多波段成像系统体积大、功耗高和集成化设计困难的问题,本文提出了一种基于单传感器的三波段共口径成像光学系统的设计方法。首先,在光学系统的光阑处设计1×2多波段透镜阵列,把可见光波段和短波红外波段同时成像在一个像平面上,并把两个波段中心波长的成像位置偏差控制在一个像元内以实现双波段融合成像。然后,针对双波段成像衍射极限不同的问题,提出分通道透镜阵列的离轴偏移量和通光口径大小联合优化方法,并采用双电动光阑高速控制三个成像通道的切换速度。最后,设计了一个基于单传感器的焦距为30 mm,工作波段分别为480~900 nm、900~1700 nm和480~1700 nm的三波段共口径光学系统。设计及分析结果表明该系统具有成像质量好、结构紧凑、无运动光学元件、成像波段切换速度快等优点。

大口径环形分段光学系统基准构建方法
安其昌, 吴小霞, 刘欣悦, 王勋, 李洪文
2024, 17(2): 390-397. doi: 10.37188/CO.2023-0149
摘要:

为了更好地对大口径分段望远镜进行集成检测与稳定性保持基准构建,本文提出一种大口径环形分段光学系统基准构建方法。首先,采用局部光瞳投射的方式实现光瞳对准映射;其次,利用微透镜阵列构建系统共焦空间基准;之后,基于环带整体调控模式,采用共焦与曲率半径联合分析,实现曲率半径与系统对准的共同调节;最后,利用白光干涉所形成的条纹包络进行粗共相探测,并利用通道光谱方法实现粗共相与精共相间的精度衔接,空间共焦基准定位精度优于125 μm,共相基准覆盖范围优于20 μm,精度优于0.5 μm,光谱基准不确定度优于5%。实现了不同时空特征扰动的分层次、多模态抑制,利用以上共基准原位测量新方法有效提升了光学系统原位计量检测精度并缩短了溯源链长度,增加了检测效率与准确度。

环形布设光纤布拉格光栅的三维曲面形状重构
王彦, 徐浩雨, 汪俊亮, 朱伟, 蒋超
2024, 17(2): 398-408. doi: 10.37188/CO.2023-0088
摘要:

为了提高柔性机器人抓握传感中掌心表面的重构精度,本文基于COMSOL仿真,在436 mm×436 mm×2 mm聚丙烯板上,采用7只经聚二甲基硅氧烷(PDMS)封装的光纤光栅(FBG)柔性传感器,选取环形布设的方式,在板末端中心与两角分别受力的情况下,使用光纤光栅解调仪采集实验中的传感器数据,并通过三次样条插值法进行连续化。设定数个平面Y与拟合圆环相交,计算过点函数获得三维曲面点集,实现了空间曲面的拟合可视化显示。在曲面末端中心受力时,板末端位移最小相对误差为0.549%,最大相对误差为8.300%,最小绝对误差为0.051 cm,最大绝对误差为1.255 cm,板末端两角受力时,板面重构末端位移最小相对误差为2.546%,最大相对误差为14.289%,最小绝对误差为0.005 cm,最大绝对误差为0.729 cm。实验结果为柔性机器人掌心抓握传感提供了应用基础。

小尺寸零件的无标志点扫描测量方法
莫彩利, 王立忠, 任茂栋, 赵建博, 王森, 周皓骏
2024, 17(2): 409-422. doi: 10.37188/CO.2023-0103
摘要:

小尺寸零件的表面积小、结构复杂,传统标志点拼接方法需要在零件表面人工粘贴标志点,导致表面的测量数据缺失出现孔洞。基于特征的点云拼接方法要求零件表面具有易区分的几何或距离特征,不适用于包含重复性特征的回转体零件。本文提出一种基于机械拼接的无标志点扫描测量方法,不需要粘贴标志点,不依赖于零件表面特征。首先,采用基于摄影测量的相机标定方法得到相机的高精度内外参数,重建标定板上靶点的高精度三维坐标,接着通过跟踪编码靶点的位置建立转台不同转角对应的旋转矩阵,进而解算出转轴方向向量和轴上定点坐标,实现转轴和相机的同步标定。在完成两个转轴位姿精确标定的基础上,利用转台转角构建旋转拼接矩阵,实现多视角点云粗配准。最后,基于法向迭代最近点算法(Normal Iterative Closest Point, NICP)完成点云的精配准。实验结果表明:使用靶点跟踪法标定后的两转轴夹角误差较传统的标准球拟合法低0.023°,标定后测量标准球的整体平均尺寸误差小于0.012 mm;在小尺寸零件自动化测量时,机械拼接方法在精配准后的点云拼接效果与标志点拼接方法相近,且拼接稳定性更高。机械拼接方法适用于无法粘贴标记点的小尺寸零件三维形貌测量场景。

融合全局和局部信息的铁谱图像自动对焦算法
刘信良, 张龙泉, 冷晟, 王静秋, 王晓雷
2024, 17(2): 423-434. doi: 10.37188/CO.2023-0124
摘要:

针对铁谱图像获取时人工对焦误差大、速度慢等问题,提出了一种融合全局信息和局部信息的铁谱图像自动对焦方法。此方法分为两个阶段:全局对焦阶段利用卷积神经网络(Convolutional Neural Networks,CNN)提取整幅图像的特征向量,并利用门控循环单元(Gate Recurrent Unit,GRU)融合对焦过程提取的特征,预测当前全局离焦距离,起到粗对焦的作用;局部对焦阶段提取磨粒的特征向量,利用GRU融合当前特征与前一轮对焦提取的特征,并依据最厚磨粒信息,预测当前磨粒离焦距离,起到精对焦的作用。同时,为了提高对焦准确率,提出了结合拉普拉斯梯度的对焦方向判定法。实验结果表明,此算法在测试集上的对焦误差为2.51 μm,当景深为2.0 μm时对焦准确率为80.1%,平均对焦时间为0.771 s。本文提出的自动对焦方法具有较好的性能,为铁谱图像自动准确采集提供了技术支持。

正余弦变换和双调滤波相结合的剪切散斑干涉图像去噪方法
吴荣, 陆阳, 欧阳爱国
2024, 17(2): 435-443. doi: 10.37188/CO.2023-0072
摘要:

剪切散斑干涉是一种非接触式、全场高精度光学变形测量技术,由于环境等因素导致采集的散斑条纹图像存在大量随机噪声,进而影响测量精度。传统去噪方法在滤除噪声的同时,容易导致条纹边缘信息的丢失甚至破坏。针对该问题,本文提出基于正余弦变换和双调滤波相结合的剪切散斑干涉图像去噪方法。该方法首先对相位条纹图进行正余弦变换获得两幅图像,其次对这两幅图像分别运用双调滤波方法进行去噪,最后将滤波后的两幅图像合并为最终的相位条纹图。实验结果表明:经本文方法滤波后的相位图散斑抑制指数为0.999,平均保持指数为2.995,证明该方法较传统去噪方法能更好地改善相位图质量,且能较大程度地保留相位条纹的细节及边缘信息。

一种基于前向成像模型的光声层析图像重建方法
程丽君, 孙正, 孙美晨, 侯英飒
2024, 17(2): 444-455. doi: 10.37188/CO.2023-0114
摘要:

在光声层析成像(photoacoustic tomography,PAT)时,不均匀光通量分布、组织复杂的光学和声学特性以及超声探测器的非理想特性等因素会导致重建图像质量下降。本文考虑不均匀光通量、非定常声速、超声探测器的空间脉冲响应和电脉冲响应、有限角度扫描和稀疏采样等因素的影响,建立了前向成像模型。通过交替优化求解成像模型的逆问题,实现光吸收能量分布图和声速分布图的同时重建。仿真、仿体和在体实验结果表明,与反投影法、时间反演法和短滞后空间相干法相比,该方法重建图像的结构相似度和峰值信噪比可分别提高约83%、56%、22%和80%、68%、58%。由上述结果可知,对非理想成像场景采用该方法重建的图像质量有显著提高。

基于二维光子晶体非线性效应的全光逻辑门
吴蓉, 杨建业, 张皓辰
2024, 17(2): 456-467. doi: 10.37188/CO.EN-2023-0021
摘要:

基于光子晶体非线性效应和线性干涉效应设计了全光异或、非和与逻辑门。应用反演定理拆分较复杂逻辑表达式,通过级联组合设计了全光或非门和四输入与门逻辑器件。本文利用时域有限差分法进行仿真模拟计算,对非线性环形腔的耦合特性进行了分析,然后在信号波长为1.47 μm条件下设计了上述逻辑器件,且通过可扩展输入端可设计出更多输入的器件。分析了信号功率对四输入与逻辑器件逻辑功能的影响。结果表明信号光源功率在1.1 W/μm2到3.4 W/μm2之间时,输出端的逻辑对比度均大于10 dB。所设计器件响应时间最短仅1.6 ps,占用面积小,易于扩展与集成,在光处理系统和集成光路中有较大应用前景。

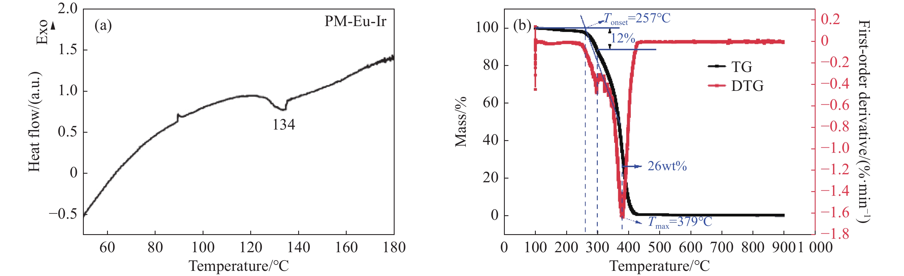
可用于近紫外LED芯片的铕-铱双金属配合物红光共聚荧光粉
王子豪, 杨亚敏, 张爱琴, 贾虎生, 许并社, 贾静
2024, 17(2): 468-480. doi: 10.37188/CO.EN-2023-0023
摘要:

本研究以Ir配合物FIrPic作为Eu离子的配体,合成了一种新的Eu-Ir双金属配合物Eu(FIrPic)2(Phen)UA,并通过自由基聚合成功制备了红色发光荧光共聚物PM-Eu-Ir,适用于商用近紫外芯片型LED。在不影响 Eu3+ 离子的荧光发射特性的前提下,加入 Ir-配合物可以有效地敏化 Eu3+ 离子,增强其对 400 nm紫外光的吸收。在 365 nm 紫外光激发下,共聚物 PM-Eu-Ir 在 612 nm 处显示出最强的发射峰,其 CIE 坐标为(0.461,0.254),这与 365 nm 近紫外芯片非常吻合。红色共聚荧光粉 PM-Eu-Ir 的微观形貌为典型的多层空间网络结构,除了表现出明显的红光发射和 634.54 μs 的荧光寿命外,还在 25~250 °C 的宽温范围内具有优异的热稳定性。使用共聚物 PM-Eu-Ir 制作的 LED 发出的红光亮度为 149800 cd/m2。研究结果表明,所制备的共聚荧光粉可作为红光元件用于制造近紫外芯片白光 LED。

分数薛定谔方程中燕尾高斯光束的可控反转与聚焦特性
黄宏伟, 程科, 杨嶒浩, 姚纳
2024, 17(2): 481-492. doi: 10.37188/CO.EN-2023-0018
摘要:

在光场中引入一维燕尾突变函数,利用分步傅立叶方法研究了燕尾高斯(SG)光束在分数薛定谔方程(FSE)中的演化动力学,详细讨论了线性势、抛物线势、高斯势及无势的情况。在无势情况下,SG光束会因群延迟的变化而分裂成两个子光束,并且分裂轨迹会随着Lévy指数的增大出现弯曲。在线性势下,SG光束出现了周期性反转和聚焦行为,Lévy指数和线性势系数分别影响聚焦点峰值强度和反转及聚焦的演化周期,其反转和聚焦周期距离只受线性势影响而与Lévy指数无关。在抛物线势情况下,具有较大Lévy指数的SG光束的主瓣和旁瓣反转和聚焦从杂乱转变为周期性演化,其反转聚焦位置由抛物线势系数和Lévy指数共同决定。在高斯势中,光束的演化在势垒的约束下由于反射主瓣和旁瓣的干扰,窄势垒的周期性反转和聚焦出现杂乱混沌现象,而对于宽势垒,由于旁瓣减弱,周期性演化变得清晰。本文研究结果为利用高阶燕尾光波场实现光调制器和光开关提供了可能。

全圆锥入射下基于一维共振波导光栅的入射角调谐滤波器
樊丽娜, 沙金巧, 曹召良
2024, 17(2): 493-500. doi: 10.37188/CO.EN-2023-0030
摘要:

本文提出并展示了一种全圆锥入射下基于一维共振波导光栅的入射角调谐滤波器。通过优化光栅层厚度,使其能够在支持TE导模的同时抑制TM导模。本文设计的滤波器呈现出可调谐的单一反射峰, 峰值反射率理论上可达100%。当入射角改变时,共振波长可以由642.5 nm调节至484.6 nm。该反射峰是由一级衍射波与TE导模(基模)之间的共振效应所产生的。同样地,通过按比例增加光栅层的厚度和周期可实现应用于更高动态范围的可调谐滤波器。