2024年 17卷 第1期
条纹结构光技术是近年来发展迅速的非接触式测量方法,为机械加工在机检测提供了新的解决方案。由于加工环境光线复杂且金属零件本身具有高反光的特性,造成结构光在机检测的精度降低。将高动态范围(High Dynamic Range,HDR)技术应用于结构光检测中,可抑制高反光的影响,实现金属零件在复杂场景的测量。本文首先介绍了结构光测量原理,总结出HDR结构光在机检测面临的难点;其次,对HDR结构光技术进行了全面综述,以机械加工在机检测为背景,对基于硬件设备的HDR技术和基于条纹算法的HDR技术分别进行了归纳分析;然后,根据在机检测的条件需求,对各类技术进行总结,并比较不同方法的优缺点和在机检测的适用性;最后,结合近年来先进制造技术和精密测量的研究热点,对潜在应用进行分析,提出技术展望。
激光诱导击穿光谱技术(Laser-Induced Breakdown Spectroscopy,LIBS)是利用强脉冲激光与物质相互作用所产生的等离子体光谱来实现对物质组成元素定性和定量分析的一种新方法。在脉冲激光诱导等离子体的过程中,不同的激光参数(能量、脉宽、波长)、检测过程中的环境条件以及材料本身的特性等,对激光诱导等离子体的物理机制都有不同程度的影响,进而影响LIBS定量分析的结果。本文综述了现阶段LIBS技术中包括LIBS基本原理、激光参数区别、环境和材料特性差异所涉及的物理机制。为深入理解激光与物质相互作用、提升LIBS检测能力提供了依据。
基于多纵模振荡种子源的窄线宽光纤激光器具有光路简单、结构紧凑、可靠性高、成本低等特点,在实际工程应用以及在空间受限的载荷平台上有着显著优势,是高功率光谱合成的理想子束模块。受自脉冲效应的影响,多纵模振荡种子源的时域特性较差,导致放大过程中会产生较强的光谱展宽与受激拉曼散射效应。这限制了其输出功率的进一步提升并降低了其光谱纯度。本文首先介绍了4种常见的窄线宽种子源,并重点分析了多纵模振荡种子源中自脉冲效应产生的机理及抑制方法,对优化多纵模振荡种子源和放大器的关键技术进行了详细介绍,归纳总结了近几年的技术突破与研究成果,对未来的发展方向进行了展望分析。本文研究对基于多纵模振荡种子源的窄线宽激光器的功率提升和光谱优化提供一定思路。
本文提出了一种离轴超构透镜的设计方法,并分析了不同数值孔径、离轴角度等参数对于离轴超构透镜的光谱分辨率、聚焦效率以及仿真结果的影响。利用Lumerical软件分别仿真了参数为
为缩短12寸晶圆检测成像系统的轴向和径向尺寸,提出一种小角度棱镜折转光路与超短物像距镜头相结合的解决方法。设计优于1/12
长波红外变焦光学系统相对于中波红外变焦光学系统存在可用材料少、系统高低温环境无热化难度大等难题。本文采用机械补偿变焦技术实现光学多视场变焦,利用主动补偿的消热差技术使系统在−40 °C~+65 °C温度范围内能够清晰成像,实现四片透镜架构的制冷型长波红外四视场光学系统设计。该光学系统四视场焦距分别为25 mm、109 mm、275 mm、400 mm,变倍比为15,光学系统包络尺寸为268 mm(长)×200 mm(宽),光学零件总质量为618 g。该光学系统具有质量轻、性能高、成本低等SWaP-C特征,在辅助导航、搜索、跟踪等安防领域中具有较大应用潜力。
常规成像光谱仪一般变倍比较低,不利于大视场长狭缝多通道光学系统的扩展应用,此外,空间遥感中紫外波段的辐射能量较低,需要成像光谱仪具有更小的
本文提出了一种基于Micro LED阵列的车灯投影方案,设计了以像素尺寸为80 μm×80 μm的200×150白光Micro LED阵列作为显示光源,视场角为16°×34°的车灯投影光学系统,并对物面倾斜角度和光学系统结构进行了优化。此外,分别采用反向畸变处理方法和像素灰度调制方法用以解决车灯投影图像的梯形畸变和照度均匀性问题,并搭建了投影实验平台,对图像校正方法进行了验证。实验结果表明:校正后图像梯形畸变系数
紫外激光器是研究紫外共振拉曼光谱的重要工具,拉曼信号可以通过共振拉曼效应得到增强,从而降低拉曼测量的探测极限。本文研究了一种输出波长为228 nm的窄脉宽全固态紫外激光器。首先,以Nd:YVO4作为增益介质,采用电光调Q腔倒空技术,实现了纳秒量级914 nm基频光输出。然后,经过偏硼酸锂(LBO)晶体产生二次谐波,最终经偏硼酸钡(BBO)晶体获得四次谐波228 nm紫外激光。在此基础上,进一步研究了不同重复频率时基频光和倍频光功率的变化规律,优化了紫外激光器的输出效率。实验结果表明:当总抽运功率为30 W时,在10 kHz重复频率下,可获得最高平均功率为84 mW的228 nm紫外激光输出。228 nm激光在5~25 kHz重复频率范围内连续可调,脉冲宽度保持在2.8~2.9 ns,能够满足紫外光谱检测技术领域的应用需求。
为提供高品质、智能健康的照明光源,基于三基色LED光源构建了线性调光混合照明系统,并提出一种调光调色的优化方法。混合光源的光色度和光强度分别用色温和明度等级来设定,使得混合照明效果更加符合“人因照明”的需求。在系统的智能优化配光过程中,将色温转化为CIE
相位提取与深度估计是结构光三维测量中的重点环节,目前传统方法在结构光相位提取与深度估计方面存在效率不高、结果不够鲁棒等问题。为了提高深度学习结构光的重建效果,本文提出了一种基于轻型自限制注意力(Light Self-Limited-Attention,LSLA)的结构光相位及深度估计混合网络,即构建一种CNN-Transformer的混合模块,并将构建的混合模块放入U型架构中,实现CNN与Transformer的优势互补。将所提出的网络在结构光相位估计和结构光深度估计两个任务上进行实验,并和其他网络进行对比。实验结果表明:相比其他网络,本文所提出的网络在相位估计和深度估计的细节处理上更加精细,在结构光相位估计实验中,精度最高提升31%;在结构光深度估计实验中,精度最高提升26%。该方法提高了深度神经网络在结构光相位估计及深度估计的准确性。
本文旨在探索涌泉蜜桔糖度的最优检测位置和最佳预测模型,以便为蜜桔糖度检测分级提供理论依据。本文利用波长为390.2~981.3 nm的高光谱成像系统对涌泉蜜桔糖度最佳检测位置进行研究,将涌泉蜜桔的花萼、果茎、赤道和全局的光谱信息与其对应部位的糖度结合,建立其预测模型。使用标准正态变量变换(SNV)、多元散射校正(MSC)、基线校准(Baseline)和SG平滑(Savitzkv-Golay)4种预处理方法对不同部位的原始光谱进行预处理,用预处理后的光谱数据建立偏最小二乘回归(PLSR)和最小二乘支持向量机(LSSVM)模型。找出蜜桔不同部位的最佳预处理方式,对经过最佳预处理后的光谱数据采用竞争性自适应重加权算法(CARS)和无信息变量消除法(UVE)进行特征波长筛选。最后,用筛选后的光谱数据建立PLSR和LSSVM模型并进行分析比较。研究结果表明,全局的MSC-CARS-LSSVM模型预测效果最佳,其预测集相关系数
为了实现凹非球面的快速、高精度与通用化检测,文中提出了一种将非球面当做球面,直接采用干涉仪检测的非零位干涉检测方法,并结合相应的数据处理方法,获得非球面的面形误差检测结果。首先,介绍了该方法的检测原理,建立了回程误差、调整误差的计算与去除模型,研究了面形误差的数据处理方法。然后,以两个不同非球面度的凹非球面为例,对其回程误差和调整误差进行了仿真计算,验证了该方法的有效性。最后,搭建了凹非球面的非零位检测实验装置,成功测量得到其面形误差。通过与自准直零位检测法或LUPHOScan轮廓测量法检测结果对比发现,两种方法测量得到的面形分布和评价指标具有高度一致性,验证了该检测方法的正确性。该检测方法在保证高精度测量的同时兼备一定的通用性与便捷性,为凹非球面的通用化检测提供了一种有效手段。
生物组织散射引起的光学像差限制了光学系统的成像性能。本文研究了基于间接波前整形的近红外二区荧光共聚焦成像技术。首先,制备了高效率近红外二区荧光探针,降低该波段生物组织的散射有助于实现高对比度的活体组织成像。其次,研究了基于间接波前测量的自适应光学方法,将间接波前整形技术应用于激光扫描共聚焦显微系统中,以实现对生物组织引起的光学像差的测量与补偿,获得生物组织的高信噪比成像。最后,对基于间接波前整形的近红外二区荧光共聚焦成像系统开展了相关实验。实验结果表明,本系统对空气平板、散射介质和小鼠颅骨等产生的像差具有良好的补偿效果,最终信号强度较初始值分别提升了1.47、1.95和2.85倍,显著提升了最终的成像质量。
细胞内镜需实现最大倍率约500倍的连续放大成像,受光纤照明及杂散光的影响,其图像存在不均匀光照,且光照分布会随放大倍率的变化而变化。这会影响医生对病灶的观察及判断。为此,本文提出一种基于细胞内镜光照模型的图像不均匀光照校正算法。根据图像信息由光照分量和反射分量组成这一基础,该算法通过卷积神经网络学习图像的光照分量,并基于二维Gamma函数实现不均匀光照校正。实验表明,经本文方法进行不均匀光照校正后,图像的光照分量平均梯度和离散熵分别为0.22和7.89,优于自适应直方图均衡化、同态滤波和单尺度Retinex等传统方法以及基于深度学习的WSI-FCN算法。
遥感卫星在国防和民用探测等领域发挥着重要作用,而大气湍流严重影响高分辨率遥感卫星的成像质量。本文重点研究了遥感卫星对地探测时,相机口径、卫星轨高和大气湍流强度对空间相机成像质量的影响。首先,基于球面波传输模型和Kolmogorov湍流理论,针对空对地探测湍流波前进行仿真。然后,分析畸变波前随相机口径、卫星轨高和大气相干长度的变化规律,并推导出普适公式。在此基础上,进一步推导出空间相机成像分辨率随相机口径、卫星轨高和大气相干长度变化的计算公式。最后,研究了大气湍流对空间相机调制传递函数(MTF)的影响,并以MTF=0.15为基准,仿真分析了MTF相对误差随相机口径、卫星轨高和大气相干长度的变化规律。本研究为高分辨率遥感卫星的设计、分析和评估提供理论依据。
钙钛矿材料具有优异的光学性能和较高的载流子迁移率,成为空间太阳能电池领域极具竞争力的材料。然而空间粒子辐照容易改变材料结构和光学性能,导致其性能下降。为了探究电子辐照对CsPbBr3材料结构与光学特性的影响规律,本文开展了CsPbBr3材料电子辐照实验,利用高分辨透射电子显微镜表征CsPbBr3纳米晶微观形貌,并通过X射线衍射分析和X射线光电子能谱分析进一步探究晶体结构的变化趋势。研究发现:电子辐照后CsPbBr3纳米晶形貌变得粗糙,尺寸明显减小,并且纳米晶在高剂量电子辐照下变得紧凑,形成纳米团簇。其次,通过稳态紫外-可见吸收光谱图与光致发光谱图表征CsPbBr3材料的光学性能,并利用第一性原理计算分析辐照后晶格膨胀带来的带隙变化。研究证明电子辐照后纳米晶颜色加深,影响钙钛矿的透光率,进而增强了样品对光的吸收性能,同时电子辐照能够分解CsPbBr3纳米晶,特别是高剂量辐照后其光致发光性能降低了53.7%~78.6%。本文研究结果为钙钛矿纳米晶空间辐射损伤机理及应用研究提供了数据支撑。
本文针对空间目标受到的太阳辐射、地球辐射、地球反照辐射,采用蒙特卡洛(Monte Carlo)法,基于非结构四面体网格编写了仿真程序,并对计算结果进行了对比验证。进一步地,对太阳同步轨道卫星受到的轨道外热流,采用带帆板的网格对有无遮挡情况下各表面受到的轨道外热流进行了分析。结果显示,在对地模式下考虑遮挡后,−
针对气体激光遥测光信号微弱、环境因素干扰强等特点,结合波长调制技术,设计和研究了用于TDLAS激光遥测的高灵敏度光电探测电路(Highly Sensitive Photoelectric Detection Circuit, HSPDC)。基于波长调制技术,确定了TDLAS信号噪声抑制方法;采用光电二极管理想模型,分析了光电探测电路的线性响应特性并确定了光电二极管的关键参数;基于级联放大原理设计、仿真并对HSPDC进行测试。结果表明:所设计HSPDC的光功率检测下限为0.11 nW,信号衰减仅为0.79 dB(
为了降低探测器的噪声与暗电流,使光谱仪的CMOS探测器能获得更准确的光谱曲线,设计了探测器温度控制系统。本系统核心采用基于现场可编程逻辑门阵列(FPGA)的增量式比例-积分-微分(PID)控制算法。在传统控制算法的基础上,增加了抗积分饱和控制,并且在PID算法的前端增加了对目标值的过渡过程。该系统在实现探测器温度变化速率可控的同时,也解决了超调过大的问题。多次整机环境实验结果表明:在轨环境温度条件下,40 °C温差范围内该系统可以控制探测器以指定温变速率(4.5±0.05) °C/min达到任意温度;并且可在该温度下稳定工作;温度变化范围为±0.1 °C。相比于传统模拟PID控制方法,其具有灵活度高,稳定性强等优点。当制冷到−10 °C时,探测器的噪声得到了有效抑制。
本文通过分析目前显示器用的高均匀宽角度灯珠的光学要求,采用新型非朗伯(non-Lambertian)分布封装Micro-LED芯片,实现了宽光束、高均匀性的微型LED芯片光珠。分析了在不同封装倾角、封装高度、封装材料、封装支架材料、蓝宝石厚度和图案化蓝宝石衬底尺寸下,使用由不同封装材料(铜、钛、铝和银)和材料类型(完全反射和完全吸收)组成的支架模拟固定灯珠的光输出效率和出光角度的变化情况。研究发现通过调整材料、芯片和封装参数,可以得到一个、两个或三个光束,具有贴片灯珠的宽角度、高均匀性的远场光分布特性,满足当前LED和LCD的显示要求。
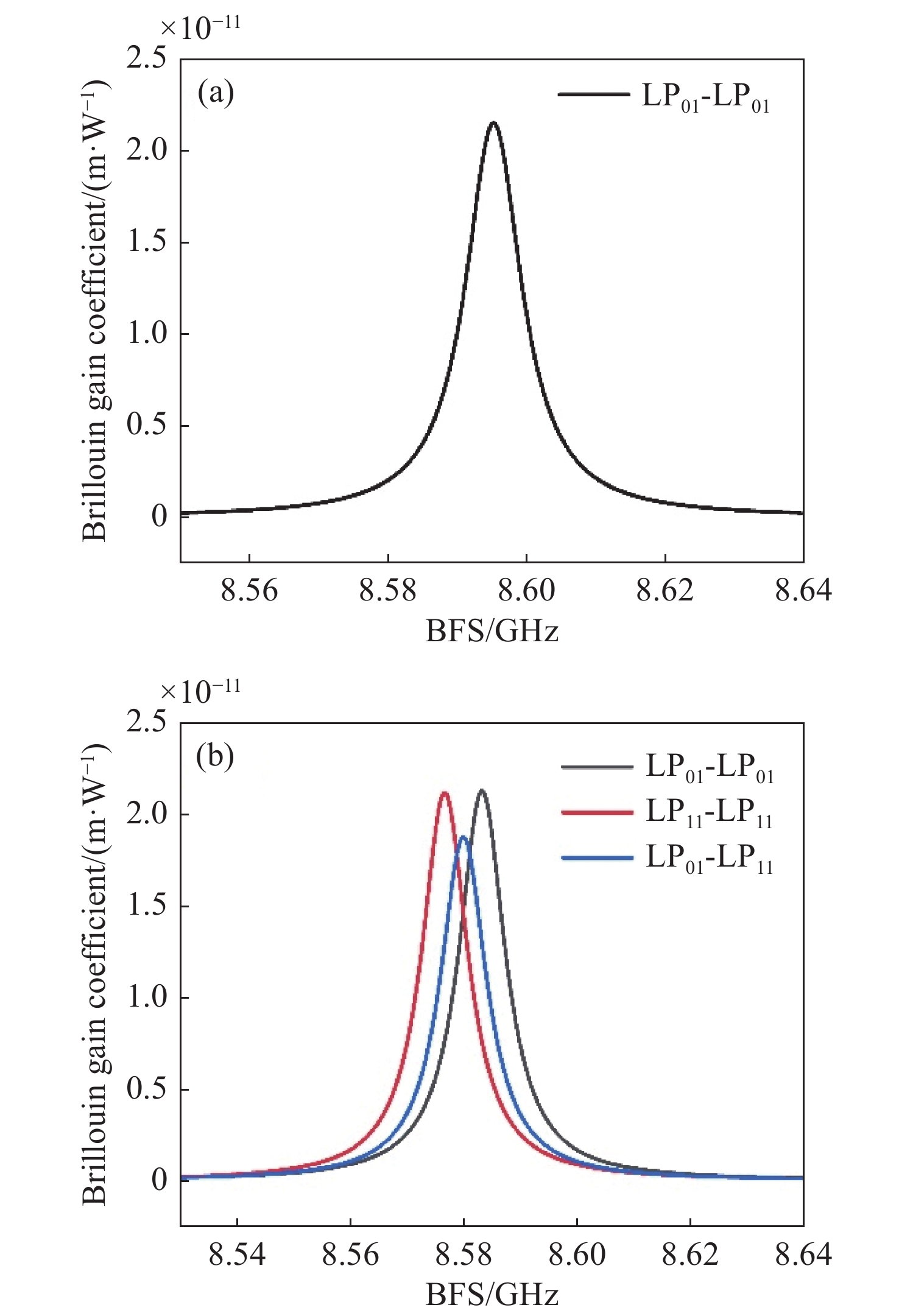
理论分析了波长为2 µm的掺铥光纤放大器中受激布里渊散射(SBS)对激光输出性能的影响,研究了双包层掺铥光纤在793 nm的泵浦波长和1.9~2.1 µm的激光工作波段的光模分布、有效折射率、有效模场面积和归一化频率,数值计算了在1.9~2.1µm的激光工作波段双包层掺铥光纤中的布里渊频移和布里渊增益谱等SBS特性。利用增益光纤中的受激布里渊散射理论模型,研究了受激布里渊散射对掺铥光纤放大器激光输出性能的影响。在DTDF-10/130双包层掺铥光纤中,使用功率为100 W、波长为793 nm的连续光作为泵浦,可对波长为2 μm、功率为0.01 W的连续信号光进行放大。当泵浦光功率填充因子为0.01、0.02和0.03时,信号光的最大输出功率分别为25.27 W、31.08 W和34.06 W。对应的最佳双包层光纤长度为2.66 m、2.02 m和1.75 m,由受激布里渊散射产生的斯托克斯光功率分别为1.68 W、1.39 W和1.14 W。结果表明,在掺铥光纤放大器中使用泵浦光功率填充因子大的双包层光纤可以降低光纤长度,从而减小受激布里渊散射对信号激光输出功率的影响。本文的数值模型可以对光纤放大器的光纤长度进行优化,对提高实验效率、降低实验成本具有重要价值。
脉冲宽度为皮秒的红光激光器,具有脉冲宽度窄,峰值功率高的优点,使其在工业、医疗、科研和信息存储等方面具有广泛的应用。本文采用声光锁模(AOML)的方式设计了一款具有窄线宽、高转换效率,输出波长为660 nm的全固态皮秒激光器。该激光器采用半导体侧面泵浦的方式,通过优化谐振腔型,并使用两块LiB3O5 ( LBO )晶体进行腔外倍频,最终获得最大输出功率为8.6 W的660 nm激光输出。激光器采用脉冲侧面泵浦的模式,获得的锁模脉冲频率为100 MHz,脉冲宽度为887 ps。1319 nm至660 nm激光的倍频转换效率可达41%。
在二维光子晶体中嵌入了线缺陷,利用线性干涉效应和波导耦合,设计了一种基于二维光子晶体的同或门和与非门结构。主要采用平面波展开法对该二维光子晶体的能带结构进行分析,采用时域有限差分法,结合线性干涉效应,在Rsoft平台对所设计的同或门和与非门进行稳定电场图和归一化功率仿真。仿真结果标明:设计的同或门对比度高达29.5 dB,响应时间为0.073 ps,数据传输速率为13.7 Tbit/s;设计的与非门对比度高达24.15 dB,响应时间为0.08 ps,数据传输速率为12.5 Tbit/s。这些结果表明所设计的结构对比度高、响应时间短和数据传输速率快。
摘要
HTML全文
PDF 6064KB
