2018 Vol. 11, No. 3
2018, 11(3): 281-295.
doi: 10.3788/CO.20181103.0281
Abstract:
Single particle tracking(SPT) technique locates and tracks individual fluorescent or scattering particles within a cell with the help of microscope system. Based on the ability of real-time monitoring of the complex and highly dynamic changes in tissue structure within living cells and the ability to provide dynamic relationships between structure and function, SPT has important applications in cell biology. In this review, the mechanism of SPT and its application on cells are summarized. Firstly, the dynamics of SPT are introduced, including single particle localization, trajectory reconstruction and analysis. Then the optical materials and instruments that SPT technology focuses on at the present stage are described. Finally, the application of SPT in cell membrane, intracellular signaling pathway, molecular transport mechanism, genetic information expression, and viral infection mechanism are proposed. In addition, the advance of SPT technology are prospected in this paper.
Single particle tracking(SPT) technique locates and tracks individual fluorescent or scattering particles within a cell with the help of microscope system. Based on the ability of real-time monitoring of the complex and highly dynamic changes in tissue structure within living cells and the ability to provide dynamic relationships between structure and function, SPT has important applications in cell biology. In this review, the mechanism of SPT and its application on cells are summarized. Firstly, the dynamics of SPT are introduced, including single particle localization, trajectory reconstruction and analysis. Then the optical materials and instruments that SPT technology focuses on at the present stage are described. Finally, the application of SPT in cell membrane, intracellular signaling pathway, molecular transport mechanism, genetic information expression, and viral infection mechanism are proposed. In addition, the advance of SPT technology are prospected in this paper.
2018, 11(3): 296-306.
doi: 10.3788/CO.20181103.0296
Abstract:
Compared with traditional optical imaging techniques, the fast-developing multiphoton microscopy technologies possess multiple advantages, such as deep penetration, low tissue photo-damaging, high signal-to-noise ratio, and excellent optical sectioning ability. Therefore, they have been widely applied in tissue-level microscopy in vivo for brains, tumors and embryos. This article reviews the recent development of new multiphoton microscopy technologies, including miniaturized two-photon microscopy, two-photon endoscopy, and three-photon microscopy. The review briefly illustrates their principles and characteristics, introduces the latest progresses in these areas, summarizes their main applications in basic research and clinical diagnosis, and discusses their potential application and development in the future. With the advances in laser devices and optical detectors, multiphoton microscopy will become an important tool for biomedical research with broad applications.
Compared with traditional optical imaging techniques, the fast-developing multiphoton microscopy technologies possess multiple advantages, such as deep penetration, low tissue photo-damaging, high signal-to-noise ratio, and excellent optical sectioning ability. Therefore, they have been widely applied in tissue-level microscopy in vivo for brains, tumors and embryos. This article reviews the recent development of new multiphoton microscopy technologies, including miniaturized two-photon microscopy, two-photon endoscopy, and three-photon microscopy. The review briefly illustrates their principles and characteristics, introduces the latest progresses in these areas, summarizes their main applications in basic research and clinical diagnosis, and discusses their potential application and development in the future. With the advances in laser devices and optical detectors, multiphoton microscopy will become an important tool for biomedical research with broad applications.
2018, 11(3): 307-328.
doi: 10.3788/CO.20181103.0307
Abstract:
Structured illumination microscopy(SIM) is capable of providing super-resolution imaging. It breaks the diffraction limit by moving the high-frequency information of objects into the detectable frequency band of the optical imaging system via frequency mixing. Due to its attractive advantages, such as low intensity illumination, independence of particular fluorescent dyes, and rapid wide-field imaging capability, SIM has become the most popular technique for super-resolution imaging of living cells. This paper first systematically summarizes advances in the development of SIM and introduces corresponding principles at the same time. Then, two novel techniques of SIM developed by our group, including the single-photon excited super-resolution microscopy based on spectral unmixing and the two-photon excited super-resolution microscopy combined with adaptive optics, are particularly introduced in detail. At last, the recent applications and future directions of SIM in biological imaging are briefly discussed.
Structured illumination microscopy(SIM) is capable of providing super-resolution imaging. It breaks the diffraction limit by moving the high-frequency information of objects into the detectable frequency band of the optical imaging system via frequency mixing. Due to its attractive advantages, such as low intensity illumination, independence of particular fluorescent dyes, and rapid wide-field imaging capability, SIM has become the most popular technique for super-resolution imaging of living cells. This paper first systematically summarizes advances in the development of SIM and introduces corresponding principles at the same time. Then, two novel techniques of SIM developed by our group, including the single-photon excited super-resolution microscopy based on spectral unmixing and the two-photon excited super-resolution microscopy combined with adaptive optics, are particularly introduced in detail. At last, the recent applications and future directions of SIM in biological imaging are briefly discussed.
2018, 11(3): 329-336.
doi: 10.3788/CO.20181103.0329
Abstract:
To perform super-resolution imaging of different tissue structures of biological samples using fluorescence radiation differential microscopy simultaneously, a dual-color FED microscopy system is studied in this paper. The basic principle of the FED is to remove the confocal microscopy image obtained by scanning the solid spot from the confocal microscopy image obtained by scanning the hollow spot to obtain a super-resolution microscopy image. Based on the study of the monochromatic FED microscopy system, a feasible dual-color FED microscopy imaging system is proposed and imaging experiments are performed on fluorescent particles in this paper. The experimental results indicate that under excitation light of 488nm and 640nm, the system realizes spatial resolution of 135 nm and 160 nm of the fluorescent particles respectively. In addition, this system can also perform multi-color super-resolution microscopy imaging simultaneously on different tissues of biological samples, which meets the requirements of practical applications.
To perform super-resolution imaging of different tissue structures of biological samples using fluorescence radiation differential microscopy simultaneously, a dual-color FED microscopy system is studied in this paper. The basic principle of the FED is to remove the confocal microscopy image obtained by scanning the solid spot from the confocal microscopy image obtained by scanning the hollow spot to obtain a super-resolution microscopy image. Based on the study of the monochromatic FED microscopy system, a feasible dual-color FED microscopy imaging system is proposed and imaging experiments are performed on fluorescent particles in this paper. The experimental results indicate that under excitation light of 488nm and 640nm, the system realizes spatial resolution of 135 nm and 160 nm of the fluorescent particles respectively. In addition, this system can also perform multi-color super-resolution microscopy imaging simultaneously on different tissues of biological samples, which meets the requirements of practical applications.
2018, 11(3): 337-343.
doi: 10.3788/CO.20181103.0337
Abstract:
Two-photon imaging technology is widely used for dynamic 3D imaging of live cells due to its superior properties. However, severe photobleaching of fluorescence molecular on focal plane caused by short light pulse with extreme high optical power greatly affects long-term two-photon imaging. This paper proposes a method called Optimized Lighting -Two Photon(OL-TP)for the problem of two-photon fluorescence bleaching. With this method we obtain the high and low thresholds of the two-photon image through pre-scanning, optimize the duration of light in different areas of the image with preset high and low thresholds, and reconstruct the OL-TP image by using the fluorescence information and the illumination time information recorded during the scanning.Therefore, both the signal-to-noise ratio and fluorescence bleaching are guaranteed. The reconstructed OL-TP image is almost the same as the conventional two-photon image, though the signal-to-noise ratio is slightly reduced, the image is not distorted. For the 110 nm fluorescent ball samples, 30 normal two-photon images and optimized light two-photon images were successively taken. By the 30th image, the OL-TP imaging technology reduces 28.86% of photobleaching compared with standard two-photon images. All in all, OL-TP greatly reduces the photobleaching of two-photon imaging by optimizing the illumination time, enabling the two-photon fluorescence microscope to better observe biospecimen for long periods of time.
Two-photon imaging technology is widely used for dynamic 3D imaging of live cells due to its superior properties. However, severe photobleaching of fluorescence molecular on focal plane caused by short light pulse with extreme high optical power greatly affects long-term two-photon imaging. This paper proposes a method called Optimized Lighting -Two Photon(OL-TP)for the problem of two-photon fluorescence bleaching. With this method we obtain the high and low thresholds of the two-photon image through pre-scanning, optimize the duration of light in different areas of the image with preset high and low thresholds, and reconstruct the OL-TP image by using the fluorescence information and the illumination time information recorded during the scanning.Therefore, both the signal-to-noise ratio and fluorescence bleaching are guaranteed. The reconstructed OL-TP image is almost the same as the conventional two-photon image, though the signal-to-noise ratio is slightly reduced, the image is not distorted. For the 110 nm fluorescent ball samples, 30 normal two-photon images and optimized light two-photon images were successively taken. By the 30th image, the OL-TP imaging technology reduces 28.86% of photobleaching compared with standard two-photon images. All in all, OL-TP greatly reduces the photobleaching of two-photon imaging by optimizing the illumination time, enabling the two-photon fluorescence microscope to better observe biospecimen for long periods of time.
2018, 11(3): 344-362.
doi: 10.3788/CO.20181103.0344
Abstract:
In order to further understand the biological cellular processes in the complex environments, a variety of bioimaging techniques have been developed by researchers. Biofluorescence imaging has been extensively developed due to its simple imaging conditions and compatibility with biological samples. However, the traditional fluorescence imaging technology is restricted by the optical diffraction limit, so it is impossible to resolve the spatial structure below 200 nm, which hinders the study of the biological processes of subcellular structures. Super-resolution fluorescence microscopy breaks through the limitations of imaging resolution with traditional optical diffraction and can acquire nanoscale cellular dynamics. In addition to improvements and upgrades to traditional wide-field fluorescence microscope frames, typical super-resolution imaging microscopy techniques currently also rely on the photophysical properties of fluorescent probe materials. Commonly used fluorescent probe materials mainly include fluorescent proteins, organic fluorescent molecules and fluorescent nanomaterials. This paper introduces several mainstream super-resolution fluorescence microscopy techniques and summarizes the application status of fluorescent probe materials that have been successfully applied to super-resolution biofluorescence imaging.
In order to further understand the biological cellular processes in the complex environments, a variety of bioimaging techniques have been developed by researchers. Biofluorescence imaging has been extensively developed due to its simple imaging conditions and compatibility with biological samples. However, the traditional fluorescence imaging technology is restricted by the optical diffraction limit, so it is impossible to resolve the spatial structure below 200 nm, which hinders the study of the biological processes of subcellular structures. Super-resolution fluorescence microscopy breaks through the limitations of imaging resolution with traditional optical diffraction and can acquire nanoscale cellular dynamics. In addition to improvements and upgrades to traditional wide-field fluorescence microscope frames, typical super-resolution imaging microscopy techniques currently also rely on the photophysical properties of fluorescent probe materials. Commonly used fluorescent probe materials mainly include fluorescent proteins, organic fluorescent molecules and fluorescent nanomaterials. This paper introduces several mainstream super-resolution fluorescence microscopy techniques and summarizes the application status of fluorescent probe materials that have been successfully applied to super-resolution biofluorescence imaging.
2018, 11(3): 363-376.
doi: 10.3788/CO.20181103.0363
Abstract:
Nucleic acid is a substance that carries genetic information. It exists either in nature or can be synthesized by established techniques. Nucleic acid sequences with special functions, such as aptamers and DNAzymes, can also be selected using in vitro techniques. Nucleic acids hybridize according to the principle of Watson-Crick base pairing, and have strong specificity. Whether through sequence design or in vitro screening, nucleic acid probes play an important role in the analysis and imaging applications of biomarkers. In addition, nanomaterials can be used to construct nucleic acid functionalized nanoprobes, which can protect the loaded nucleic acids from being degraded by nucleases and can enter cells without the aid of the transfection reagents. Therefore, nanomaterials have great advantages in the application of cell fluorescence imaging. In order to solve the problem of low intracellular biomarker content and thus difficult to detect, a variety of imaging signal amplification methods suitable for the cellular level have been developed to achieve highly sensitive imaging of low-abundance biomarkers. In this paper, the application of nucleic acid functionalized nanoprobes in cellular fluorescence imaging, including antisense oligonucleotide functionalized nanoprobes, aptamer functionalized nanoprobes and DNAzyme functionalized nanoprobes and that in imaging signal amplification are reviewed.
Nucleic acid is a substance that carries genetic information. It exists either in nature or can be synthesized by established techniques. Nucleic acid sequences with special functions, such as aptamers and DNAzymes, can also be selected using in vitro techniques. Nucleic acids hybridize according to the principle of Watson-Crick base pairing, and have strong specificity. Whether through sequence design or in vitro screening, nucleic acid probes play an important role in the analysis and imaging applications of biomarkers. In addition, nanomaterials can be used to construct nucleic acid functionalized nanoprobes, which can protect the loaded nucleic acids from being degraded by nucleases and can enter cells without the aid of the transfection reagents. Therefore, nanomaterials have great advantages in the application of cell fluorescence imaging. In order to solve the problem of low intracellular biomarker content and thus difficult to detect, a variety of imaging signal amplification methods suitable for the cellular level have been developed to achieve highly sensitive imaging of low-abundance biomarkers. In this paper, the application of nucleic acid functionalized nanoprobes in cellular fluorescence imaging, including antisense oligonucleotide functionalized nanoprobes, aptamer functionalized nanoprobes and DNAzyme functionalized nanoprobes and that in imaging signal amplification are reviewed.
2018, 11(3): 377-391.
doi: 10.3788/CO.20181103.0377
Abstract:
As an opened-bandgap derivative, graphene oxide greatly enriches its optical properties and extends its applications in sensing and imaging. In particular, graphene oxide-confined π-conjugated structures provide very favorable conditions for the construction of luminescent carbon materials. Nowadays, more and more works have reported that graphene oxide and its derivatives can generate multicolor fluorescent signals. However, systematically summarizing these studies to reveal the luminescence mechanism of graphene oxide are still relatively rare. In this paper, the synthesis of luminescent graphene oxide nanomaterials and their application in optical imaging are summarized, which provides some constructive suggestions for the further development of new luminescent graphene oxide materials.
As an opened-bandgap derivative, graphene oxide greatly enriches its optical properties and extends its applications in sensing and imaging. In particular, graphene oxide-confined π-conjugated structures provide very favorable conditions for the construction of luminescent carbon materials. Nowadays, more and more works have reported that graphene oxide and its derivatives can generate multicolor fluorescent signals. However, systematically summarizing these studies to reveal the luminescence mechanism of graphene oxide are still relatively rare. In this paper, the synthesis of luminescent graphene oxide nanomaterials and their application in optical imaging are summarized, which provides some constructive suggestions for the further development of new luminescent graphene oxide materials.
2018, 11(3): 392-400.
doi: 10.3788/CO.20181103.0392
Abstract:
Nanocarriers have always been an important research area of the accurate tumor therapy. As a novel drug carrier platform, cell membrane-camouflaged nano drug carriers have become a research hot area in the drug delivery field in recent years. This paper reviews the latest advances in the application for photothermal therapy of different cell membrane-camouflaged nano-carriers. Combining cell membranes with nanomaterials can further improve the research of nanocarriers and have important implications for the development of related fields.
Nanocarriers have always been an important research area of the accurate tumor therapy. As a novel drug carrier platform, cell membrane-camouflaged nano drug carriers have become a research hot area in the drug delivery field in recent years. This paper reviews the latest advances in the application for photothermal therapy of different cell membrane-camouflaged nano-carriers. Combining cell membranes with nanomaterials can further improve the research of nanocarriers and have important implications for the development of related fields.
2018, 11(3): 401-419.
doi: 10.3788/CO.20181103.0401
Abstract:
As an emerging carbon nanomaterial, carbon nanodots(CNDs) have many advantages such as low preparation cost, small size, low toxicity, high biocompatibility, good water solubility, easy modification, unique photophysical properties, and exhibit unique advantages and application prospects in the field of biomedicine. Taking advantage of the abundant surface functional groups, carbon nanodots can interact with functional theranostic agents such as targeting ligands, contrast agents in medical imaging, nucleic acids, chemical drugs, photosensitizers, and photothermal conversion reagents to form composites. Currently, bioluminescent imaging applications of carbon nanodots and their composites in biomedical theranostic fields such as medical imaging, gene therapy, chemotherapy, photothermal therapy, and photodynamic therapy are widely studied and reported. These researches are of great significance to the development of medical theranostic reagents based on carbon nanodots and their clinical advancement, and provide a novel drug system for the advancement of individualized, visualized, non-invasive, and minimally invasive diagnosis and treatment of major human diseases. This paper focuses on the design, construction and performance of carbon nanodots and their composites used in the field of theranostics. In addition, the research progress of the reported carbon nanodots based theranostic reagents in the biomedical field is discussed and summarized.
As an emerging carbon nanomaterial, carbon nanodots(CNDs) have many advantages such as low preparation cost, small size, low toxicity, high biocompatibility, good water solubility, easy modification, unique photophysical properties, and exhibit unique advantages and application prospects in the field of biomedicine. Taking advantage of the abundant surface functional groups, carbon nanodots can interact with functional theranostic agents such as targeting ligands, contrast agents in medical imaging, nucleic acids, chemical drugs, photosensitizers, and photothermal conversion reagents to form composites. Currently, bioluminescent imaging applications of carbon nanodots and their composites in biomedical theranostic fields such as medical imaging, gene therapy, chemotherapy, photothermal therapy, and photodynamic therapy are widely studied and reported. These researches are of great significance to the development of medical theranostic reagents based on carbon nanodots and their clinical advancement, and provide a novel drug system for the advancement of individualized, visualized, non-invasive, and minimally invasive diagnosis and treatment of major human diseases. This paper focuses on the design, construction and performance of carbon nanodots and their composites used in the field of theranostics. In addition, the research progress of the reported carbon nanodots based theranostic reagents in the biomedical field is discussed and summarized.
2018, 11(3): 420-430.
doi: 10.3788/CO.20181103.0420
Abstract:
Fluorescent carbon dots have the advantages of good chemical stability, low toxicity, and surface functionalization, which has caused concern. In recent years, polymer carbon dots synthesize by polymer polysaccharides have become a new research hotspot. In this paper, a chitosan-based fluorescent polymer carbon dot material is synthesized by hydrothermal method and used for drug-loading research. We choose chitosan-graft-polyethylene glycol monomethyl ether and citric acid derivatives as the carbon sources for the carbon dots, because chitosan and polyethylene glycol are both a carbon source for carbon dots and a passivation reagent for carbon dots. Then the quantum yield of the polymeric carbon dots is increased. Polymer carbon dots can also retain the molecular structure of polyethylene glycol and chitosan, providing favorable conditions for its application in drug loading. The structural characterization is performed on P(CS-g-mPEG-CA)CDs by IR, UV, X-ray diffraction, photoelectron spectroscopy, transmission electron microscopy and photoluminescence spectra and pH stability test is carried out. The results show that the synthesized P(CS-g-mPEG-CA)CDs has higher fluorescence quantum yield(66.81%), longer fluorescence lifetime(15.247 ns), and better pH stability. Using Doxorubicin as a model drug, a load study was conducted using this polymer carbon dot. The results show that if the degree of substitution of mPEG is 11.9%, the maximum loading rate of polymer carbon dots is 51.3% and the maximum drug release rate is 28.7%. In addition, we also found that drug loading and release could be controlled by the grafting rate of mPEG. In addition, the cytotoxicity of polymer carbon dots on nasopharyngeal carcinoma cells(CNE-2) is evaluated using an MTT assay. The study shows that there is no obvious cytotoxicity of blank P(CS-g-mPEG-CA)CDs, and that the survival rate of CNE-2 cells decreases with the increase of drug-loaded micelles. The results show that the P(CS-g-mPEG-CA)CDs have a certain application prospect in the aspects of fluorescence labeling, drug delivery, fluorescent tracer system and controlled release.
Fluorescent carbon dots have the advantages of good chemical stability, low toxicity, and surface functionalization, which has caused concern. In recent years, polymer carbon dots synthesize by polymer polysaccharides have become a new research hotspot. In this paper, a chitosan-based fluorescent polymer carbon dot material is synthesized by hydrothermal method and used for drug-loading research. We choose chitosan-graft-polyethylene glycol monomethyl ether and citric acid derivatives as the carbon sources for the carbon dots, because chitosan and polyethylene glycol are both a carbon source for carbon dots and a passivation reagent for carbon dots. Then the quantum yield of the polymeric carbon dots is increased. Polymer carbon dots can also retain the molecular structure of polyethylene glycol and chitosan, providing favorable conditions for its application in drug loading. The structural characterization is performed on P(CS-g-mPEG-CA)CDs by IR, UV, X-ray diffraction, photoelectron spectroscopy, transmission electron microscopy and photoluminescence spectra and pH stability test is carried out. The results show that the synthesized P(CS-g-mPEG-CA)CDs has higher fluorescence quantum yield(66.81%), longer fluorescence lifetime(15.247 ns), and better pH stability. Using Doxorubicin as a model drug, a load study was conducted using this polymer carbon dot. The results show that if the degree of substitution of mPEG is 11.9%, the maximum loading rate of polymer carbon dots is 51.3% and the maximum drug release rate is 28.7%. In addition, we also found that drug loading and release could be controlled by the grafting rate of mPEG. In addition, the cytotoxicity of polymer carbon dots on nasopharyngeal carcinoma cells(CNE-2) is evaluated using an MTT assay. The study shows that there is no obvious cytotoxicity of blank P(CS-g-mPEG-CA)CDs, and that the survival rate of CNE-2 cells decreases with the increase of drug-loaded micelles. The results show that the P(CS-g-mPEG-CA)CDs have a certain application prospect in the aspects of fluorescence labeling, drug delivery, fluorescent tracer system and controlled release.
2018, 11(3): 431-443.
doi: 10.3788/CO.20181103.0431
Abstract:
Carbon quantum dots are a class of nanomaterials with excellent fluorescence properties and high biocompatibility. They are widely used in many fields and are currently hot research materials. In this paper, different methods for the synthesis of carbon quantum dots, as well as recent advances in the performance of carbon quantum dots such as fluorescence, chemiluminescence, electrochemiluminescence, peroxidase-like activity, and toxicity, are described. Moreover, an overview of carbon quantum dots in biomedical applications such as biosensing, bioimaging, and drug delivery is also provided.
Carbon quantum dots are a class of nanomaterials with excellent fluorescence properties and high biocompatibility. They are widely used in many fields and are currently hot research materials. In this paper, different methods for the synthesis of carbon quantum dots, as well as recent advances in the performance of carbon quantum dots such as fluorescence, chemiluminescence, electrochemiluminescence, peroxidase-like activity, and toxicity, are described. Moreover, an overview of carbon quantum dots in biomedical applications such as biosensing, bioimaging, and drug delivery is also provided.
2018, 11(3): 444-458.
doi: 10.3788/CO.20181103.0444
Abstract:
Photo-crosslinking technique is widely used in different research fields such as chemistry, biology, medicine and materials as a fast, simple and space-time controlled cross-linking tool. In this paper, the structure, classification and reaction mechanism of commonly used small-molecule photo-crosslinking groups are introduced in detail. The application of photo-crosslinking technique in biomedical fields is reviewed in detail, and the prospects for its application are assessed. Currently, most of the photo-crosslinking groups are only sensitive to ultraviolet and visible light, and have weak UV and visible light penetrating power, strong tissue absorption and scattering, which seriously limit the application of this technology in living system. Therefore, further research on the application of photo-crosslinking technology in biological systems and the development of new long-wavelength light-mediated crosslinking (such as near-infrared or far-infrared light) have important scientific significance for drug development and disease theranostics.
Photo-crosslinking technique is widely used in different research fields such as chemistry, biology, medicine and materials as a fast, simple and space-time controlled cross-linking tool. In this paper, the structure, classification and reaction mechanism of commonly used small-molecule photo-crosslinking groups are introduced in detail. The application of photo-crosslinking technique in biomedical fields is reviewed in detail, and the prospects for its application are assessed. Currently, most of the photo-crosslinking groups are only sensitive to ultraviolet and visible light, and have weak UV and visible light penetrating power, strong tissue absorption and scattering, which seriously limit the application of this technology in living system. Therefore, further research on the application of photo-crosslinking technology in biological systems and the development of new long-wavelength light-mediated crosslinking (such as near-infrared or far-infrared light) have important scientific significance for drug development and disease theranostics.
2018, 11(3): 459-474.
doi: 10.3788/CO.20181103.0459
Abstract:
Diabetic Retinopathy(DR), as the most common complication of diabetes, has become one of the leading cause of vision loss or blindness. More than 50% of the patients with visual impairment or blindness as a result of DR can be prevented by early diagnosis and prompt treatment. Therefore, it is of great clinical significance to study the diagnosis and treatment of DR. Based on the structural and optical properties of eyes, biomedical photonics techniques have been widely used in diagnosis and treatment of DR and show great prospects. In this paper, the principle of biomedical photonics techniques in clinical diagnosis and treatment of DR is reviewed and the characteristics of each technique is analyzed and compared. Finally, the development trend of biomedical photonics technology in clinical DR diagnosis and treatment is prospected.
Diabetic Retinopathy(DR), as the most common complication of diabetes, has become one of the leading cause of vision loss or blindness. More than 50% of the patients with visual impairment or blindness as a result of DR can be prevented by early diagnosis and prompt treatment. Therefore, it is of great clinical significance to study the diagnosis and treatment of DR. Based on the structural and optical properties of eyes, biomedical photonics techniques have been widely used in diagnosis and treatment of DR and show great prospects. In this paper, the principle of biomedical photonics techniques in clinical diagnosis and treatment of DR is reviewed and the characteristics of each technique is analyzed and compared. Finally, the development trend of biomedical photonics technology in clinical DR diagnosis and treatment is prospected.
2018, 11(3): 475-502.
doi: 10.3788/CO.20181103.0475
Abstract:
Long period fiber grating is a kind of passive optical device which is sensitive to the surrounding environment. Owing to without retroreflection, high sensitivity to refractive index, miniature size, easy integration, immunity to electromagnetic interference, non-corrosiveness, without the need of reference electrode, long period fiber grating based optical sensors have attracted much attention in the field of refractive index sensing. Since Bentley research group first used long period fiber gratings to detect antigens in 2000, long-period gratings have made great progress in the detection of biological substances in recent years and have been utilized for the detection of many biological substances such as antigen-antibody, bacterial viruses, proteins, DNA, enzymes, nucleic acids, and so on. In this paper, the research progress and applications of long period fiber grating in the biosensing field in recent years are summarized and reviewed, and the future development trend of long period fiber grating in biological detection is also prospected.
Long period fiber grating is a kind of passive optical device which is sensitive to the surrounding environment. Owing to without retroreflection, high sensitivity to refractive index, miniature size, easy integration, immunity to electromagnetic interference, non-corrosiveness, without the need of reference electrode, long period fiber grating based optical sensors have attracted much attention in the field of refractive index sensing. Since Bentley research group first used long period fiber gratings to detect antigens in 2000, long-period gratings have made great progress in the detection of biological substances in recent years and have been utilized for the detection of many biological substances such as antigen-antibody, bacterial viruses, proteins, DNA, enzymes, nucleic acids, and so on. In this paper, the research progress and applications of long period fiber grating in the biosensing field in recent years are summarized and reviewed, and the future development trend of long period fiber grating in biological detection is also prospected.
2018, 11(3): 503-512.
doi: 10.3788/CO.20181103.0503
Abstract:
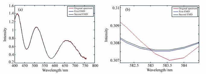
In order to realize the real-time, sensitively and rapid monitoring of the interactions between biomolecules, and obtain kinetic parameters of biomolecules existence, concentration and interaction, an affinity detection method based on fiber biosensor is designed in this paper. Firstly, a coupling structure between a self-focusing lens and a quartz fiber is proposed for the coupling problem between the optical transmission system "Y"-type bifurcated optical fiber and the fiber probe in the optical interference bio-affinity sensing system. The coupling structure has an eccentricity tolerance of up to 0.02 mm, and a tilt tolerance of 0.1°. In order to solve the problem of high frequency noise of the interference spectrum, an improved EMD interference spectral signal processing method is adopted to effectively avoid the deviation of the extreme point position after filtering of interference spectral curves; at the same time, method for calculating the thickness of biomolecule film layer by using locally fitted extreme points is adopted to increase the resolution of the biofilm layer thickness to 50 pm. Using the established light interference bio-affinity detection system, a new method for the detection of concentrations of HER3-IgG1 antibody using gold nanoparticles for signal amplification was established. There was no need for cleaning and no cross-contamination will occur during the detection process. The experimental results show that the detection limit of the system reaches 0.0826μg/ml. Due to the advantages of short detection time, accurate measurement, high precision, and low cost, the system is suitable for the study of pharmacokinetics.
In order to realize the real-time, sensitively and rapid monitoring of the interactions between biomolecules, and obtain kinetic parameters of biomolecules existence, concentration and interaction, an affinity detection method based on fiber biosensor is designed in this paper. Firstly, a coupling structure between a self-focusing lens and a quartz fiber is proposed for the coupling problem between the optical transmission system "Y"-type bifurcated optical fiber and the fiber probe in the optical interference bio-affinity sensing system. The coupling structure has an eccentricity tolerance of up to 0.02 mm, and a tilt tolerance of 0.1°. In order to solve the problem of high frequency noise of the interference spectrum, an improved EMD interference spectral signal processing method is adopted to effectively avoid the deviation of the extreme point position after filtering of interference spectral curves; at the same time, method for calculating the thickness of biomolecule film layer by using locally fitted extreme points is adopted to increase the resolution of the biofilm layer thickness to 50 pm. Using the established light interference bio-affinity detection system, a new method for the detection of concentrations of HER3-IgG1 antibody using gold nanoparticles for signal amplification was established. There was no need for cleaning and no cross-contamination will occur during the detection process. The experimental results show that the detection limit of the system reaches 0.0826μg/ml. Due to the advantages of short detection time, accurate measurement, high precision, and low cost, the system is suitable for the study of pharmacokinetics.
2018, 11(3): 513-530.
doi: 10.3788/CO.20181103.0513
Abstract:
With excellent integrability and flexible operability, microfluidic chips have been developed rapidly. Among them, Surface-enhanced Raman Spectroscopy (SERS) has become a widely used detection technique due to its ultrasensitivity, unique fingerprint spectrum and narrow spectroscopic bands. The SERS microfluidic chip integrates the advantages of the SERS detection technology and the microfluidic chip. On the one hand, it provides an efficient platform for the repeatability and reliability of the SERS detection method. On the other hand, it promotes function expansion for microfluidic chips. The SERS microfluidic chips have broad application prospects in the fields of biomolecule detection, cell capture and even tissue simulation. In this review, the principle of SERS is briefly introduced, and the construction of SERS microfluidic chip and its applications in biosensing and detection are emphatically summarized. Finally, the problems and development direction of the research are proposed.
With excellent integrability and flexible operability, microfluidic chips have been developed rapidly. Among them, Surface-enhanced Raman Spectroscopy (SERS) has become a widely used detection technique due to its ultrasensitivity, unique fingerprint spectrum and narrow spectroscopic bands. The SERS microfluidic chip integrates the advantages of the SERS detection technology and the microfluidic chip. On the one hand, it provides an efficient platform for the repeatability and reliability of the SERS detection method. On the other hand, it promotes function expansion for microfluidic chips. The SERS microfluidic chips have broad application prospects in the fields of biomolecule detection, cell capture and even tissue simulation. In this review, the principle of SERS is briefly introduced, and the construction of SERS microfluidic chip and its applications in biosensing and detection are emphatically summarized. Finally, the problems and development direction of the research are proposed.
Abstract
FullText HTML
PDF 2153KB