2018 Vol. 11, No. 1
2018, 11(1): 1-17.
doi: 10.3788/CO.20181101.0001
Abstract:
Laser-induced periodic surface structures(LIPSS) have a wide application prospect from sensing to solar power generation and photocatalysis mainly due to its nanoscale features and self-repetitive microscopic patterns. In this review we discuss various complex process of the interaction of ultrafast laser with matter during the formation of LIPSS, emphasizing the role of transient optical properties and surface structural changes. Then several representative LIPSS formation mechanisms are summarized and their respective advantages and disadvantages are discussed. Next, the change of materials during the formation of LIPSS is introduced, including the change of chemical composition, crystal structure and surface microstructure. Finally, the application of LIPSS in material surface treatment, optics and mechanics is reviewed.
Laser-induced periodic surface structures(LIPSS) have a wide application prospect from sensing to solar power generation and photocatalysis mainly due to its nanoscale features and self-repetitive microscopic patterns. In this review we discuss various complex process of the interaction of ultrafast laser with matter during the formation of LIPSS, emphasizing the role of transient optical properties and surface structural changes. Then several representative LIPSS formation mechanisms are summarized and their respective advantages and disadvantages are discussed. Next, the change of materials during the formation of LIPSS is introduced, including the change of chemical composition, crystal structure and surface microstructure. Finally, the application of LIPSS in material surface treatment, optics and mechanics is reviewed.
2018, 11(1): 18-30.
doi: 10.3788/CO.20181101.0018
Abstract:
The applications and advances of new two-dimensional materials as saturable absorbers in solid-state lasers are introduced in this paper. The characteristics and advantages of two-dimensional materials are briefly summarized. Taking the new two-dimensional materials such as graphene, topological insulator, transition metal dichalcogenides and black phosphorus as examples, the Q-switched and mode-locked processes in solid-state lasers are analyzed, which reveals the promising future of new-type two-dimensional materials for the applications in the research of pulsed solid-state lasers. The combination of solid-state lasers and two-dimensional materials can further improve the research of two-dimensional materials and is expected to develop a large number of new solid-state lasers and used as a base light source in many areas to promote the developments of related fields.
The applications and advances of new two-dimensional materials as saturable absorbers in solid-state lasers are introduced in this paper. The characteristics and advantages of two-dimensional materials are briefly summarized. Taking the new two-dimensional materials such as graphene, topological insulator, transition metal dichalcogenides and black phosphorus as examples, the Q-switched and mode-locked processes in solid-state lasers are analyzed, which reveals the promising future of new-type two-dimensional materials for the applications in the research of pulsed solid-state lasers. The combination of solid-state lasers and two-dimensional materials can further improve the research of two-dimensional materials and is expected to develop a large number of new solid-state lasers and used as a base light source in many areas to promote the developments of related fields.
2018, 11(1): 31-46.
doi: 10.3788/CO.20181101.0031
Abstract:
Local field enhancement(LFE) based on the plasmon resonance characteristics of metal nanoparticles has great potential in many fields such as microscopy, spectroscopy, semiconductor devices and nonlinear optics. Especially in the field of optical nanomaterials, local field enhancement effect can be produced by the combination of sub-wavelength metal nanoparticles and dielectrics to improve the optical properties of nanomaterials and promote the application of nanomaterials in the field of optics. In this paper, the local field enhancement effect of several common nanostructures and their applications is mainly reviewed. The relationship between different structural parameters of metal nanomaterials and the local field enhancement and the application of local field enhancement in nonlinear optics, spectroscopy, semiconductor devices are introduced and summarized. It is foreseeable that in the future, as the research on metal nanomaterials progresses, the application of localized field enhancement will be more extensive, which have a significant impact on the development of many fields.
Local field enhancement(LFE) based on the plasmon resonance characteristics of metal nanoparticles has great potential in many fields such as microscopy, spectroscopy, semiconductor devices and nonlinear optics. Especially in the field of optical nanomaterials, local field enhancement effect can be produced by the combination of sub-wavelength metal nanoparticles and dielectrics to improve the optical properties of nanomaterials and promote the application of nanomaterials in the field of optics. In this paper, the local field enhancement effect of several common nanostructures and their applications is mainly reviewed. The relationship between different structural parameters of metal nanomaterials and the local field enhancement and the application of local field enhancement in nonlinear optics, spectroscopy, semiconductor devices are introduced and summarized. It is foreseeable that in the future, as the research on metal nanomaterials progresses, the application of localized field enhancement will be more extensive, which have a significant impact on the development of many fields.
2018, 11(1): 47-59.
doi: 10.3788/CO.20181101.0047
Abstract:
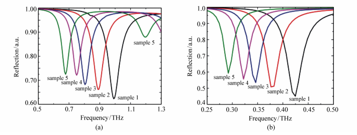
In this paper, the effect of the geometrical parameters of an electrical ring resonator(ERR) on the total absorptivity of metamaterial absorbers is analyzed. In particular, the effect of electrical ring resonator parameters, dielectric layer(spacer) thickness and electrical ring resonator thickness on the absorber of metamaterials are analyzed in detail. On this basis, the orthogonal experiment is set up to analyze the combined effects of several parameters and finally obtain the theoretical absorptivity of metamaterials. Based on the above results, the principle prototype of two metamaterial absorbers is prepared. The results show that the narrowband absorptivity of the prototype is higher than 98%, which provide guidance for the design of high performance absorber.
In this paper, the effect of the geometrical parameters of an electrical ring resonator(ERR) on the total absorptivity of metamaterial absorbers is analyzed. In particular, the effect of electrical ring resonator parameters, dielectric layer(spacer) thickness and electrical ring resonator thickness on the absorber of metamaterials are analyzed in detail. On this basis, the orthogonal experiment is set up to analyze the combined effects of several parameters and finally obtain the theoretical absorptivity of metamaterials. Based on the above results, the principle prototype of two metamaterial absorbers is prepared. The results show that the narrowband absorptivity of the prototype is higher than 98%, which provide guidance for the design of high performance absorber.
2018, 11(1): 60-73.
doi: 10.3788/CO.20181101.0060
Abstract:
In this paper, a rigorous numerical simulation method(FDTD) is employed to study the grating diffractive behavior of surface plasmon polariton(SPP) waves on meta-surface excited by the incident visible light through metallic grating coupler in 550-700 nm waveband. The simulation results indicate that the diffraction of SPP waves on meta-surface is quite different from that of free space light. Due to the near-field characteristics, the SPP wave shows obvious diffractive effect in near field when it interacts with a metallic grating. However, the different diffracted orders will merge into one after propagating some distances. Nevertheless, the diffractive behavior in near-field is similar to that in free space. In near field, only the 0th order light is transmitted when metallic gratings have a sub-wavelength period and higher diffraction orders appear when the period of metallic gratings is larger than the wavelength of SPP waves. The research results of this paper are of great significance for designing spectroscopic devices or systems on meta-surface with a micronscale.
In this paper, a rigorous numerical simulation method(FDTD) is employed to study the grating diffractive behavior of surface plasmon polariton(SPP) waves on meta-surface excited by the incident visible light through metallic grating coupler in 550-700 nm waveband. The simulation results indicate that the diffraction of SPP waves on meta-surface is quite different from that of free space light. Due to the near-field characteristics, the SPP wave shows obvious diffractive effect in near field when it interacts with a metallic grating. However, the different diffracted orders will merge into one after propagating some distances. Nevertheless, the diffractive behavior in near-field is similar to that in free space. In near field, only the 0th order light is transmitted when metallic gratings have a sub-wavelength period and higher diffraction orders appear when the period of metallic gratings is larger than the wavelength of SPP waves. The research results of this paper are of great significance for designing spectroscopic devices or systems on meta-surface with a micronscale.
2018, 11(1): 74-82.
doi: 10.3788/CO.20181101.0074
Abstract:
In this paper, a kind of fluorescence resonance energy transfer(FRET) system based on near infrared InP/ZnS Quantum Dots and fluorescence dye Cy7 was constructed, and the conversion efficiencies of FRET system at different pH values and different concentrations were measured. Experimental results indicated that when the concentration of quanium dots remained constant, the conversion efficiency of the system increased with the increasing of the concentration of dye. When the concentration ratio of InP/ZnS and Cy7 was 1:250, the conversion efficiency was 68%. The results of cell test showed that the FRET system had a high sensitivity to pH value, and the detection accuracy of pH value for cell microenvironment was 0.1, which could be used as a sensitive FRET probe for biological microenvironment detection.
In this paper, a kind of fluorescence resonance energy transfer(FRET) system based on near infrared InP/ZnS Quantum Dots and fluorescence dye Cy7 was constructed, and the conversion efficiencies of FRET system at different pH values and different concentrations were measured. Experimental results indicated that when the concentration of quanium dots remained constant, the conversion efficiency of the system increased with the increasing of the concentration of dye. When the concentration ratio of InP/ZnS and Cy7 was 1:250, the conversion efficiency was 68%. The results of cell test showed that the FRET system had a high sensitivity to pH value, and the detection accuracy of pH value for cell microenvironment was 0.1, which could be used as a sensitive FRET probe for biological microenvironment detection.
2018, 11(1): 83-91.
doi: 10.3788/CO.20181101.0083
Abstract:
Based on the spectral analysis, we explored a rapid nondestructive evaluation method for maturity of tangerine and estabilizhed a evaluation model. The data of weight, transverse and longitudinal diameter, chlorophyll, color difference, soluble solids(SSC), acidity(TA) and near infrared spectra were collected from 300 tangerines as experimental samples of 6 different picking time from September to November in 2016. The chlorophyll, chlorophyll/SSC and chlorophyll/solid acid ratio were screened out as the evaluation index of maturity of tangerine by comparing and analyzing the average value and deviation of the above parameters. By using spectral coefficients of variation to analyze the characteristics of the spectra, four characteristic wavelengths of 649, 724, 672, and 1 100 nm were selected. The optimal spectral indexes were obtained by linear combination and correlation analysis of these wavelengths. Then, taking 225 samples as model sets and 75 samples as prediction sets, multiple linear regression(MLR) analysis was conducted for both maturity index and spectral index. By comparison, the prediction model based on chlorophyll as the maturity index was the most accurate, and the correlation coefficient between modeling and prediction was 0.98 and 0.96 respectively. The root mean square error of modeling(RMSEC) and root mean square error of prediction(RMSEP) were 0.49 and 0.59, and the modeling and forecast deviations were -6.1×10-8 and -0.014, respectively. The results showed that the spectral index can be used to conveniently and accurately evaluate the maturity of tangerine, which provided a theoretical basis for the subsequent development of low-cost maturity-measuring instruments.
Based on the spectral analysis, we explored a rapid nondestructive evaluation method for maturity of tangerine and estabilizhed a evaluation model. The data of weight, transverse and longitudinal diameter, chlorophyll, color difference, soluble solids(SSC), acidity(TA) and near infrared spectra were collected from 300 tangerines as experimental samples of 6 different picking time from September to November in 2016. The chlorophyll, chlorophyll/SSC and chlorophyll/solid acid ratio were screened out as the evaluation index of maturity of tangerine by comparing and analyzing the average value and deviation of the above parameters. By using spectral coefficients of variation to analyze the characteristics of the spectra, four characteristic wavelengths of 649, 724, 672, and 1 100 nm were selected. The optimal spectral indexes were obtained by linear combination and correlation analysis of these wavelengths. Then, taking 225 samples as model sets and 75 samples as prediction sets, multiple linear regression(MLR) analysis was conducted for both maturity index and spectral index. By comparison, the prediction model based on chlorophyll as the maturity index was the most accurate, and the correlation coefficient between modeling and prediction was 0.98 and 0.96 respectively. The root mean square error of modeling(RMSEC) and root mean square error of prediction(RMSEP) were 0.49 and 0.59, and the modeling and forecast deviations were -6.1×10-8 and -0.014, respectively. The results showed that the spectral index can be used to conveniently and accurately evaluate the maturity of tangerine, which provided a theoretical basis for the subsequent development of low-cost maturity-measuring instruments.
2018, 11(1): 92-99.
doi: 10.3788/CO.20181101.0092
Abstract:
In order to identify the target with little temperature difference in complicated and disguised infrared background, a decentered aperture-divided polarization imaging system is introduced in this paper. The design of decentered aperture-divided imaging system and relay imaging system adopted in decentered aperture-divided polarization imaging system are also studied. Firstly, the working theory and optical structure of the system are introduced according to the Stokes vectors. Secondly, the parameters of the optical system such as the eccentricity are calculated under the requirements of the structural parameters of the existing detectors in the laboratory, and silicon and germanium are selected as the lens materials. According to these parameters, both the structure of aperture-divided imaging system and that of relay imaging system are determined on this basis. Then the off-axis eccentric multi-structure design method is used to optimize the initial structure. The transformation method from ordinary infrared objective to image-side telecentric structure with real entrance pupil is studied. Finally, the overall system matching of aperture-divided imaging system and relay imaging system is completed. The results show that the overall system modulation transfer function(MTF) at Nyquist frequency of the detector of 17 lp/mm is greater than 0.6, which can meet the system design requirements. The structure introduced in this paper can detect the real-time polarization of the target, and possesses the advantages of compact structure.
In order to identify the target with little temperature difference in complicated and disguised infrared background, a decentered aperture-divided polarization imaging system is introduced in this paper. The design of decentered aperture-divided imaging system and relay imaging system adopted in decentered aperture-divided polarization imaging system are also studied. Firstly, the working theory and optical structure of the system are introduced according to the Stokes vectors. Secondly, the parameters of the optical system such as the eccentricity are calculated under the requirements of the structural parameters of the existing detectors in the laboratory, and silicon and germanium are selected as the lens materials. According to these parameters, both the structure of aperture-divided imaging system and that of relay imaging system are determined on this basis. Then the off-axis eccentric multi-structure design method is used to optimize the initial structure. The transformation method from ordinary infrared objective to image-side telecentric structure with real entrance pupil is studied. Finally, the overall system matching of aperture-divided imaging system and relay imaging system is completed. The results show that the overall system modulation transfer function(MTF) at Nyquist frequency of the detector of 17 lp/mm is greater than 0.6, which can meet the system design requirements. The structure introduced in this paper can detect the real-time polarization of the target, and possesses the advantages of compact structure.
Generating method of non-diffracting beam with long-distance propagation and controllable parameters
2018, 11(1): 100-107.
doi: 10.3788/CO.20181101.0100
Abstract:
In order to eliminate the restriction of optical device geometrical parameters on the propagation characteristics of non-diffracting beams and to achieve the controllability of the characteristic parameters of non-diffracting beams propagating in long-distance space, the generation method of parameter controlled non-diffracting beam over long distance is studied in this paper. First of all, by studying the electric field distribution of the axicon refraction shadow area, it is found that although the paraxial area beyond the critical surface of the axicon non-diffractive area is in the paraxial area of the geometric refraction shadow, there is still a spherical wave whose intensity follows first kind of zero-order Bessel function distribution. On this basis, a non-diffracting light generation method is proposed which is not limited by the distance of the propagation space. Finally, the parameters of the non-diffracing light propagation characteristics are tested in the range of nearly 12 m, and it is found that the difference between the experimental and theoretical values is less than 0.1 μm. The non-diffracting beam is generated by collimating spherical diffracted light spots of the first kind of zero-order Bessel function distribution, which is essentially different from the traditional method of generating interference and non-diffracting light beams and is easy to generate large-scale space non-diffracting beams. In general, this method is particularly suitable for the use in non-energy conditions, such as large-scale linear reference space, beam space communications, and has enormous engineering application value.
In order to eliminate the restriction of optical device geometrical parameters on the propagation characteristics of non-diffracting beams and to achieve the controllability of the characteristic parameters of non-diffracting beams propagating in long-distance space, the generation method of parameter controlled non-diffracting beam over long distance is studied in this paper. First of all, by studying the electric field distribution of the axicon refraction shadow area, it is found that although the paraxial area beyond the critical surface of the axicon non-diffractive area is in the paraxial area of the geometric refraction shadow, there is still a spherical wave whose intensity follows first kind of zero-order Bessel function distribution. On this basis, a non-diffracting light generation method is proposed which is not limited by the distance of the propagation space. Finally, the parameters of the non-diffracing light propagation characteristics are tested in the range of nearly 12 m, and it is found that the difference between the experimental and theoretical values is less than 0.1 μm. The non-diffracting beam is generated by collimating spherical diffracted light spots of the first kind of zero-order Bessel function distribution, which is essentially different from the traditional method of generating interference and non-diffracting light beams and is easy to generate large-scale space non-diffracting beams. In general, this method is particularly suitable for the use in non-energy conditions, such as large-scale linear reference space, beam space communications, and has enormous engineering application value.
2018, 11(1): 108-114.
doi: 10.3788/CO.20181101.0108
Abstract:
The thermal coupling effecting on laser beam combining optical system is studied in this paper in order to analyze the imaging quality of the system. The laser beam combining system is modeled using optical design software, and the gas fluid model is established based on heat transfer theory according to the structure of the optical system and the parameters of the flow field. According to the ray tracing method, a user-defined function is defined and the wave aberration coefficient caused by the thermal effect of the medium gas is quantitatively studied through numerical simulation. The influence of gas thermal effect on the laser optical system at different time is simulated and analyzed. The results show that the rotational symmetry of the thermal effect in the beam combination system is no longer noticeable under the influence of gravity, but stratification changes with increasing temperature, and the non-uniform thermal effect is dominated by low-order aberrations. The wave aberration coefficient can be imported into the optical design software to quantitatively analyze the transfer function of the coupling of the complex optical field and the thermal field. At this time, the wave aberration is deteriorated by 0.3λ, and the transfer function value is decreased by 0.1.
The thermal coupling effecting on laser beam combining optical system is studied in this paper in order to analyze the imaging quality of the system. The laser beam combining system is modeled using optical design software, and the gas fluid model is established based on heat transfer theory according to the structure of the optical system and the parameters of the flow field. According to the ray tracing method, a user-defined function is defined and the wave aberration coefficient caused by the thermal effect of the medium gas is quantitatively studied through numerical simulation. The influence of gas thermal effect on the laser optical system at different time is simulated and analyzed. The results show that the rotational symmetry of the thermal effect in the beam combination system is no longer noticeable under the influence of gravity, but stratification changes with increasing temperature, and the non-uniform thermal effect is dominated by low-order aberrations. The wave aberration coefficient can be imported into the optical design software to quantitatively analyze the transfer function of the coupling of the complex optical field and the thermal field. At this time, the wave aberration is deteriorated by 0.3λ, and the transfer function value is decreased by 0.1.
2018, 11(1): 115-122.
doi: 10.3788/CO.20181101.0115
Abstract:
In this paper, a space point target detection system is designed based on highly sensitive CMOS sensor. Firstly, noise reduction of CMOS sensor image is carried out to improve the sensitivity of the detection sensor; secondly, by using DSP+FPGA embedded architecture, a point target detection algorithm based on star map matching is designed and the principle and steps of the algorithm are introduced in detail. Finally, the electronic star map simulator is used to test the detection system. The results show that the embedded system can process 1 024×1 024@20p format videos in real-time, and the sixth-magnitude stars can be detected. When the SNR is greater than 6 and the pointing error is less than 1°, targets which with different speed and size can be detected with a detection accuracy of nearly 100%. In summary, the space point target detection method has high computational precision, strong adaptability and high reliability, and can be effectively applied to the space point target detection.
In this paper, a space point target detection system is designed based on highly sensitive CMOS sensor. Firstly, noise reduction of CMOS sensor image is carried out to improve the sensitivity of the detection sensor; secondly, by using DSP+FPGA embedded architecture, a point target detection algorithm based on star map matching is designed and the principle and steps of the algorithm are introduced in detail. Finally, the electronic star map simulator is used to test the detection system. The results show that the embedded system can process 1 024×1 024@20p format videos in real-time, and the sixth-magnitude stars can be detected. When the SNR is greater than 6 and the pointing error is less than 1°, targets which with different speed and size can be detected with a detection accuracy of nearly 100%. In summary, the space point target detection method has high computational precision, strong adaptability and high reliability, and can be effectively applied to the space point target detection.
2018, 11(1): 123-130.
doi: 10.3788/CO.20181101.0123
Abstract:
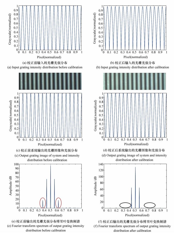
The light intensity transform function(ITF) of the digital grating projector plays a crucial role in the quality of sinusoidal projection fringes and the accuracy of phase measurement. Based on this, a new method of correcting the ITF of digital grating projector in optical 3D profilometry system is proposed in this paper. Firstly, the phase measurement error of the grating harmonics caused by the nonlinear response of the projector is analyzed. Then, the nonlinear of the digital projector is measured by projecting a set of images with different gray levels, and the brightness of these image on the digital projector is measured by optical power meter and the ITF of the projector can be obtained after data processing. Finally, an inverse transformation of ITF is implemened to obtain a corrected non-sinusoidal grating, which is then projected by the projector to obtain a sinusoidal grating on the surface of the measured object. Digital projector measurement experiments show that the average errors of standard panel are 0.71 mm and 0.55 mm before and after calibration, respectively; the average errors of standard block measurement are 0.62 mm and 0.15 mm before and after calibration. The above results show that the proposed method can reduce the measurement error caused by the nonlinear response of the system and improve the measurement accuracy.
The light intensity transform function(ITF) of the digital grating projector plays a crucial role in the quality of sinusoidal projection fringes and the accuracy of phase measurement. Based on this, a new method of correcting the ITF of digital grating projector in optical 3D profilometry system is proposed in this paper. Firstly, the phase measurement error of the grating harmonics caused by the nonlinear response of the projector is analyzed. Then, the nonlinear of the digital projector is measured by projecting a set of images with different gray levels, and the brightness of these image on the digital projector is measured by optical power meter and the ITF of the projector can be obtained after data processing. Finally, an inverse transformation of ITF is implemened to obtain a corrected non-sinusoidal grating, which is then projected by the projector to obtain a sinusoidal grating on the surface of the measured object. Digital projector measurement experiments show that the average errors of standard panel are 0.71 mm and 0.55 mm before and after calibration, respectively; the average errors of standard block measurement are 0.62 mm and 0.15 mm before and after calibration. The above results show that the proposed method can reduce the measurement error caused by the nonlinear response of the system and improve the measurement accuracy.
2018, 11(1): 131-151.
doi: 10.3788/CO.20181101.0131
Abstract:
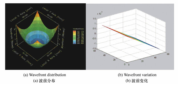
The direct detection of gravitational waves opens up a new era of gravitational wave astronomy, and 100-year-old prediction on gravitational wavers by Einstein have been confirmed ultimately. The space gravitational wave detector makes it possible to detect rich sources of gravitational waves in the 0.1 mHz-1 Hz band. The space gravitational wave detector and the ground gravitational wave detector complement each other, and the combination of the two methods can realize the detection of gravitational waves in a broader band, thus uncovering more secrets of the early universe. Spatial laser interferometry gravitational wave detection uses heterodyne interferometry to measure changes in the order of 10 pm between two free-floating test masses that are millions of kilometers apart. Telescope is an important part of the laser interferometry system. Unlike the traditional geometrical imaging telescope, the telescope of the laser interferometry system shall meet the requirements of optical path stability for 1 pm and that of a harsh stray light. Based on the mission requirements of the Taiji Program in Space, this paper analyzes the functions and technical requirements of the telescope and completes the preliminary design of the principle prototype. In this paper, the sensitivity of the telescope system is analyzed according to the wavefront distribution in the far field of one million kilometers. At the same time, the thermal integration simulation in orbit is completed, which lays the technical foundation for the development of the subsequent principle prototypes.
The direct detection of gravitational waves opens up a new era of gravitational wave astronomy, and 100-year-old prediction on gravitational wavers by Einstein have been confirmed ultimately. The space gravitational wave detector makes it possible to detect rich sources of gravitational waves in the 0.1 mHz-1 Hz band. The space gravitational wave detector and the ground gravitational wave detector complement each other, and the combination of the two methods can realize the detection of gravitational waves in a broader band, thus uncovering more secrets of the early universe. Spatial laser interferometry gravitational wave detection uses heterodyne interferometry to measure changes in the order of 10 pm between two free-floating test masses that are millions of kilometers apart. Telescope is an important part of the laser interferometry system. Unlike the traditional geometrical imaging telescope, the telescope of the laser interferometry system shall meet the requirements of optical path stability for 1 pm and that of a harsh stray light. Based on the mission requirements of the Taiji Program in Space, this paper analyzes the functions and technical requirements of the telescope and completes the preliminary design of the principle prototype. In this paper, the sensitivity of the telescope system is analyzed according to the wavefront distribution in the far field of one million kilometers. At the same time, the thermal integration simulation in orbit is completed, which lays the technical foundation for the development of the subsequent principle prototypes.
Abstract
FullText HTML
PDF 2629KB