2022年 15卷 第3期
2022, 15(3): 405-417.
doi: 10.37188/CO.2021-0198
cstr: 32171.14.CO.2021-0198
摘要:
目前太赫兹(Terahertz, THz)成像技术在许多领域被视为最前沿技术之一,经过20年的发展,取得了巨大进步。随着科研、医疗、军事以及工业应用需求的增长,高分辨率THz图像变得不可或缺。超分辨率成像是目前THz技术的研究热点。本文首先回顾了THz系统的成像方法,包括连续波成像与脉冲波成像两种方式;在此基础上,详细介绍了THz超分辨率成像系统与THz信号处理技术,其中超分辨率成像系统包括近场成像、超透镜以及太喷射装置等,THz信号处理技术包括超分辨率重建与卷积计算等;最后,通过分析目前超分辨率成像存在的不足,比如系统的制造工艺要求高、采集速度慢以及重建图像使用的学习样本分辨率较低等,从而进一步对超分辨率成像研究方向进行展望。
目前太赫兹(Terahertz, THz)成像技术在许多领域被视为最前沿技术之一,经过20年的发展,取得了巨大进步。随着科研、医疗、军事以及工业应用需求的增长,高分辨率THz图像变得不可或缺。超分辨率成像是目前THz技术的研究热点。本文首先回顾了THz系统的成像方法,包括连续波成像与脉冲波成像两种方式;在此基础上,详细介绍了THz超分辨率成像系统与THz信号处理技术,其中超分辨率成像系统包括近场成像、超透镜以及太喷射装置等,THz信号处理技术包括超分辨率重建与卷积计算等;最后,通过分析目前超分辨率成像存在的不足,比如系统的制造工艺要求高、采集速度慢以及重建图像使用的学习样本分辨率较低等,从而进一步对超分辨率成像研究方向进行展望。
2022, 15(3): 418-425.
doi: 10.37188/CO.2021-0203
cstr: 32171.14.CO.2021-0203
摘要:
通过构造含石墨烯缺陷光子晶体结构模型($ {\rm{ACG}}^{K_1}$ CB)NCGKC(${\rm{BCG}}^{K_2} $ CA)M,利用传输矩阵法理论和计算机模拟仿真的方式,研究了石墨烯缺陷对光子晶体光吸收特性的调制作用。当光子晶体中引入石墨烯缺陷后,光子晶体的光吸收率增强,并出现明显的窄带吸收峰。随着周期数M或K2增大,光子晶体的光吸收率增强,当M=6时吸收率达到96.55%,当K2=4时吸收率达到43.30%,而且吸收峰随M增大向短波方向移动,但随K2增大向长波方向移动。随着周期数K增大,光子晶体的光吸收率先增大到极大值后再减弱,且吸收峰向短波方向移动。随着A介质层(硅单质)厚度dA的增大,光子晶体的光吸收率增强,当dA=178.25 nm时吸收率达到48.54%,且吸收峰向长波方向移动;随着B、C介质层(分别为四氯化碳和砷化镓)厚度dB、dC增大,光子晶体的光吸收率减弱,当dB=178.25 nm时吸收率为33.12%,当dC=155.25 nm时吸收率为25.89%,且吸收峰向长波方向移动。随着光入射角θ增大,光子晶体的光吸收率先增大到极大值后再减弱,且吸收峰向短波方向移动。研究结果表明石墨烯缺陷对光子晶体光吸收特性具有很好的调制作用,为新型光学吸收器、滤波器和全反射器等材料研究和选择提供理论参考。
通过构造含石墨烯缺陷光子晶体结构模型(
2022, 15(3): 426-432.
doi: 10.37188/CO.2021-0200
cstr: 32171.14.CO.2021-0200
摘要:
腔面光学灾变损伤是制约半导体激光器输出功率以及可靠性的主要因素之一,量子阱混杂技术是最常用的解决腔面灾变性光学损伤的方法。为了制备高功率、高可靠性半导体激光器单管器件,对Si杂质诱导量子阱混杂工艺进行了探索。本文使用Si介质层作为扩散源,采用管式炉高温退火的方法进行Si杂质扩散诱导量子阱混杂研究。实验并分析了介质膜厚度、退火条件、量子垒材料、牺牲层材料等因素对InGaAs/GaAs(P)量子阱蓝移量的影响。实验发现,量子阱和量子垒的混杂效果随着扩散时间以及退火温度增加而增大,且对温度尤其敏感。当退火条件为780 ℃、10 h时,InGaAs/GaAsP结构的波长蓝移量达到70.5 nm,量子垒为GaAsP时比GaAs有更好的促进蓝移效果。相同外延结构下,InGaP牺牲层结构相比AlGaAs牺牲层有更大的波长蓝移。
腔面光学灾变损伤是制约半导体激光器输出功率以及可靠性的主要因素之一,量子阱混杂技术是最常用的解决腔面灾变性光学损伤的方法。为了制备高功率、高可靠性半导体激光器单管器件,对Si杂质诱导量子阱混杂工艺进行了探索。本文使用Si介质层作为扩散源,采用管式炉高温退火的方法进行Si杂质扩散诱导量子阱混杂研究。实验并分析了介质膜厚度、退火条件、量子垒材料、牺牲层材料等因素对InGaAs/GaAs(P)量子阱蓝移量的影响。实验发现,量子阱和量子垒的混杂效果随着扩散时间以及退火温度增加而增大,且对温度尤其敏感。当退火条件为780 ℃、10 h时,InGaAs/GaAsP结构的波长蓝移量达到70.5 nm,量子垒为GaAsP时比GaAs有更好的促进蓝移效果。相同外延结构下,InGaP牺牲层结构相比AlGaAs牺牲层有更大的波长蓝移。
2022, 15(3): 433-442.
doi: 10.37188/CO.2021-0216
cstr: 32171.14.CO.2021-0216
摘要:
为使光纤激光器在被动谐波锁模状态下实现锁模脉冲高重复频率输出,本文通过激光沉积法制备了一种基于非线性拓扑绝缘体材料碲化铋与侧面抛磨光纤相结合的可饱和吸收体锁模器件,该器件调制深度、非饱和损耗、饱和强度分别为23.96%、37.77%、31.5 MW/cm2。将其应用在掺铒光纤激光器中,通过对整个腔内色散参数的调整,以及利用材料自身良好的非线性可饱和吸收能力,成功实现了锁模自启动,其中心波长为1555.67 nm,脉冲宽度为487 fs,重复频率为47.87 MHz,信噪比为58 dB。当泵浦功率超过150 mW时出现锁模脉冲的谐波分裂,持续对泵浦功率进行微调,增加直至最高功率250 mW时,出现了11阶谐波锁模脉冲,重复频率最高达到528 MHz,此时的信噪比为41.5 dB。本文结果证明利用侧面抛磨光纤结构的倏逝场,能够辅助材料提升一定的激光抗损伤能力,便于其在基本锁模状态下进一步实现被动谐波锁模,满足锁模脉冲高重频的产生及探究,对材料在高重频超快光纤激光器中的应用具有重要意义。
为使光纤激光器在被动谐波锁模状态下实现锁模脉冲高重复频率输出,本文通过激光沉积法制备了一种基于非线性拓扑绝缘体材料碲化铋与侧面抛磨光纤相结合的可饱和吸收体锁模器件,该器件调制深度、非饱和损耗、饱和强度分别为23.96%、37.77%、31.5 MW/cm2。将其应用在掺铒光纤激光器中,通过对整个腔内色散参数的调整,以及利用材料自身良好的非线性可饱和吸收能力,成功实现了锁模自启动,其中心波长为1555.67 nm,脉冲宽度为487 fs,重复频率为47.87 MHz,信噪比为58 dB。当泵浦功率超过150 mW时出现锁模脉冲的谐波分裂,持续对泵浦功率进行微调,增加直至最高功率250 mW时,出现了11阶谐波锁模脉冲,重复频率最高达到528 MHz,此时的信噪比为41.5 dB。本文结果证明利用侧面抛磨光纤结构的倏逝场,能够辅助材料提升一定的激光抗损伤能力,便于其在基本锁模状态下进一步实现被动谐波锁模,满足锁模脉冲高重频的产生及探究,对材料在高重频超快光纤激光器中的应用具有重要意义。
2022, 15(3): 443-453.
doi: 10.37188/CO.2021-0223
cstr: 32171.14.CO.2021-0223
摘要:
由于低信噪比的小样本太赫兹光谱的可区分性特征提取困难和样本量过少带来的深度学习模型自身的过拟合问题,将太赫兹光谱与深度学习相结合应用于心肌淀粉样变检测仍面临挑战。本文提出了一种基于多模块顺序级联的分类模型,用于心肌淀粉样变在算法层面的实时检测。首先,采集了少量的低信噪比太赫兹光谱并对其进行预处理。其次,构建了一个基于卷积降噪自编码器、多尺度特征提取模块、密集连接模块的深度学习模型。最后,通过五折交叉验证策略进行病变预测,以获得稳定、可靠的结果。 10次独立重复实验和对比实验结果表明,该方法能对含噪光谱进行准确、稳定的分类,且其综合指标更优。不同样本量下的实验表明,本方法对样本量变化具有适应性:数据量为100时可达到95%的准确率;数据量仅为20时,该模型仍能取得70%的准确率。该项工作对心肌淀粉样变的实时、高效、安全诊断具有重要意义。
由于低信噪比的小样本太赫兹光谱的可区分性特征提取困难和样本量过少带来的深度学习模型自身的过拟合问题,将太赫兹光谱与深度学习相结合应用于心肌淀粉样变检测仍面临挑战。本文提出了一种基于多模块顺序级联的分类模型,用于心肌淀粉样变在算法层面的实时检测。首先,采集了少量的低信噪比太赫兹光谱并对其进行预处理。其次,构建了一个基于卷积降噪自编码器、多尺度特征提取模块、密集连接模块的深度学习模型。最后,通过五折交叉验证策略进行病变预测,以获得稳定、可靠的结果。 10次独立重复实验和对比实验结果表明,该方法能对含噪光谱进行准确、稳定的分类,且其综合指标更优。不同样本量下的实验表明,本方法对样本量变化具有适应性:数据量为100时可达到95%的准确率;数据量仅为20时,该模型仍能取得70%的准确率。该项工作对心肌淀粉样变的实时、高效、安全诊断具有重要意义。
2022, 15(3): 454-463.
doi: 10.37188/CO.2021-0208
cstr: 32171.14.CO.2021-0208
摘要:
为了识别空间目标的椭圆部件,提出了一种基于自适应光学图像的椭圆检测方法。首先,利用RL(Richardson-Lucy)方法对自适应光学图像进行复原,在此基础上,采用弧支撑线段(Arc-Support Line Segments, ASLS)方法对复原图像进行椭圆检测。针对ASLS算法使用的Canny边缘提取算法带来的“弧段过分割”和“语义信息差”等问题,提出了基于多尺度组合分组(Multiscale Combinatorial Grouping, MCG)边缘提取的解决方法。最后,针对ASLS算法使用优度指标等验证方法存在部分虚假椭圆的情况,综合利用多种几何指标进行约束,有效地消除了虚假椭圆。实验结果表明:椭圆中心点检测误差优于3 pixels,半长轴误差优于4 pixels,方向角误差优于3°。在重叠面积门限为0.65时,本文算法的准确率为85.7%、召回率为93.3%,F值指标为0.893,优于传统椭圆检测算法。
为了识别空间目标的椭圆部件,提出了一种基于自适应光学图像的椭圆检测方法。首先,利用RL(Richardson-Lucy)方法对自适应光学图像进行复原,在此基础上,采用弧支撑线段(Arc-Support Line Segments, ASLS)方法对复原图像进行椭圆检测。针对ASLS算法使用的Canny边缘提取算法带来的“弧段过分割”和“语义信息差”等问题,提出了基于多尺度组合分组(Multiscale Combinatorial Grouping, MCG)边缘提取的解决方法。最后,针对ASLS算法使用优度指标等验证方法存在部分虚假椭圆的情况,综合利用多种几何指标进行约束,有效地消除了虚假椭圆。实验结果表明:椭圆中心点检测误差优于3 pixels,半长轴误差优于4 pixels,方向角误差优于3°。在重叠面积门限为0.65时,本文算法的准确率为85.7%、召回率为93.3%,F值指标为0.893,优于传统椭圆检测算法。
2022, 15(3): 464-475.
doi: 10.37188/CO.2021-0194
cstr: 32171.14.CO.2021-0194
摘要:
薄壁叶片在结构光检测过程中,由于其表面粗糙度较小,易产生强烈的反光现象,影响求解条纹相位主值,进而无法准确重构出三维点云。本文以加工过程中的叶片作为研究对象,提出一种对在机检测过程中的条纹图像进行图像增强处理的Retinex算法,恢复条纹在高反光位置的信息。首先,对薄壁叶片的反光特性进行分析,通过实验标定出最优曝光的灰度区间和理想灰度值,建立了光圈转动角度与图像平均灰度的相机响应曲线模型,调节光圈和曝光时间至最优曝光的灰度区间并以此作为检测条件。其次,基于Retinex算法处理条纹图像,通过改进的双边滤波代替常用的高斯滤波,在去除光照的同时有效保留了条纹的边缘信息。最后,对薄壁叶片进行单目结构光检测。实验结果表明,经本文算法处理后的条纹图像,通过Canny算子检测出的条纹数量最多,图像信息熵平均增长率达18.21%,解算的相位主值误差最小,利用手持式激光扫描仪检测的标准点云进行偏差分析,点云的正、负偏差分别降至0.0589 mm和−0.0590 mm,与原点云的偏差值相比分别减少了44.6%和44.1%,表面质量得到明显改善。本文提出的图像增强算法有效抑制了面结构光检测过程中的金属表面反光。
薄壁叶片在结构光检测过程中,由于其表面粗糙度较小,易产生强烈的反光现象,影响求解条纹相位主值,进而无法准确重构出三维点云。本文以加工过程中的叶片作为研究对象,提出一种对在机检测过程中的条纹图像进行图像增强处理的Retinex算法,恢复条纹在高反光位置的信息。首先,对薄壁叶片的反光特性进行分析,通过实验标定出最优曝光的灰度区间和理想灰度值,建立了光圈转动角度与图像平均灰度的相机响应曲线模型,调节光圈和曝光时间至最优曝光的灰度区间并以此作为检测条件。其次,基于Retinex算法处理条纹图像,通过改进的双边滤波代替常用的高斯滤波,在去除光照的同时有效保留了条纹的边缘信息。最后,对薄壁叶片进行单目结构光检测。实验结果表明,经本文算法处理后的条纹图像,通过Canny算子检测出的条纹数量最多,图像信息熵平均增长率达18.21%,解算的相位主值误差最小,利用手持式激光扫描仪检测的标准点云进行偏差分析,点云的正、负偏差分别降至0.0589 mm和−0.0590 mm,与原点云的偏差值相比分别减少了44.6%和44.1%,表面质量得到明显改善。本文提出的图像增强算法有效抑制了面结构光检测过程中的金属表面反光。
2022, 15(3): 476-487.
doi: 10.37188/CO.2022-0032
cstr: 32171.14.CO.2022-0032
摘要:
原位观测和数字图像相关(DIC)分析法逐步在金属切削加工过程的塑性变形分析中得到广泛应用,其测量分析过程直观准确,已经成为一种主要的材料变形分析手段。为了在金属微细正交切削原位显微成像分析时,既能获得大观测视野又能使位移场分析结果清晰直观,本文提出改进型图像尺寸压缩匹配搜索算法对图像序列间的位移偏差进行检测补偿,将切削工况由工件做进给运动转化为刀具做进给运动。与归一化积相关匹配搜索算法进行对比验证,结果显示,所提出算法在大幅度提高执行效率的同时还具有很高的搜索精度。最后,在图像序列间选取两张图像进行位移偏差补偿以及变形区位移场DIC分析,结果显示本文补偿方法可以对工件进给运动和外界环境中振动引起的位移偏差进行有效补偿,使得变形区位移场分析结果中工件材料间的相对运动趋势更为直观。
原位观测和数字图像相关(DIC)分析法逐步在金属切削加工过程的塑性变形分析中得到广泛应用,其测量分析过程直观准确,已经成为一种主要的材料变形分析手段。为了在金属微细正交切削原位显微成像分析时,既能获得大观测视野又能使位移场分析结果清晰直观,本文提出改进型图像尺寸压缩匹配搜索算法对图像序列间的位移偏差进行检测补偿,将切削工况由工件做进给运动转化为刀具做进给运动。与归一化积相关匹配搜索算法进行对比验证,结果显示,所提出算法在大幅度提高执行效率的同时还具有很高的搜索精度。最后,在图像序列间选取两张图像进行位移偏差补偿以及变形区位移场DIC分析,结果显示本文补偿方法可以对工件进给运动和外界环境中振动引起的位移偏差进行有效补偿,使得变形区位移场分析结果中工件材料间的相对运动趋势更为直观。
2022, 15(3): 488-497.
doi: 10.37188/CO.2021-0220
cstr: 32171.14.CO.2021-0220
摘要:
高反光表面的三维面形测量是光学三维测量领域的难题之一,本文提出一种基于逐像素调制的高反光表面三维测量方法,可解决光学三维测量中因过度曝光而导致的相位信息无法获取的问题。首先,通过投影最大灰度值的灰度图识别饱和像素点的位置;然后,依据投影低灰度下横纵条纹图进行过饱和区域坐标匹配,并结合一种新的相机-投影仪强度映射关系,逐像素求解过饱和像素点的最佳投影灰度值;最后,投影重新生成自适应条纹投影序列,并结合多频外差相移法用于相位恢复和三维重建。实验结果表明:所提方法的间距平均误差和标准偏差均小于文中其他方法所得的测量值,相对于传统方法,该方法的平均误差减少了61.9%,标准偏差减少了67.7%。本文所提方法的调制度高,速度快,能保证很高的测量精度。
高反光表面的三维面形测量是光学三维测量领域的难题之一,本文提出一种基于逐像素调制的高反光表面三维测量方法,可解决光学三维测量中因过度曝光而导致的相位信息无法获取的问题。首先,通过投影最大灰度值的灰度图识别饱和像素点的位置;然后,依据投影低灰度下横纵条纹图进行过饱和区域坐标匹配,并结合一种新的相机-投影仪强度映射关系,逐像素求解过饱和像素点的最佳投影灰度值;最后,投影重新生成自适应条纹投影序列,并结合多频外差相移法用于相位恢复和三维重建。实验结果表明:所提方法的间距平均误差和标准偏差均小于文中其他方法所得的测量值,相对于传统方法,该方法的平均误差减少了61.9%,标准偏差减少了67.7%。本文所提方法的调制度高,速度快,能保证很高的测量精度。
2022, 15(3): 498-507.
doi: 10.37188/CO.2021-0231
cstr: 32171.14.CO.2021-0231
摘要:
红外辐射测量系统的成像性能以及测量精度受到焦平面阵列非均匀性的严重影响,原始红外图像的非均匀性需通过后期图像处理算法进行校正。为进一步提高制冷型红外探测器的非均匀性校正(NUC)效果,本文提出了一种基于定标的非均匀性改进算法。该算法以单点定标和两点定标非均匀性校正方法为基础,既保留两点定标非均匀性校正方法增益校正系数的一致性优势,又结合了单点定标偏置校正系数的稳定性,使得改进算法具有更好的校正效果。为了验证该改进算法的校正效果,本文以640 pixel×512 pixel大小的制冷型中波红外探测器为研究对象,采用入瞳直径为25 mm的红外成像系统对提出的算法进行实验验证。实验结果表明:在1 ms积分时间下,单点定标方法、两点定标方法及改进算法校正后的图像非均匀性分别为1.7833%、0.2190%和0.1481%;2 ms积分时间下的非均匀性分别为1.8257%、2.2474%和1.6546%。改进算法整体上进一步降低了图像的非均匀性,校正效果更好、精度更高。
红外辐射测量系统的成像性能以及测量精度受到焦平面阵列非均匀性的严重影响,原始红外图像的非均匀性需通过后期图像处理算法进行校正。为进一步提高制冷型红外探测器的非均匀性校正(NUC)效果,本文提出了一种基于定标的非均匀性改进算法。该算法以单点定标和两点定标非均匀性校正方法为基础,既保留两点定标非均匀性校正方法增益校正系数的一致性优势,又结合了单点定标偏置校正系数的稳定性,使得改进算法具有更好的校正效果。为了验证该改进算法的校正效果,本文以640 pixel×512 pixel大小的制冷型中波红外探测器为研究对象,采用入瞳直径为25 mm的红外成像系统对提出的算法进行实验验证。实验结果表明:在1 ms积分时间下,单点定标方法、两点定标方法及改进算法校正后的图像非均匀性分别为1.7833%、0.2190%和0.1481%;2 ms积分时间下的非均匀性分别为1.8257%、2.2474%和1.6546%。改进算法整体上进一步降低了图像的非均匀性,校正效果更好、精度更高。
2022, 15(3): 508-513.
doi: 10.37188/CO.2021-0179
cstr: 32171.14.CO.2021-0179
摘要:
根据同步辐射光束在建线站项目需要,提出变截面压弯椭球柱面反射镜方案。该方案基于变宽度压弯椭圆柱面聚焦镜设计理论,推导出变截面(带弧矢聚焦)反射镜镜面斜率误差的计算公式,并进行优化设计。本研究基于聚焦镜光学参数(物距$p$ 、像距$q$ 和掠入射角$\theta $ )进行设计,最终借助有限元分析软件计算反射镜的设计误差。结果表明,在此需求下,反射镜两端最优宽度分别为49.5 mm和90.5 mm,对反射镜两端压弯弯矩进行计算、仿真、优化后,其斜率误差均方根值由~5.1368 μrad降低至~0.0636 μrad(取1 m长),接近系统误差(~0.0407 μrad) ,满足设计要求(<0.1 μrad)。
根据同步辐射光束在建线站项目需要,提出变截面压弯椭球柱面反射镜方案。该方案基于变宽度压弯椭圆柱面聚焦镜设计理论,推导出变截面(带弧矢聚焦)反射镜镜面斜率误差的计算公式,并进行优化设计。本研究基于聚焦镜光学参数(物距
2022, 15(3): 514-524.
doi: 10.37188/CO.2021-0181
cstr: 32171.14.CO.2021-0181
摘要:
彩色共聚焦测量技术因无需轴向扫描,测量精度和测量效率高等优点,被广泛应用于工业领域,如高度测量和透明材料厚度检测等。然而,常见的彩色共聚焦系统多为同轴照明结构,即照明光轴和成像光轴都垂直于被测试样,系统的信噪比和光能利用率大大降低。现有的斜照明系统成像面光点漂移量较大,测量精度和应用范围受限。为此,本文提出一种改进的斜照明式彩色共聚焦测量方法,将现有斜照明系统的“V字形”结构调整为“三轴结构”,通过增加调节支路限制光点的漂移;同时,利用面阵彩色相机作为光电接收器件,结合颜色转换算法通过光点颜色得到所需高度值。本文先进行标定实验确定本装置的测量范围及精度;再依次以自制台阶和透明材料作为测量对象,得到相应的被测值。同时,为了验证改进后的系统性能,在相同条件下利用“V字型”系统进行对比实验。实验结果表明,该系统的轴向测量范围为350 μm,重复性优于1.69,轴向测量精度可达到微米级,且该系统具有良好的透明材料厚度测量能力。通过对比试验可以验证,系统对于光点漂移具有良好的抑制效果,且抑制后系统的测量准确度有明显提升。
彩色共聚焦测量技术因无需轴向扫描,测量精度和测量效率高等优点,被广泛应用于工业领域,如高度测量和透明材料厚度检测等。然而,常见的彩色共聚焦系统多为同轴照明结构,即照明光轴和成像光轴都垂直于被测试样,系统的信噪比和光能利用率大大降低。现有的斜照明系统成像面光点漂移量较大,测量精度和应用范围受限。为此,本文提出一种改进的斜照明式彩色共聚焦测量方法,将现有斜照明系统的“V字形”结构调整为“三轴结构”,通过增加调节支路限制光点的漂移;同时,利用面阵彩色相机作为光电接收器件,结合颜色转换算法通过光点颜色得到所需高度值。本文先进行标定实验确定本装置的测量范围及精度;再依次以自制台阶和透明材料作为测量对象,得到相应的被测值。同时,为了验证改进后的系统性能,在相同条件下利用“V字型”系统进行对比实验。实验结果表明,该系统的轴向测量范围为350 μm,重复性优于1.69,轴向测量精度可达到微米级,且该系统具有良好的透明材料厚度测量能力。通过对比试验可以验证,系统对于光点漂移具有良好的抑制效果,且抑制后系统的测量准确度有明显提升。
2022, 15(3): 525-533.
doi: 10.37188/CO.2021-0202
cstr: 32171.14.CO.2021-0202
摘要:
月球是理想的在轨辐射定标源,为提高卫星等在轨航空器的长波红外辐射测量精度,本文开展了月球长波红外辐射特性研究。通过分析月球辐射来源类型、辐射探测机理和建立辐射探测模型,探寻点目标/圆盘目标模式下月球的长波红外辐射规律,并依据天基实测数据计算其定标应用精度。首先,从月球自身辐射和反射太阳辐射两方面研究月球辐射,精确拟合月表温度,建立月球红外辐射模型,仿真两部分天基卫星辐射探测结果与月相角的数学关系;其次,对卫星红外载荷进行地面辐射定标,获得图像灰度-辐照度之间转换的关键参数,进而建立了月球长波红外辐射探测模型;最后,通过“吉林一号”对月拍摄实测数据,反演计算了探测模型中月表的反射率和发射率。实验结果表明:本文所得的月表长波红外辐射特性结果准确、鲁棒性高,与Apollo 12070实验室测量结果、Diviner实测数据拟合结果相比,月球发射率和反射率的误差分别约为7.18%和5.71%。
月球是理想的在轨辐射定标源,为提高卫星等在轨航空器的长波红外辐射测量精度,本文开展了月球长波红外辐射特性研究。通过分析月球辐射来源类型、辐射探测机理和建立辐射探测模型,探寻点目标/圆盘目标模式下月球的长波红外辐射规律,并依据天基实测数据计算其定标应用精度。首先,从月球自身辐射和反射太阳辐射两方面研究月球辐射,精确拟合月表温度,建立月球红外辐射模型,仿真两部分天基卫星辐射探测结果与月相角的数学关系;其次,对卫星红外载荷进行地面辐射定标,获得图像灰度-辐照度之间转换的关键参数,进而建立了月球长波红外辐射探测模型;最后,通过“吉林一号”对月拍摄实测数据,反演计算了探测模型中月表的反射率和发射率。实验结果表明:本文所得的月表长波红外辐射特性结果准确、鲁棒性高,与Apollo 12070实验室测量结果、Diviner实测数据拟合结果相比,月球发射率和反射率的误差分别约为7.18%和5.71%。
2022, 15(3): 534-544.
doi: 10.37188/CO.2021-0187
cstr: 32171.14.CO.2021-0187
摘要:
利用平面反射镜进行光路折转以减小航空遥感器体积及质量是一种常用设计手段,而平面反射镜的引入对航空遥感器的装调工作提出了更高的要求。为此本文提出了一种用于航空遥感器平面反射镜系统的装调方法。利用坐标变换法建立经纬仪测量数学模型,推导出单个平面反射镜组件及平面反射镜系统角度偏差(俯仰偏差及方位偏差)与经纬仪测量值之间的对应关系。提出了利用经纬仪完成平面反射镜系统角度偏差测量及装调的方法。最终使镜头光轴与焦平面安装面法线的俯仰偏差和方位偏差均满足不大于2′的指标要求。应用该方法已完成10余套航空遥感器反射镜系统的装调,方法方便高效。同时,该方法可为各种光学仪器中平面反射镜角度标定及装调提供解决思路。
利用平面反射镜进行光路折转以减小航空遥感器体积及质量是一种常用设计手段,而平面反射镜的引入对航空遥感器的装调工作提出了更高的要求。为此本文提出了一种用于航空遥感器平面反射镜系统的装调方法。利用坐标变换法建立经纬仪测量数学模型,推导出单个平面反射镜组件及平面反射镜系统角度偏差(俯仰偏差及方位偏差)与经纬仪测量值之间的对应关系。提出了利用经纬仪完成平面反射镜系统角度偏差测量及装调的方法。最终使镜头光轴与焦平面安装面法线的俯仰偏差和方位偏差均满足不大于2′的指标要求。应用该方法已完成10余套航空遥感器反射镜系统的装调,方法方便高效。同时,该方法可为各种光学仪器中平面反射镜角度标定及装调提供解决思路。
2022, 15(3): 545-551.
doi: 10.37188/CO.2021-0182
cstr: 32171.14.CO.2021-0182
摘要:
限制自适应光学(Adaptive Optics, AO)系统表现的一个关键因素是由波前传感器所在路径和科学成像路径之间差异引起的非共光路像差(Non-Common Path Aberration,NCPA),同时AO系统共光路部分也会不可避免地引入静态像差。为此,本文提出了一种基于焦面点扩散函数(Point Spread Function,PSF)复制的技术,用于校正AO系统中的静态像差。此技术利用点光源产生的PSF图像作为参考图像,通过迭代优化算法控制可变形镜改变其面型,将参考PSF图像复制到AO系统科学成像路径。实验结果表明,校正后的斯特列尔比(Strehl Ratio,SR)从初始的0.312提高到0.995。此技术可以稳定、快速地获得全局校正结果,特别是在系统具有较大的初始静态像差时。
限制自适应光学(Adaptive Optics, AO)系统表现的一个关键因素是由波前传感器所在路径和科学成像路径之间差异引起的非共光路像差(Non-Common Path Aberration,NCPA),同时AO系统共光路部分也会不可避免地引入静态像差。为此,本文提出了一种基于焦面点扩散函数(Point Spread Function,PSF)复制的技术,用于校正AO系统中的静态像差。此技术利用点光源产生的PSF图像作为参考图像,通过迭代优化算法控制可变形镜改变其面型,将参考PSF图像复制到AO系统科学成像路径。实验结果表明,校正后的斯特列尔比(Strehl Ratio,SR)从初始的0.312提高到0.995。此技术可以稳定、快速地获得全局校正结果,特别是在系统具有较大的初始静态像差时。
2022, 15(3): 552-561.
doi: 10.37188/CO.2021-0213
cstr: 32171.14.CO.2021-0213
摘要:
为了更准确地分析基于液晶光波导的电控偏振旋转器的偏振转换长度和偏振转换效率,研究了向列相液晶场致重新取向的渐变特性。首先,根据液晶磁场耦合方程组得出的本征值方程构建偏振转换长度与外加电压的对应关系。然后通过对电场传输方程进行横向有限差分离散得到了交替方向隐式束传播法迭代方程组的显式表达,用于求解液晶光波导中的传播场,进而计算偏振转换效率。最后,通过仿真实验求解了本征模式以及传播场,进而分析液晶指向矢的渐变特性对偏振转换长度和偏振转换效率的影响。结果表明,液晶指向矢的渐变对偏振转换长度的影响可以忽略,但其得出的最大偏振转换效率相较于液晶重新取向均匀的求解结果低大约20%。这一结果将为基于液晶光波导的电控偏振旋转器的实际开发提供理论参考。
为了更准确地分析基于液晶光波导的电控偏振旋转器的偏振转换长度和偏振转换效率,研究了向列相液晶场致重新取向的渐变特性。首先,根据液晶磁场耦合方程组得出的本征值方程构建偏振转换长度与外加电压的对应关系。然后通过对电场传输方程进行横向有限差分离散得到了交替方向隐式束传播法迭代方程组的显式表达,用于求解液晶光波导中的传播场,进而计算偏振转换效率。最后,通过仿真实验求解了本征模式以及传播场,进而分析液晶指向矢的渐变特性对偏振转换长度和偏振转换效率的影响。结果表明,液晶指向矢的渐变对偏振转换长度的影响可以忽略,但其得出的最大偏振转换效率相较于液晶重新取向均匀的求解结果低大约20%。这一结果将为基于液晶光波导的电控偏振旋转器的实际开发提供理论参考。
2022, 15(3): 562-567.
doi: 10.37188/CO.2022-0090
cstr: 32171.14.CO.2022-0090
摘要:
为提高光电跟踪控制系统的跟踪速度和稳态精度,本文对光电跟踪伺服系统的控制方法进行了研究。首先,为了满足系统功能和性能指标要求,对伺服转台进行了结构设计。然后,设计自抗扰控制算法,得到了跟踪微分器、线性扩张状态观测器及状态误差反馈控制律。接着,在Matlab/Simulink中建立了基于自抗扰算法的跟踪伺服系统模型,位置环和速度环采取了二阶自抗扰控制策略,电流环采取了PI控制策略。仿真分析结果表明,定位跟踪时可实现无超调,并具有最快的响应速度,突加扰动时,动态降落最大值为3%,正弦跟踪误差小于0.02°。仿真结果验证了基于自抗扰控制算法的光电跟踪控制系统,在快速响应、稳态精度和抗扰性能等方面均具有较好的控制效果。
为提高光电跟踪控制系统的跟踪速度和稳态精度,本文对光电跟踪伺服系统的控制方法进行了研究。首先,为了满足系统功能和性能指标要求,对伺服转台进行了结构设计。然后,设计自抗扰控制算法,得到了跟踪微分器、线性扩张状态观测器及状态误差反馈控制律。接着,在Matlab/Simulink中建立了基于自抗扰算法的跟踪伺服系统模型,位置环和速度环采取了二阶自抗扰控制策略,电流环采取了PI控制策略。仿真分析结果表明,定位跟踪时可实现无超调,并具有最快的响应速度,突加扰动时,动态降落最大值为3%,正弦跟踪误差小于0.02°。仿真结果验证了基于自抗扰控制算法的光电跟踪控制系统,在快速响应、稳态精度和抗扰性能等方面均具有较好的控制效果。
2022, 15(3): 568-591.
doi: 10.37188/CO.2021-0188
cstr: 32171.14.CO.2021-0188
摘要:
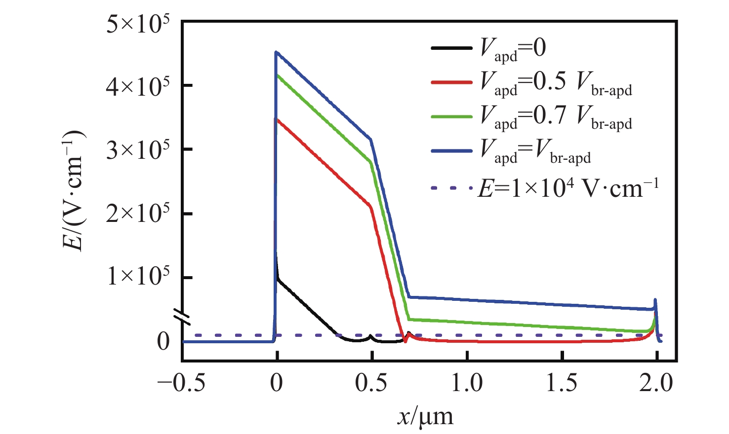
为了实现硅基雪崩光电二极管蓝光波段(400~500 nm)高光响应度,设计了SACM型基本器件结构,探究了倍增层厚度对器件的雪崩击穿电压及光电流增益的影响及倍增层掺杂浓度对光响应度的影响,综合考虑光响应度和击穿电压的因素,结果表明:当表面非耗尽层掺杂浓度为1.0×1018 cm−3、厚度为0.03 μm;吸收层掺杂浓度为1.0×1015 cm−3、厚度为1.3 μm;场控层掺杂浓度为8.0×1016 cm−3、厚度为0.2 μm;倍增层掺杂浓度为1.8×1016 cm−3、厚度为0.5 μm时,器件具有较低的击穿电压Vbr-apd=34.2 V。当Vapd=0.95 Vbr-apd,该结构在蓝光波段具较高的光响应度(SR=3.72~6.08 A·W−1)。上述研究结果对高蓝光探测响应度Si-APD实际器件的制备具有一定的参考价值。
为了实现硅基雪崩光电二极管蓝光波段(400~500 nm)高光响应度,设计了SACM型基本器件结构,探究了倍增层厚度对器件的雪崩击穿电压及光电流增益的影响及倍增层掺杂浓度对光响应度的影响,综合考虑光响应度和击穿电压的因素,结果表明:当表面非耗尽层掺杂浓度为1.0×1018 cm−3、厚度为0.03 μm;吸收层掺杂浓度为1.0×1015 cm−3、厚度为1.3 μm;场控层掺杂浓度为8.0×1016 cm−3、厚度为0.2 μm;倍增层掺杂浓度为1.8×1016 cm−3、厚度为0.5 μm时,器件具有较低的击穿电压Vbr-apd=34.2 V。当Vapd=0.95 Vbr-apd,该结构在蓝光波段具较高的光响应度(SR=3.72~6.08 A·W−1)。上述研究结果对高蓝光探测响应度Si-APD实际器件的制备具有一定的参考价值。
2022, 15(3): 592-607.
doi: 10.37188/CO.2021-0109
cstr: 32171.14.CO.2021-0109
摘要:
为提高微阵列电极 (Microarray electrodes, MAE) 的检测效率,降低生产成本,提出了一种将数字微镜器件 (DMD) 无掩模投影光刻与电化学沉积相结合的技术。首先,利用光刻系统压电平台 (PZS) 的高分辨率运动和DMD生成图案的灵活性等优点,制备了用户可自定义的微结构阵列,接着,通过电化学沉积获得Au导电层,实现了均匀的Au微阵列电极 (Au/MAE) 的制备。然后通过循环伏安法,比较了不同结构的Au/MAE的电化学性能,获得了优化的结构参数。最后,研究了优化后的Au/MAE对于不同浓度和pH值的葡萄糖的电流响应,并通过计时电流法对Au/MAE检测葡萄糖的抗干扰能力进行了测试。电化学分析表明,这种简单的Au/MAE对葡萄糖的电化学检测具有显著的安培响应和较强的抗干扰能力,其灵敏度为101 μA·cm−2·mM−1。这种微阵列电极的制备方法,具有分辨率高、一致性高、工艺简单、成本低的优点,为生物传感阵列的制造提供了切实可行的操作方案。
为提高微阵列电极 (Microarray electrodes, MAE) 的检测效率,降低生产成本,提出了一种将数字微镜器件 (DMD) 无掩模投影光刻与电化学沉积相结合的技术。首先,利用光刻系统压电平台 (PZS) 的高分辨率运动和DMD生成图案的灵活性等优点,制备了用户可自定义的微结构阵列,接着,通过电化学沉积获得Au导电层,实现了均匀的Au微阵列电极 (Au/MAE) 的制备。然后通过循环伏安法,比较了不同结构的Au/MAE的电化学性能,获得了优化的结构参数。最后,研究了优化后的Au/MAE对于不同浓度和pH值的葡萄糖的电流响应,并通过计时电流法对Au/MAE检测葡萄糖的抗干扰能力进行了测试。电化学分析表明,这种简单的Au/MAE对葡萄糖的电化学检测具有显著的安培响应和较强的抗干扰能力,其灵敏度为101 μA·cm−2·mM−1。这种微阵列电极的制备方法,具有分辨率高、一致性高、工艺简单、成本低的优点,为生物传感阵列的制造提供了切实可行的操作方案。
摘要
HTML全文
PDF 5252KB




