留言板

尊敬的读者、作者、审稿人, 关于本刊的投稿、审稿、编辑和出版的任何问题, 您可以本页添加留言。我们将尽快给您答复。谢谢您的支持!

姓名
邮箱
手机号码
标题
留言内容
验证码

A study on the epitaxial structure and characteristics of high-efficiency blue silicon photodetectors

CHEN Wei-shuai WANG Hao-bing TAO Jin Gao Dan LV Jin-guang QIN Yu-xin GUO Guang-tong LI Xiang-lan WANG Qiang ZHANG Jun LIANG Jing-qiu WANG Wei-biao

陈伟帅, 王浩冰, 陶金, 高丹, 吕金光, 秦余欣, 郭广通, 李香兰, 王强, 张军, 梁静秋, 王惟彪. 高效率蓝光硅光探测器外延结构及特性研究[J]. 中国光学(中英文), 2022, 15(3): 568-591. doi: 10.37188/CO.2021-0188
引用本文: 陈伟帅, 王浩冰, 陶金, 高丹, 吕金光, 秦余欣, 郭广通, 李香兰, 王强, 张军, 梁静秋, 王惟彪. 高效率蓝光硅光探测器外延结构及特性研究[J]. 中国光学(中英文), 2022, 15(3): 568-591. doi: 10.37188/CO.2021-0188
CHEN Wei-shuai, WANG Hao-bing, TAO Jin, Gao Dan, LV Jin-guang, QIN Yu-xin, GUO Guang-tong, LI Xiang-lan, WANG Qiang, ZHANG Jun, LIANG Jing-qiu, WANG Wei-biao. A study on the epitaxial structure and characteristics of high-efficiency blue silicon photodetectors[J]. Chinese Optics, 2022, 15(3): 568-591. doi: 10.37188/CO.2021-0188
Citation: CHEN Wei-shuai, WANG Hao-bing, TAO Jin, Gao Dan, LV Jin-guang, QIN Yu-xin, GUO Guang-tong, LI Xiang-lan, WANG Qiang, ZHANG Jun, LIANG Jing-qiu, WANG Wei-biao. A study on the epitaxial structure and characteristics of high-efficiency blue silicon photodetectors[J]. Chinese Optics, 2022, 15(3): 568-591. doi: 10.37188/CO.2021-0188

高效率蓝光硅光探测器外延结构及特性研究

详细信息
  • 中图分类号: TP394.1;TH691.9

A study on the epitaxial structure and characteristics of high-efficiency blue silicon photodetectors

doi: 10.37188/CO.2021-0188
Funds: Supported by National Key Research and Development Program (No. 2018YFB1801902, No. 2018YFB1801901, No. 2019YFB2006003); Science and Technology Development Program Project (No. 20190302062GX); Youth Project of National Natural Science Foundation of China (NSFC) (No. 12004139); Science and Technology Plan Program Project of Guangdong Province (No. 2016B010111003)
More Information
    Author Bio:

    CHEN Wei-shuai (1994—), male, from Liaocheng, Shandong province, graduated from Shandong Jianzhu University in 2018 with a Bachelor of Science degree. Now he is a PhD student of Changchun Institute of Optics, Fine Mechanic and Physics, Chinese Academy of Sciences. He is mainly engaged in the research of nanophotonics and semiconductor photodetectors. E-mail:chenws159@163.com

    WANG Hao-bing (1994—), male, born in Songyuan, Jilin, master degree, in 2020, received a master degree from Changchun Institute of Optics, Fine Mechanics and Physics, Chinese Academy of Sciences (now he is in University of Technology of Troyes (France) - University of Reims (France) to continue his studies). His research interests include nanophotonics and semiconductor photodetectors. E-mail: 996490955@qq.com

    Liang Jingqiu (1962—), female, born in Changchun, Jilin Province, Ph.D., researcher, doctoral supervisor, received a Ph.D. from Changchun Institute of Optics, Fine Mechanics and Physics, Chinese Academy of Sciences in 2003, and is currently a researcher at Changchun Institute of Optics, Fine Mechanics and Physics, Chinese Academy of Sciences. She is mainly engaged in micro/nano optical structure, device and system research, infrared spectroscopy/imaging spectroscopy technology and infrared optical instrument research, micro LED micro display chip and application research and visible light communication device and system research. E-mail: liangjq@ciomp.ac.cn

    Wang Wei-biao (1962—), male, born in Yangzhou, Jiangsu, Ph.D., researcher, doctoral supervisor, received a Ph.D. from Changchun Institute of Optics, Fine Mechanics and Physics, Chinese Academy of Sciences in 1999, and now he is a researcher at Changchun Institute of Optics, Fine Mechanics and Physics, Chinese Academy of Sciences. His research interests include optoelectronic materials and devices, photodetectors, LED array chip integration and applications, photonic crystals, micro-nano photonics, field emission materials and electron emission characteristics. E-mail: wangwb@ciomp.ac.cn

    Corresponding author: liangjq@ciomp.ac.cnwangwb@ciomp.ac.cn
  • 摘要: 为了实现硅基雪崩光电二极管蓝光波段(400~500 nm)高光响应度,设计了SACM型基本器件结构,探究了倍增层厚度对器件的雪崩击穿电压及光电流增益的影响及倍增层掺杂浓度对光响应度的影响,综合考虑光响应度和击穿电压的因素,结果表明:当表面非耗尽层掺杂浓度为1.0×1018 cm−3、厚度为0.03 μm;吸收层掺杂浓度为1.0×1015 cm−3、厚度为1.3 μm;场控层掺杂浓度为8.0×1016 cm−3、厚度为0.2 μm;倍增层掺杂浓度为1.8×1016 cm−3、厚度为0.5 μm时,器件具有较低的击穿电压Vbr-apd=34.2 V。当Vapd=0.95 Vbr-apd,该结构在蓝光波段具较高的光响应度(SR=3.72~6.08 A·W−1)。上述研究结果对高蓝光探测响应度Si-APD实际器件的制备具有一定的参考价值。

     

  • 图 1  SACM-APD基本外延结构

    Figure 1.  The basic epitaxial structure of SACM type Si-APD

    图 2  Si基APD内部电场分布

    Figure 2.  The distribution of electric field in Si-APD

    图 3  硅表面反射率及吸收系数随入射波长的变化情况

    Figure 3.  The surface reflectance and absorption coefficient of the silicon vary with different incident wavelengthes

    图 4  不同入射波长的量子效率与耗尽层厚度的关系

    Figure 4.  The relationship between quantum efficient and incident wavelength under different depletion layer thicknesses

    图 5  在不同耗尽层厚度下,光响应度与入射波长的关系

    Figure 5.  The relationship between spectral response and incident wavelength under different depletion layer thicknesses

    图 6  倍增层厚度与倍增系数M的关系

    Figure 6.  The relationship between the thickness of multiplication layer and multiplication factor M

    图 7  载流子获得能量ΔE与倍增层掺杂浓度的关系

    Figure 7.  Relationship between carrier energy ΔE and multiplication layer doping concentration

    图 8  不同吸收层掺杂浓度下吸收层的场强分布

    Figure 8.  Field intensity distribution of the absorption layer under different doping concentrations

    图 9  不同外加偏压下Si-APD的场强分布

    Figure 9.  The field strength distribution of Si-APD under different applied bias voltages

    图 10  不同表面层厚度Si-APD的光谱响应曲线

    Figure 10.  Effect of thickness of surface layers of Si-APD on spectral responsivity

    图 11  倍增层掺杂浓度对光响应度的影响

    Figure 11.  Effect of doping concentration of multiplication layer on spectral responsivity

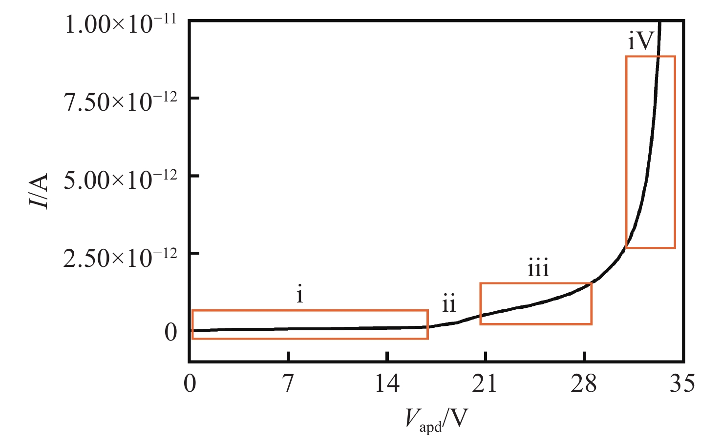
    图 12  Si-APD暗电流的 I-V曲线

    Figure 12.  The dark current I-V curve of Si-APD

    图 13  (a) 不同倍增层偏压下倍增层内电子离化系数; (b) 不同倍增层偏压下倍增层内空穴离化系数

    Figure 13.  (a) Electron ionization coefficients in the multiplication layer under different bias voltages; (b) hole ionization coefficients in the multiplication layer under different bias voltages.

    表  1  Parameters of Si-APD layers

    Table  1.   Parameters of Si-APD layers

    ParameterThickness/μmDoping typeImpurity concentration/
    (cm−3)
    Ws0.06p++Np++= 1.0×1018
    Wa1.30p-Nπ = 1.0×1015
    Wc0.20p+Np+ = 8.0×1016
    Wm0.50pNp = 1.8×1016
    Wsub20.00n++Nn++ = 1.0×1019
    下载: 导出CSV

    表  2  Parameters of Si-APD layers

    Table  2.   Parameters of Si-APD layers

    ParameterThickness/μmDoping typeImpurity concentration/
    (cm−3)
    Ws0.03p++Np++= 1.0×1018
    Wa1.30p-Nπ = 1.0×1015
    Wc0.20p+Np+ = 8.0×1016
    Wm0.50pNp = 1.8×1016
    Wsub20.00n++Nn++ = 1.0×1019
    下载: 导出CSV
  • [1] DENG J ZH, CHENG X H. Visible light vehicle lamp signal transmission control device[J]. Optics and Precision Engineering, 2020, 28(12): 2710-2718. (in Chinese) doi: 10.37188/OPE.20202812.2710
    [2] DONG B, TONG SH F, ZHANG P, et al. Design of a 20 m underwater wireless optical communication system based on blue LED[J]. Chinese Optics, 2021, 14(6): 1451-1458. (in Chinese) doi: 10.37188/CO.2020-0190
    [3] LIU Y, CAI X P, LIN L, et al. Research on the fusion technology of LED visible optical communication network with Ethernet[J]. Optical Communication Technology, 2019, 43(1): 1-4. (in Chinese)
    [4] XU X Y, YUE D W. Orthogonal frequency division multiplexing modulation techniques in visible light communication[J]. Chinese Optics, 2021, 14(3): 516-527. (in Chinese) doi: 10.37188/CO.2020-0051
    [5] ZHOU ZH, MIAO W N, LI Y, et al. Influence mechanism of GaN-LED's PN junction area on modulation bandwidth in visible light communication[J]. Optics and Precision Engineering, 2020, 28(7): 1494-1499. (in Chinese) doi: 10.37188/OPE.20202807.1494
    [6] ZHOU Q CH, BAI Z L, LU L, et al. Remote phosphor technology for white LED applications: advances and prospects[J]. Chinese Optics, 2015, 8(3): 313-328. (in Chinese) doi: 10.3788/co.20150803.0313
    [7] CHEN X B, MIN CH Y. Wireless communication that we can see——visible light communication[J]. Physics, 2020, 49(10): 688-696. (in Chinese) doi: 10.7693/wl20201005
    [8] GAO X M. Study on silicon based nitride homologous optoelectronic integrated chip for visible light communication[D]. Nanjing: Nanjing University of Posts and Telecommunications, 2018. (in Chinese)
    [9] ZIMMERMANN R, BRAUN F, ACHTNICH T, et al. Silicon photomultipliers for improved detection of low light levels in miniature near-infrared spectroscopy instruments[J]. Biomedical Optics Express, 2013, 4(5): 659-666. doi: 10.1364/BOE.4.000659
    [10] WEI J T. The structure design and research of new type APD based on silicon and germanium[D]. Harbin: Harbin Engineering University, 2016. (in Chinese)
    [11] ZHU X X, GE Y, LI J J, et al. Research progress of quantum dot enhanced silicon-based photodetectors[J]. Chinese Optics, 2020, 13(1): 62-74. (in Chinese) doi: 10.3788/co.20201301.0062
    [12] WANG Y M, SHU H W, HAN X Y. High-precision silicon-based integrated optical temperature sensor[J]. Chinese Optics, 2021, 14(6): 1355-1361. (in Chinese) doi: 10.37188/CO.2021-0054
    [13] MOLL J L, VAN OVERSTRAETEN R. Charge multiplication in silicon p-n junctions[J]. Solid-State Electronics, 1963, 6(2): 147-157. doi: 10.1016/0038-1101(63)90009-1
    [14] PEPIN C M, DAUTET H, BERGERON M, et al.. New UV-enhanced, ultra-low noise silicon avalanche photodiode for radiation detection and medical imaging[C]. IEEE Nuclear Science Symposuim & Medical Imaging Conference, IEEE, 2010: 1740-1746.
    [15] OTHMAN M A, YASIN N Y M, ARSHAD T S M, et al.. Variable intrinsic region in CMOS PIN photodiode for I–V characteristic analysis[C]. Proceedings of the 1st International Conference on Communication and Computer Engineering, Springer, 2015: 95-101.
    [16] WANG X D. Optimization of the enhancement of the Si-based APD for near-ultraviolet detection through structural design[D]. Harbin: Harbin Institute of Technology, 2015. (in Chinese)
    [17] HUO L ZH, TAN H SH, HE R, et al. Research of blue-violet enhanced silicon photomultiplier[J]. Laser &Optoelectronics Progress, 2015, 52(11): 110401. (in Chinese)
    [18] LU H H. Simulation study on silicon-based blue-light enhanced APD detector for visible light communication[D]. Guangzhou: Jinan University, 2019. (in Chinese)
    [19] SCHINKE C, PEEST P C, SCHMIDT J, et al. Uncertainty analysis for the coefficient of band-to-band absorption of crystalline silicon[J]. AIP Advances, 2015, 5(6): 067168. doi: 10.1063/1.4923379
    [20] CHEN F. The enhancement of the APD for Blu-Ray detection in VLC[D]. Changchun: Changchun University of Science and Technology, 2018. (in Chinese)
    [21] WANG H B. Research on enhancement in blue-light properties of silicon based avalanche photodiode[D]. Beijing: University of Chinese Academy of Sciences (Changchun Institute of Optics, Precision Machinery and Physics, Chinese Academy of Sciences), 2020. (in Chinese)
    [22] SHI Y L, ZHU H X, YANG X Y, et al. InP-based free running mode single photon avalanche photodiode[J]. Infrared and Laser Engineering, 2020, 49(1): 0103005. (in Chinese)
    [23] LIU E K, ZHU D SH, LUO J SH. Physics of Semiconductors[M]. 7th ed. Beijing: Publishing House of Electronics Industry, 2017: 66-67. (in Chinese)
    [24] CHYNOWETH A G. Chapter 4 charge multiplication phenomena[J]. Semiconductors and Semimetals, 1968, 4: 263-325.
    [25] YANG M. The research of silicon avalanche photodiode single photon detector on space quantum communication[D]. Hefei: University of Science and Technology of China, 2019. (in Chinese)
    [26] LI Y. Theoretical and experimental study on avalanche photodiodes and optimization design[D]. Wuhan: Huazhong University of Science and Technology, 2017. (in Chinese)
    [27] SZE S M, NG K K. Physics of Semiconductor Devices[M]. GENG L, ZHANG R ZH, trans. 3rd ed. Xi'an: Xi'an Jiaotong University Press, 2008. (in Chinese)
    [28] WOODS M H, JOHNSON W C, LAMPERT M A. Use of a Schottky barrier to measure impact ionization coefficients in semiconductors[J]. Solid-State Electronics, 1973, 16(3): 381-394. doi: 10.1016/0038-1101(73)90013-0
    [29] FOSSUM J G, MERTENS R P, LEE D S, et al. Carrier recombination and lifetime in highly doped silicon[J]. Solid-State Electronics, 1983, 26(6): 569-576. doi: 10.1016/0038-1101(83)90173-9
    [30] OLDHAM W G, SAMUELSON R R, ANTOGNETTI P. Triggering phenomena in avalanche diodes[J]. IEEE Transactions on Electron Devices, 1972, 19(9): 1056-1060. doi: 10.1109/T-ED.1972.17544
    [31] GAO D, ZHANG J, WANG F, et al. Design and simulation of ultra-thin and high-efficiency silicon-based trichromatic PIN photodiode arrays for visible light communication[J]. Optics Communications, 2020, 475: 126296. doi: 10.1016/j.optcom.2020.126296
    [32] VAN OVERSTRAETEN R, DE MAN H. Measurement of the ionization rates in diffused silicon p-n junctions[J]. Solid-State Electronics, 1970, 13(5): 583-608. doi: 10.1016/0038-1101(70)90139-5
    [33] SELBERHERR S. Analysis and Simulation of Semiconductor Devices[M]. Vienna: Springer, 1984.
    [34] HALL R N. Electron-hole recombination in germanium[J]. Physical Review, 1952, 87(2): 387.
    [35] SHOCKLEY W, READ JR W T. Statistics of the recombinations of holes and electrons[J]. Physical Review, 1952, 87(5): 835-842. doi: 10.1103/PhysRev.87.835
    [36] ARORA N D, HAUSER J R, ROULSTON D J. Electron and hole mobilities in silicon as a function of concentration and temperature[J]. IEEE Transactions on Electron Devices, 1982, 29(2): 292-295. doi: 10.1109/T-ED.1982.20698
    [37] CAUGHEY D M, THOMAS R E. Carrier mobilities in silicon empirically related to doping and field[J]. Proceedings of the IEEE, 1967, 55(12): 2192-2193. doi: 10.1109/PROC.1967.6123
    [38] MASETTI G, SEVERI M, SOLMI S. Modeling of carrier mobility against carrier concentration in arsenic-, phosphorus-, and boron-doped silicon[J]. IEEE Transactions on Electron Devices, 1983, 30(7): 764-769. doi: 10.1109/T-ED.1983.21207
    [39] FORREST S. Performance of InxGa1-xAsyP1-yphotodiodes with dark current limited by diffusion, generation recombination, and tunneling[J]. IEEE Journal of Quantum Electronics, 1981, 17(2): 217-226. doi: 10.1109/JQE.1981.1071060
    [40] GU H Q. The study of avalanche gain and structural parameter optimization in Si based micro-pixel APD[D]. Harbin: Harbin Institute of Technology, 2012. (in Chinese)
  • 加载中
图(13) / 表(2)
计量
  • 文章访问数:  939
  • HTML全文浏览量:  508
  • PDF下载量:  199
  • 被引次数: 0
出版历程
  • 收稿日期:  2021-11-01
  • 修回日期:  2021-12-07
  • 网络出版日期:  2022-03-01
  • 刊出日期:  2022-05-20

目录

    /

    返回文章
    返回