2020年 13卷 第4期
2020, 13(4): 647-659.
doi: 10.37188/CO.2019-0241
cstr: 32171.14.CO.2019-0241
摘要:
超快激光技术是目前激光乃至物理学和信息科学领域最活跃的研究前沿之一,在工业加工、生物医学和激光雷达等领域具有广泛应用。二维材料具有独特的物理结构及优异的光电特性,作为可饱和吸收体应用于超快激光器时,具备工作波段宽、调制深度可控和恢复时间快等优势。其中,过渡金属硫化物因具有带隙连续可调等特点,已成为二维材料研究领域的重点。本文从过渡金属硫化物的特性出发,介绍了可饱和吸收器件的制作方法,综述了基于新型过渡金属硫化物的超快激光器的研究进展,并对其发展趋势进行了展望。
超快激光技术是目前激光乃至物理学和信息科学领域最活跃的研究前沿之一,在工业加工、生物医学和激光雷达等领域具有广泛应用。二维材料具有独特的物理结构及优异的光电特性,作为可饱和吸收体应用于超快激光器时,具备工作波段宽、调制深度可控和恢复时间快等优势。其中,过渡金属硫化物因具有带隙连续可调等特点,已成为二维材料研究领域的重点。本文从过渡金属硫化物的特性出发,介绍了可饱和吸收器件的制作方法,综述了基于新型过渡金属硫化物的超快激光器的研究进展,并对其发展趋势进行了展望。
2020, 13(4): 660-675.
doi: 10.37188/CO.2019-0231
cstr: 32171.14.CO.2019-0231
摘要:
以新一代同步辐射光源和全相干X射线自由电子激光为代表的先进光源已成为众多学科领域中一种不可或缺的研究工具。先进光源技术不断进步,驱动超精密光学制造快速发展,先进光源中关键聚焦光学元件K-B镜的面形精度是影响光源性能的重要指标,要求其在几十纳弧度以下。然而,高精度K-B镜面形检测技术依然存在较大技术挑战,一直是国内外研究热点。本文介绍了反射式轮廓测量技术即长程轮廓仪(LTP)、纳米测量仪(NOM)以及拼接干涉检测技术等典型K-B镜面形检测技术的基本原理,对比分析了其技术特点,综述了国内外K-B镜面形检测技术的研究现状和最新进展,对发展趋势进行了展望。
以新一代同步辐射光源和全相干X射线自由电子激光为代表的先进光源已成为众多学科领域中一种不可或缺的研究工具。先进光源技术不断进步,驱动超精密光学制造快速发展,先进光源中关键聚焦光学元件K-B镜的面形精度是影响光源性能的重要指标,要求其在几十纳弧度以下。然而,高精度K-B镜面形检测技术依然存在较大技术挑战,一直是国内外研究热点。本文介绍了反射式轮廓测量技术即长程轮廓仪(LTP)、纳米测量仪(NOM)以及拼接干涉检测技术等典型K-B镜面形检测技术的基本原理,对比分析了其技术特点,综述了国内外K-B镜面形检测技术的研究现状和最新进展,对发展趋势进行了展望。
2020, 13(4): 676-694.
doi: 10.37188/CO.2019-0208
cstr: 32171.14.CO.2019-0208
摘要:
高功率连续波掺镱光纤激光器因具有电光效率高、光束质量好、热管理方便等优点,在工业加工、军事国防、科学研究等领域得到广泛应用,但是高功率条件下的非线性效应和热效应限制了其输出功率的进一步提升。基于此,本文重点分析了受激拉曼散射非线性效应和热致模式不稳定现象的形成机理和抑制方法,为高功率光纤激光系统的设计与集成提供了参考,并详细介绍了2015年以来为克服两种因素的影响所取得的最新研究成果,最后展望了高功率连续波掺镱光纤激光器的发展趋势。
高功率连续波掺镱光纤激光器因具有电光效率高、光束质量好、热管理方便等优点,在工业加工、军事国防、科学研究等领域得到广泛应用,但是高功率条件下的非线性效应和热效应限制了其输出功率的进一步提升。基于此,本文重点分析了受激拉曼散射非线性效应和热致模式不稳定现象的形成机理和抑制方法,为高功率光纤激光系统的设计与集成提供了参考,并详细介绍了2015年以来为克服两种因素的影响所取得的最新研究成果,最后展望了高功率连续波掺镱光纤激光器的发展趋势。
2020, 13(4): 695-704.
doi: 10.37188/CO.2020-0052
cstr: 32171.14.CO.2020-0052
摘要:
纤维增强碳化硅复合材料具有优异的力学及热学性能被广泛应用在航空航天、核能、汽车、化工等诸多领域,特别是在光学反射镜方面有良好的应用前景。本文介绍了纤维增强碳化硅复合材料的特点以及其相对传统反射镜材料的优势,对比分析了不同纤维增强碳化硅复合材料制备工艺的优缺点,阐述了不同界面层对纤维的保护作用及对复合材料性能的影响,综述了国内外纤维增强碳化硅复合材料在光学反射镜领域的应用进展,最后总结了纤维增强碳化硅反射镜坯实现大规模应用所需进一步开展的研究方向。
纤维增强碳化硅复合材料具有优异的力学及热学性能被广泛应用在航空航天、核能、汽车、化工等诸多领域,特别是在光学反射镜方面有良好的应用前景。本文介绍了纤维增强碳化硅复合材料的特点以及其相对传统反射镜材料的优势,对比分析了不同纤维增强碳化硅复合材料制备工艺的优缺点,阐述了不同界面层对纤维的保护作用及对复合材料性能的影响,综述了国内外纤维增强碳化硅复合材料在光学反射镜领域的应用进展,最后总结了纤维增强碳化硅反射镜坯实现大规模应用所需进一步开展的研究方向。
2020, 13(4): 705-712.
doi: 10.37188/CO.2019-0217
cstr: 32171.14.CO.2019-0217
摘要:
数字同轴全息对刀技术中,再现像中的零级项和离焦共轭像会形成一个强而复杂的背景噪声作用在实像上,严重降低了再现像的质量。针对全息应用中的干扰像问题,提出了一种基于改进自蛇模型滤波的全息图像增强方法,改进后的自蛇模型令每次扩散中只根据初始图像的梯度来选择扩散力度。实验结果表明,改进后的自蛇模型能够避免在扩散过程中由于受大梯度背景噪声影响而出现的“伪轮廓”和边缘锯齿化,弥补了自蛇模型在全息图像应用中的不足。此外,与相位恢复法和多重再现法去干扰像效果相比较,本文提出的改进自蛇模型滤波法不仅对干扰像有更好的抑制作用,还能够增强刀具边缘,有利于实现微铣刀的数字全息对刀。
数字同轴全息对刀技术中,再现像中的零级项和离焦共轭像会形成一个强而复杂的背景噪声作用在实像上,严重降低了再现像的质量。针对全息应用中的干扰像问题,提出了一种基于改进自蛇模型滤波的全息图像增强方法,改进后的自蛇模型令每次扩散中只根据初始图像的梯度来选择扩散力度。实验结果表明,改进后的自蛇模型能够避免在扩散过程中由于受大梯度背景噪声影响而出现的“伪轮廓”和边缘锯齿化,弥补了自蛇模型在全息图像应用中的不足。此外,与相位恢复法和多重再现法去干扰像效果相比较,本文提出的改进自蛇模型滤波法不仅对干扰像有更好的抑制作用,还能够增强刀具边缘,有利于实现微铣刀的数字全息对刀。
2020, 13(4): 713-721.
doi: 10.37188/CO.2020-0063
cstr: 32171.14.CO.2020-0063
摘要:
为获得高分辨率的电子轰击型CMOS (EBCMOS)成像器件,本文就近贴聚焦结构内电场分布对电子运动轨迹的影响进行了研究。设计了不同的EBCMOS结构并得到3种电场分布情况,分别为光电阴极和背面轰击型CMOS (BSB-CMOS)之间的等势面不平行、部分平行和彼此平行。根据电磁学理论结合蒙特卡洛模拟方法,分别模拟了每种电场分布情况下的电子运动轨迹。研究结果表明:当设计的电子倍增层表面覆盖一层30 nm的超薄重掺杂层,保持极间电压为4000 V且极间距为1 mm时,光生电子轰击BSB-CMOS表面时扩散直径可减小至30 μm。此结构具有电子聚焦作用,有助于实现高分辨率的EBCMOS。同时,进一步研究了光电阴极与BSB-CMOS之间的距离和电压对电子扩散直径的影响。研究发现,近贴间距越小、加速电压越高,相应的电场强度就越高,越有利于电子聚焦。本文工作将为改进电子轰击型CMOS成像器件的分辨率特性提供理论指导。
为获得高分辨率的电子轰击型CMOS (EBCMOS)成像器件,本文就近贴聚焦结构内电场分布对电子运动轨迹的影响进行了研究。设计了不同的EBCMOS结构并得到3种电场分布情况,分别为光电阴极和背面轰击型CMOS (BSB-CMOS)之间的等势面不平行、部分平行和彼此平行。根据电磁学理论结合蒙特卡洛模拟方法,分别模拟了每种电场分布情况下的电子运动轨迹。研究结果表明:当设计的电子倍增层表面覆盖一层30 nm的超薄重掺杂层,保持极间电压为4000 V且极间距为1 mm时,光生电子轰击BSB-CMOS表面时扩散直径可减小至30 μm。此结构具有电子聚焦作用,有助于实现高分辨率的EBCMOS。同时,进一步研究了光电阴极与BSB-CMOS之间的距离和电压对电子扩散直径的影响。研究发现,近贴间距越小、加速电压越高,相应的电场强度就越高,越有利于电子聚焦。本文工作将为改进电子轰击型CMOS成像器件的分辨率特性提供理论指导。
2020, 13(4): 722-727.
doi: 10.37188/CO.2019-0190
cstr: 32171.14.CO.2019-0190
摘要:
本文设计了一种中红外波段手性超材料以克服传统中红外激光偏振态调控所使用的控制元件体积大、成本高等不足。利用中红外等离激元材料氧化铟锡(ITO)设计风扇型手性结构,并研究了该结构在中红外波段的圆二向色性(CD)。通过改变扇叶层填充材料、扇叶厚度、扇叶大小、扇叶数量以及扇叶的材料,讨论结构的CD变化情况。模拟结果表明:当填充材料为硅、扇叶为6片时,选取合适的扇叶厚度和大小,在5.3 μm附近获得最强的CD信号,为0.052。此外,与贵金属银、金相比,由ITO构成的结构展现出良好的宽带圆二向色性,这为中红外波段宽带偏振态调控器件的设计提供了新的思路。
本文设计了一种中红外波段手性超材料以克服传统中红外激光偏振态调控所使用的控制元件体积大、成本高等不足。利用中红外等离激元材料氧化铟锡(ITO)设计风扇型手性结构,并研究了该结构在中红外波段的圆二向色性(CD)。通过改变扇叶层填充材料、扇叶厚度、扇叶大小、扇叶数量以及扇叶的材料,讨论结构的CD变化情况。模拟结果表明:当填充材料为硅、扇叶为6片时,选取合适的扇叶厚度和大小,在5.3 μm附近获得最强的CD信号,为0.052。此外,与贵金属银、金相比,由ITO构成的结构展现出良好的宽带圆二向色性,这为中红外波段宽带偏振态调控器件的设计提供了新的思路。
2020, 13(4): 728-736.
doi: 10.37188/CO.2019-0194
cstr: 32171.14.CO.2019-0194
摘要:
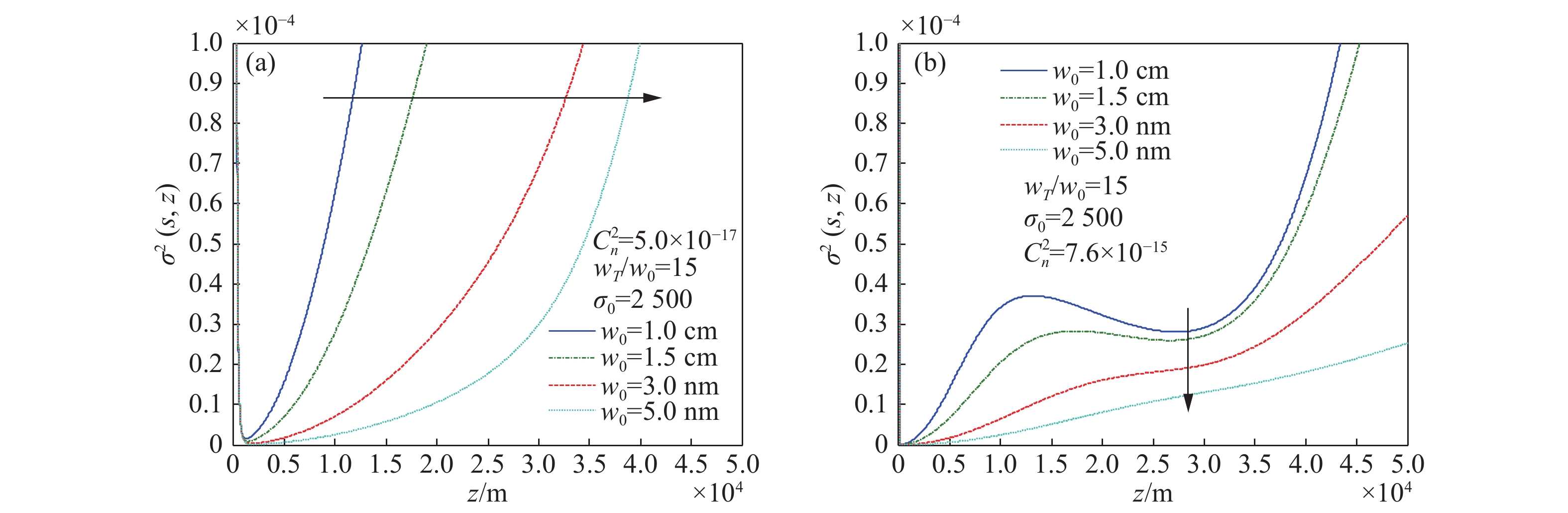
本文利用广义惠更斯-菲涅尔原理结合Goodman目标散射理论,推导出了激光探测中目标反射光的交叉谱密度函数解析式,并进一步得到了目标反射光的光强分布和空间相干长度表达式。利用得到的表达式在湍流大气条件下,分析了不同光源参数和目标反射光参数对目标反射光光强分布和相干长度的影响。研究结果表明:光源相干长度对归一化反射光强影响较小;光源束腰半径和反射光斑半径值越大接收光的相干长度值越小;随着传输距离的增加,相干长度增加越来越缓慢;在弱湍流大气传输过程中,光源参数对接收光的影响占主导作用,光源束腰半径越大接收光的光强和相干长度值越小;在强湍流大气传输过程中,大气湍流对反射光的影响起主导作用。
本文利用广义惠更斯-菲涅尔原理结合Goodman目标散射理论,推导出了激光探测中目标反射光的交叉谱密度函数解析式,并进一步得到了目标反射光的光强分布和空间相干长度表达式。利用得到的表达式在湍流大气条件下,分析了不同光源参数和目标反射光参数对目标反射光光强分布和相干长度的影响。研究结果表明:光源相干长度对归一化反射光强影响较小;光源束腰半径和反射光斑半径值越大接收光的相干长度值越小;随着传输距离的增加,相干长度增加越来越缓慢;在弱湍流大气传输过程中,光源参数对接收光的影响占主导作用,光源束腰半径越大接收光的光强和相干长度值越小;在强湍流大气传输过程中,大气湍流对反射光的影响起主导作用。
2020, 13(4): 737-744.
doi: 10.37188/CO.2020-0015
cstr: 32171.14.CO.2020-0015
摘要:
在折射率与应变测试时,为了降低温度影响所引起的串扰,对细芯长周期光纤光栅的温度、折射率和应变响应特性进行了研究。通过飞秒激光直写方法在纤芯直径为6 μm的单模光纤上成功制备了周期为50 μm的长周期光纤光栅。结果表明:在细芯光纤中以低激光能量加工的长周期光纤光栅具有较低的温度灵敏度,同时保持较大的消光比和较好的光谱质量。这种细芯长周期光纤光栅损耗峰在20~700 °C温度范围内仅漂移1.7 nm。该光栅对折射率变化也具有较好的响应,环境折射率在1.4065~1.4265时,灵敏度最高可达882.51 nm/RIU,应变灵敏度为−2.2 pm/με。这种细芯长周期光纤光栅可以较好地降低折射率与应变测试中由于温度影响带来的串扰。
在折射率与应变测试时,为了降低温度影响所引起的串扰,对细芯长周期光纤光栅的温度、折射率和应变响应特性进行了研究。通过飞秒激光直写方法在纤芯直径为6 μm的单模光纤上成功制备了周期为50 μm的长周期光纤光栅。结果表明:在细芯光纤中以低激光能量加工的长周期光纤光栅具有较低的温度灵敏度,同时保持较大的消光比和较好的光谱质量。这种细芯长周期光纤光栅损耗峰在20~700 °C温度范围内仅漂移1.7 nm。该光栅对折射率变化也具有较好的响应,环境折射率在1.4065~1.4265时,灵敏度最高可达882.51 nm/RIU,应变灵敏度为−2.2 pm/με。这种细芯长周期光纤光栅可以较好地降低折射率与应变测试中由于温度影响带来的串扰。
2020, 13(4): 745-751.
doi: 10.37188/CO.2019-0191
cstr: 32171.14.CO.2019-0191
摘要:
频域稳定的高重频多波长光源是信道化和光通讯等领域的理想光源。为了满足高重频多梳齿激光源的应用需求,本文研制了49 GHz梳齿间隔的多波长激光源。通过优化I/Q两端射频信号和三个偏置点,IQ调制器稳定工作在载波抑制单边带模式,杂散频率成分抑制比达到27.5 dB。本文利用循环调制技术产生宽带多波长光频梳,并通过优化射频功率建立环内增益-损耗平衡,有效提升平坦度,获得了梳齿间隔为24.5 GHz、梳齿数目为28根、平坦度仅为3 dB、梳齿信噪比(TNR)达29 dB的多波长光频梳。在此基础 上,进一步利用法布罗(FP)滤波技术将频率间隔提升到49 GHz,最终得到梳齿数目达14根,平坦度为2.7 dB,TNR达19 dB,平均光功率为9 dBm的高重频多波长光频梳。由于采用了全保偏光纤器件和集成化技术,本系统具有一键式启动和长时稳定运行的特点,运行半小时的功率抖动标准差仅为0.5%,有望在各微波光子领域中应用。
频域稳定的高重频多波长光源是信道化和光通讯等领域的理想光源。为了满足高重频多梳齿激光源的应用需求,本文研制了49 GHz梳齿间隔的多波长激光源。通过优化I/Q两端射频信号和三个偏置点,IQ调制器稳定工作在载波抑制单边带模式,杂散频率成分抑制比达到27.5 dB。本文利用循环调制技术产生宽带多波长光频梳,并通过优化射频功率建立环内增益-损耗平衡,有效提升平坦度,获得了梳齿间隔为24.5 GHz、梳齿数目为28根、平坦度仅为3 dB、梳齿信噪比(TNR)达29 dB的多波长光频梳。在此基础 上,进一步利用法布罗(FP)滤波技术将频率间隔提升到49 GHz,最终得到梳齿数目达14根,平坦度为2.7 dB,TNR达19 dB,平均光功率为9 dBm的高重频多波长光频梳。由于采用了全保偏光纤器件和集成化技术,本系统具有一键式启动和长时稳定运行的特点,运行半小时的功率抖动标准差仅为0.5%,有望在各微波光子领域中应用。
2020, 13(4): 752-759.
doi: 10.37188/CO.2019-0214
cstr: 32171.14.CO.2019-0214
摘要:
在车载、舰载等运动载体或单兵警戒值守等狭窄空间,传统显示方法难以兼顾显示视场与显示分辨率。针对该问题,本文研究了一种基于变形目镜的全景/周视成像技术与系统。系统采用3路低照度摄像机+4 mm焦距镜头,构成150°左右的全景成像视场,基于FPGA处理平台完成全景图像解析、拼接、校正和显示等算法,实现视频图像大视场拼接与1/3缩放实时显示;由OLED微显示器、变形目镜组和大目镜组成的显示系统使视频图像横向扩大3倍,实时显示全景高分辨动态场景图像。实验系统对全景成像显示技术进行了验证,在军用和民用领域具有广泛的应用前景。
在车载、舰载等运动载体或单兵警戒值守等狭窄空间,传统显示方法难以兼顾显示视场与显示分辨率。针对该问题,本文研究了一种基于变形目镜的全景/周视成像技术与系统。系统采用3路低照度摄像机+4 mm焦距镜头,构成150°左右的全景成像视场,基于FPGA处理平台完成全景图像解析、拼接、校正和显示等算法,实现视频图像大视场拼接与1/3缩放实时显示;由OLED微显示器、变形目镜组和大目镜组成的显示系统使视频图像横向扩大3倍,实时显示全景高分辨动态场景图像。实验系统对全景成像显示技术进行了验证,在军用和民用领域具有广泛的应用前景。
2020, 13(4): 760-769.
doi: 10.37188/CO.2019-0247
cstr: 32171.14.CO.2019-0247
摘要:
本文提出了一种基于圆边响应曲线的离焦估计新算法,实现了调焦参数的标定和望远物镜的自动调焦。建立了圆形边缘的灰度响应与离焦半径的关系模型,设计了圆四周离焦半径的双阈值均值滤波器,实现了模糊图像离焦半径的精确估计,降低了运动模糊和噪声的影响。根据离焦半径与调焦距离的线性关系,采用折线拟合方法,求解正焦调焦距离。然后,利用多个物距和正焦像距,优化求解测距调焦模型参数,实现了成像系统的自动调焦。仿真和实际实验验证了离焦半径估计算法的有效性和鲁棒性。标定后的自动调焦成像系统图像清晰,拍摄距离在43~52 m之间的物理分辨率接近理论值的一半,可分辨线宽优于0.354 mm.
本文提出了一种基于圆边响应曲线的离焦估计新算法,实现了调焦参数的标定和望远物镜的自动调焦。建立了圆形边缘的灰度响应与离焦半径的关系模型,设计了圆四周离焦半径的双阈值均值滤波器,实现了模糊图像离焦半径的精确估计,降低了运动模糊和噪声的影响。根据离焦半径与调焦距离的线性关系,采用折线拟合方法,求解正焦调焦距离。然后,利用多个物距和正焦像距,优化求解测距调焦模型参数,实现了成像系统的自动调焦。仿真和实际实验验证了离焦半径估计算法的有效性和鲁棒性。标定后的自动调焦成像系统图像清晰,拍摄距离在43~52 m之间的物理分辨率接近理论值的一半,可分辨线宽优于0.354 mm.
2020, 13(4): 770-777.
doi: 10.37188/CO.2019-0248
cstr: 32171.14.CO.2019-0248
摘要:
本文提出了一种新的角膜面形分析方法,不仅消除了角膜本体厚度对塑形后角膜面形分析的影响,同时也能体现塑形后角膜的不对称性。在角膜前表面高度数据分析中引入基准参考面,以消除角膜本体厚度的影响,进而将塑形后的角膜前表面划分为光学区、转换区和边缘区。分析表明,角膜塑形后的光学区口径为(1.9±0.27) mm,曲率半径为(8.32±0.38) mm;转换区口径为(6.56±0.38) mm,曲率半径为(7.48±0.55) mm;边缘区的曲率半径为(10.49±1.83) mm。角膜塑形后的转换区水平方向屈光能力小于竖直方向的屈光能力,鼻侧屈光能力大于颞侧屈光能力,上侧屈光能力大于下侧屈光能力。利用所得参数建立半定制化的眼模型,对眼模型进行分析,结果表明:角膜塑形后周边呈近视性离焦,各方向的离焦呈非对称性分布,符合临床表现。
本文提出了一种新的角膜面形分析方法,不仅消除了角膜本体厚度对塑形后角膜面形分析的影响,同时也能体现塑形后角膜的不对称性。在角膜前表面高度数据分析中引入基准参考面,以消除角膜本体厚度的影响,进而将塑形后的角膜前表面划分为光学区、转换区和边缘区。分析表明,角膜塑形后的光学区口径为(1.9±0.27) mm,曲率半径为(8.32±0.38) mm;转换区口径为(6.56±0.38) mm,曲率半径为(7.48±0.55) mm;边缘区的曲率半径为(10.49±1.83) mm。角膜塑形后的转换区水平方向屈光能力小于竖直方向的屈光能力,鼻侧屈光能力大于颞侧屈光能力,上侧屈光能力大于下侧屈光能力。利用所得参数建立半定制化的眼模型,对眼模型进行分析,结果表明:角膜塑形后周边呈近视性离焦,各方向的离焦呈非对称性分布,符合临床表现。
2020, 13(4): 778-786.
doi: 10.37188/CO.2019-0250
cstr: 32171.14.CO.2019-0250
摘要:
针对新设计的等截面反射镜椭圆压弯机构在固定物距(即反射镜在光路中位置不变)的情况下,研究了实现大范围像距调整(即样品位置发生改变)时镜面面形误差等问题。通过理论分析并借助有限元分析软件计算等截面平面镜压弯至不同(反射点处像距不同)椭圆柱面时的理论斜率误差,最后对椭圆压弯机构样机进行了实际压弯测试。实验结果与计算分析均表明:保持物距、掠入射角不变,压弯镜面与理想椭圆柱面之间的斜率误差会随着像距的减小而增大,并且像距越小,镜面斜率误差的增加速度越大。实验测得在反射镜面初始斜率误差为0.397 μrad的情况下,全部像距范围(21.5~3.8 m)内压弯镜面的实际斜率误差在0.402~0.560 μrad之间,重复精度为0.051 μrad,均满足上海光源光束线的设计要求。本文研究证明了使用等截面反射镜压弯机构进行椭圆柱面压弯可以实现聚焦镜工作像距在大范围内的连续调节。
针对新设计的等截面反射镜椭圆压弯机构在固定物距(即反射镜在光路中位置不变)的情况下,研究了实现大范围像距调整(即样品位置发生改变)时镜面面形误差等问题。通过理论分析并借助有限元分析软件计算等截面平面镜压弯至不同(反射点处像距不同)椭圆柱面时的理论斜率误差,最后对椭圆压弯机构样机进行了实际压弯测试。实验结果与计算分析均表明:保持物距、掠入射角不变,压弯镜面与理想椭圆柱面之间的斜率误差会随着像距的减小而增大,并且像距越小,镜面斜率误差的增加速度越大。实验测得在反射镜面初始斜率误差为0.397 μrad的情况下,全部像距范围(21.5~3.8 m)内压弯镜面的实际斜率误差在0.402~0.560 μrad之间,重复精度为0.051 μrad,均满足上海光源光束线的设计要求。本文研究证明了使用等截面反射镜压弯机构进行椭圆柱面压弯可以实现聚焦镜工作像距在大范围内的连续调节。
2020, 13(4): 787-794.
doi: 10.37188/CO.2019-0131
cstr: 32171.14.CO.2019-0131
摘要:
反射镜是自由电子激光光束线中的重要光学元件,反射镜自重引起的面形误差会严重影响光束线的成像质量。为减小自重引起的面形误差,基于Bessel点理论提出了重力补偿方案,并设计了无应力夹持装置,利用有限元软件对该装置进行仿真分析。以尺寸为440 mm×50 mm×50 mm的反射镜为例进行分析,传统支撑方式下反射镜下表面面形误差为1.647 μrad,采用本文提出的夹持方案后面形误差降至0.085 7 μrad,优于工程指标0.1 μrad。为防止反射镜在工作模式切换时发生窜动,可对反射镜添加不超过2 N的微小夹持力,此时反射镜的面形误差为0.093 9 μrad。此外,还对装置进行了动力学分析,结果显示:该设计方案可有效防止装置存在较低的固有频率,在使用过程中不会产生共振现象,满足光束线的使用需求。
反射镜是自由电子激光光束线中的重要光学元件,反射镜自重引起的面形误差会严重影响光束线的成像质量。为减小自重引起的面形误差,基于Bessel点理论提出了重力补偿方案,并设计了无应力夹持装置,利用有限元软件对该装置进行仿真分析。以尺寸为440 mm×50 mm×50 mm的反射镜为例进行分析,传统支撑方式下反射镜下表面面形误差为1.647 μrad,采用本文提出的夹持方案后面形误差降至0.085 7 μrad,优于工程指标0.1 μrad。为防止反射镜在工作模式切换时发生窜动,可对反射镜添加不超过2 N的微小夹持力,此时反射镜的面形误差为0.093 9 μrad。此外,还对装置进行了动力学分析,结果显示:该设计方案可有效防止装置存在较低的固有频率,在使用过程中不会产生共振现象,满足光束线的使用需求。
2020, 13(4): 795-804.
doi: 10.37188/CO.2019-0165
cstr: 32171.14.CO.2019-0165
摘要:
传统外部品质分选目前已经无法满足人们对水果口感品质的需求,对传统外部品质分选线进行糖度分选改造,实现糖度分选,对确保水果的口感品质具有重要意义。分别采集两种不同检测方式下获取的脐橙的近红外漫反射光谱,其中环形发射与接收漫反射方式的光谱能量要比多点发射与接收漫反射方式强,波峰与波谷位置大致相同。近红外漫反射光谱经基线校正、多元散射校正、一阶、二阶导数等方法进行光谱数据预处理,以减少杂散光和噪声的影响。分别建立脐橙在两种不同漫反射检测方式下的糖度偏最小二乘(PLS)模型进行对比分析。实验结果表明,采用基线校正预处理方法获得的结果最优;环形发射与接收漫反射检测方式下的糖度模型预测相关系数为0.81,预测均方根误差为0.46°Brix,多点发射与接收漫反射检测方式下的糖度模型预测相关系数为0.76,预测均方根误差为0.53°Brix。研究表明,应用PLS建模结合近红外漫反射光谱对传统外部品质分选线中的糖度分选线功能进行升级改造是可行的。
传统外部品质分选目前已经无法满足人们对水果口感品质的需求,对传统外部品质分选线进行糖度分选改造,实现糖度分选,对确保水果的口感品质具有重要意义。分别采集两种不同检测方式下获取的脐橙的近红外漫反射光谱,其中环形发射与接收漫反射方式的光谱能量要比多点发射与接收漫反射方式强,波峰与波谷位置大致相同。近红外漫反射光谱经基线校正、多元散射校正、一阶、二阶导数等方法进行光谱数据预处理,以减少杂散光和噪声的影响。分别建立脐橙在两种不同漫反射检测方式下的糖度偏最小二乘(PLS)模型进行对比分析。实验结果表明,采用基线校正预处理方法获得的结果最优;环形发射与接收漫反射检测方式下的糖度模型预测相关系数为0.81,预测均方根误差为0.46°Brix,多点发射与接收漫反射检测方式下的糖度模型预测相关系数为0.76,预测均方根误差为0.53°Brix。研究表明,应用PLS建模结合近红外漫反射光谱对传统外部品质分选线中的糖度分选线功能进行升级改造是可行的。
2020, 13(4): 805-813.
doi: 10.37188/CO.2019-0225
cstr: 32171.14.CO.2019-0225
摘要:
球面检验镜口径不断增大导致其检验精度下降,针对该问题,本文优化设计了2.7米标准球面镜的重锤支撑参数,并对该标准球面镜的调整架以及支撑系统进行了结构设计。首先,利用有限元和遗传算法,对镜体进行了54点等力支撑环带优化,针对增加嵌套孔后镜体刚度变差的情况,对各环带底支撑力和侧支撑力分别进行了优化;然后,利用统计方法分析了支撑半径和支撑力误差对支撑变形的影响;最后,基于优化分析结果对标准检验镜的调整架和支撑系统进行了结构设计。分析结果表明,经过对标准球面镜54点支撑位置、各环带底支撑力和侧支撑力进行优化设计后,在球面镜支撑变形RMS(Root Mean Square)小于1/115λ(λ=632.8 nm),底支撑位置扰动为±2 mm,侧支撑位置扰动为±0.6 mm,以及支撑力扰动为±3 N的情况下,支撑变形小于1/70λ,满足标准球面镜的支撑要求。
球面检验镜口径不断增大导致其检验精度下降,针对该问题,本文优化设计了2.7米标准球面镜的重锤支撑参数,并对该标准球面镜的调整架以及支撑系统进行了结构设计。首先,利用有限元和遗传算法,对镜体进行了54点等力支撑环带优化,针对增加嵌套孔后镜体刚度变差的情况,对各环带底支撑力和侧支撑力分别进行了优化;然后,利用统计方法分析了支撑半径和支撑力误差对支撑变形的影响;最后,基于优化分析结果对标准检验镜的调整架和支撑系统进行了结构设计。分析结果表明,经过对标准球面镜54点支撑位置、各环带底支撑力和侧支撑力进行优化设计后,在球面镜支撑变形RMS(Root Mean Square)小于1/115λ(λ=632.8 nm),底支撑位置扰动为±2 mm,侧支撑位置扰动为±0.6 mm,以及支撑力扰动为±3 N的情况下,支撑变形小于1/70λ,满足标准球面镜的支撑要求。
2020, 13(4): 814-821.
doi: 10.37188/CO.2020-0066
cstr: 32171.14.CO.2020-0066
摘要:
本文设计了一种用于婴幼儿视网膜筛查的广域眼底相机。文中对该系统所包含的照明系统、成像系统的设计方法进行了探讨。首先,根据James Polans宽视场人眼模型和婴儿眼解剖学数据,建立了婴儿眼模型。接着,提出新的锥形光纤方案用于大视场照明。最后,重点介绍了广域眼底相机的成像系统(包括接触镜、中继物镜)的设计方法。设计实例表明:广域眼底相机的视场可以达到130°,对眼底的物方分辨率可以达到10 μm。设计结果符合眼底成像设备国家标准YY0634-2008,满足婴幼儿视网膜筛查的要求。
本文设计了一种用于婴幼儿视网膜筛查的广域眼底相机。文中对该系统所包含的照明系统、成像系统的设计方法进行了探讨。首先,根据James Polans宽视场人眼模型和婴儿眼解剖学数据,建立了婴儿眼模型。接着,提出新的锥形光纤方案用于大视场照明。最后,重点介绍了广域眼底相机的成像系统(包括接触镜、中继物镜)的设计方法。设计实例表明:广域眼底相机的视场可以达到130°,对眼底的物方分辨率可以达到10 μm。设计结果符合眼底成像设备国家标准YY0634-2008,满足婴幼儿视网膜筛查的要求。
2020, 13(4): 822-831.
doi: 10.37188/CO.2019-0036
cstr: 32171.14.CO.2019-0036
摘要:
针对同轴两反射镜光学成像视场角受限、大视场角下成像对比度较低的问题,采用透镜组作为像差校正组,合理分配光学系统的光焦度及间距,来扩大两反射结构的成像视场角,提升相机全视场内的成像质量。以某一工程应用需要为例,设计并研制了焦距为750 mm、视场角2ω=3.45°、全视场平均传递函数在108 lp/mm处优于0.2的相机光学系统,且在未使用主镜筒外遮光罩的前提下,优化设计了次镜遮光罩以实现杂散光抑制。采用TracePro软件进行相机杂散光环境建模仿真,结果表明:在非成像视场角内的杂散光点源透过率(PST)的量值范围为10−3~10−6。系统满足传统地面目标探测成像要求,验证了紧凑型大视场折反射光学杂散光抑制结构的可行性,并为商用同轴折反射光学系统设计及优化提供了一定的参考。
针对同轴两反射镜光学成像视场角受限、大视场角下成像对比度较低的问题,采用透镜组作为像差校正组,合理分配光学系统的光焦度及间距,来扩大两反射结构的成像视场角,提升相机全视场内的成像质量。以某一工程应用需要为例,设计并研制了焦距为750 mm、视场角2ω=3.45°、全视场平均传递函数在108 lp/mm处优于0.2的相机光学系统,且在未使用主镜筒外遮光罩的前提下,优化设计了次镜遮光罩以实现杂散光抑制。采用TracePro软件进行相机杂散光环境建模仿真,结果表明:在非成像视场角内的杂散光点源透过率(PST)的量值范围为10−3~10−6。系统满足传统地面目标探测成像要求,验证了紧凑型大视场折反射光学杂散光抑制结构的可行性,并为商用同轴折反射光学系统设计及优化提供了一定的参考。
2020, 13(4): 832-841.
doi: 10.37188/CO.2019-0193
cstr: 32171.14.CO.2019-0193
摘要:
针对非对称光学系统视场范围和出瞳直径较窄、光学结构复杂、制造成本昂贵、装配调整麻烦等问题,本文采用在系统中加入自由曲面反射镜的设计方法。首先,论述了双反射镜非对称光学系统的设计要求和工作原理。然后,分析了三反射镜非对称光学系统的离轴结构控制方法。最后,采用XY多项式自由曲面反射镜折叠光路、消除遮拦、扩大视场、校正离轴像差,设计出一款适用于头盔显示器的非对称光学系统。设计的双反射镜非对称光学系统的视场为60°×30°,出瞳直径为8 mm。在截止频率52 lp/mm处,全视场的调制传递函数值大于0.25,系统畸变小于5%,单目系统重量约为190 g。设计结果表明,该非对称光学系统的视场大小和成像质量均有所提升,实现了小型轻量化,可应用于头盔显示器。
针对非对称光学系统视场范围和出瞳直径较窄、光学结构复杂、制造成本昂贵、装配调整麻烦等问题,本文采用在系统中加入自由曲面反射镜的设计方法。首先,论述了双反射镜非对称光学系统的设计要求和工作原理。然后,分析了三反射镜非对称光学系统的离轴结构控制方法。最后,采用XY多项式自由曲面反射镜折叠光路、消除遮拦、扩大视场、校正离轴像差,设计出一款适用于头盔显示器的非对称光学系统。设计的双反射镜非对称光学系统的视场为60°×30°,出瞳直径为8 mm。在截止频率52 lp/mm处,全视场的调制传递函数值大于0.25,系统畸变小于5%,单目系统重量约为190 g。设计结果表明,该非对称光学系统的视场大小和成像质量均有所提升,实现了小型轻量化,可应用于头盔显示器。
2020, 13(4): 842-851.
doi: 10.37188/CO.2019-0049
cstr: 32171.14.CO.2019-0049
摘要:
本文根据像差理论,开发了一种计算次镜外反射的Offner型自由曲面棱镜光谱仪初始结构的算法。通过光线追迹获得光线在次镜外反射Offner型光谱仪各光学表面传播的公式,该公式可以确定光学元件的结构参数。应用轴外细光束像散理论分析系统产生的像散,并设定合理阈值作为结构算法的判断依据。在Matlab中迭代优化出符合设计要求的初始结构,使用Zemax软件对获得的初始结构进行优化。为验证算法效果,本文设计了光谱范围为380~780 nm,数值孔径为0.15,光谱分辨率为6 nm的自由曲面棱镜光谱仪的初始结构。在Zemax中完成优化后系统可达到设计指标且谱线弯曲和色畸变均优于0.1 pixels。设计结果表明采用本文算法可以快速计算出符合要求的初始结构,大大简化了后续优化的复杂程度。
本文根据像差理论,开发了一种计算次镜外反射的Offner型自由曲面棱镜光谱仪初始结构的算法。通过光线追迹获得光线在次镜外反射Offner型光谱仪各光学表面传播的公式,该公式可以确定光学元件的结构参数。应用轴外细光束像散理论分析系统产生的像散,并设定合理阈值作为结构算法的判断依据。在Matlab中迭代优化出符合设计要求的初始结构,使用Zemax软件对获得的初始结构进行优化。为验证算法效果,本文设计了光谱范围为380~780 nm,数值孔径为0.15,光谱分辨率为6 nm的自由曲面棱镜光谱仪的初始结构。在Zemax中完成优化后系统可达到设计指标且谱线弯曲和色畸变均优于0.1 pixels。设计结果表明采用本文算法可以快速计算出符合要求的初始结构,大大简化了后续优化的复杂程度。
2020, 13(4): 852-864.
doi: 10.37188/CO.2019-0216
cstr: 32171.14.CO.2019-0216
摘要:
混合石油烃污染土壤中准确的种类识别和含量检测有助于土壤石油烃污染总量的检测。石油烃是多种化合物的混合,而三维激发发射荧光光谱技术含有大量的荧光光谱信息,故被用于快速定性和定量检测土壤石油烃污染,但该技术仍面临着石油烃组分的准确识别以及土壤背景干扰引起的定量分析问题。本文研究了土壤石油烃污染物的三维荧光光谱复杂基质和散射效应校正方法,最大程度地保留了光谱信息。为了提高土壤石油烃定性识别和含量检测精度,本文以机油、润滑油和柴油为例,采用平行因子和交替三线性分解法对不同类型混合土壤石油烃污染进行定性和定量分析。实验结果表明,与平行因子法对土壤混合石油烃污染的检测结果相比,交替三线性分解法将土壤混合石油烃污染的平均回收率由85%提高至95%,说明交替三线性分解法能更好地分离相似荧光光谱,对土壤中石油成分和总含量的检测更有效,其可为土壤石油烃污染风险评估提供快速检测方法。
混合石油烃污染土壤中准确的种类识别和含量检测有助于土壤石油烃污染总量的检测。石油烃是多种化合物的混合,而三维激发发射荧光光谱技术含有大量的荧光光谱信息,故被用于快速定性和定量检测土壤石油烃污染,但该技术仍面临着石油烃组分的准确识别以及土壤背景干扰引起的定量分析问题。本文研究了土壤石油烃污染物的三维荧光光谱复杂基质和散射效应校正方法,最大程度地保留了光谱信息。为了提高土壤石油烃定性识别和含量检测精度,本文以机油、润滑油和柴油为例,采用平行因子和交替三线性分解法对不同类型混合土壤石油烃污染进行定性和定量分析。实验结果表明,与平行因子法对土壤混合石油烃污染的检测结果相比,交替三线性分解法将土壤混合石油烃污染的平均回收率由85%提高至95%,说明交替三线性分解法能更好地分离相似荧光光谱,对土壤中石油成分和总含量的检测更有效,其可为土壤石油烃污染风险评估提供快速检测方法。
2020, 13(4): 866-872.
doi: 10.37188/CO.2020-0007
cstr: 32171.14.CO.2020-0007
摘要:
金属触点引起的光学损耗被认为是阻碍电泵浦有机激光器发展的主要障碍。本文对于存在金属接触电极的有机薄膜,通过设计适当的分布反馈结构形成多通道发射和表面等离子体激元(SPs),从而实现光泵浦激光。与采用无金属接触电极的有机薄膜进行对比,结果表明,本文方法可实现更好的激光性能。利用本文设计的结构,在740 nm光栅结构的Ag衬底上实现了(0.026 mJ/pulse)的激光发射。由于本文设计方法没有增加器件厚度,所以当光学性能得到改善时,电性能并没有降低。
金属触点引起的光学损耗被认为是阻碍电泵浦有机激光器发展的主要障碍。本文对于存在金属接触电极的有机薄膜,通过设计适当的分布反馈结构形成多通道发射和表面等离子体激元(SPs),从而实现光泵浦激光。与采用无金属接触电极的有机薄膜进行对比,结果表明,本文方法可实现更好的激光性能。利用本文设计的结构,在740 nm光栅结构的Ag衬底上实现了(0.026 mJ/pulse)的激光发射。由于本文设计方法没有增加器件厚度,所以当光学性能得到改善时,电性能并没有降低。
2020, 13(4): 873-883.
doi: 10.37188/CO.2019-0192
cstr: 32171.14.CO.2019-0192
摘要:
为了便于导出LED有源层的出射光,本文研究了亚微米厚度LED悬空薄膜的工艺实现、形貌表征和光学性能表征。采用光刻工艺、深反应离子刻蚀技术和快速原子束刻蚀技术相结合的背后工艺,实现了基于硅基氮化镓晶圆的超薄氮化镓基LED悬空薄膜器件。本文利用白光干涉仪观察制备的超薄LED悬空薄膜的变形程度,发现薄膜变形大小与薄膜直径呈正相关,而与薄膜厚度呈负相关。薄膜变形大小低至纳米级,并且为中央凸起边缘平滑的拱形变形。通过反射谱测试发现未经加工的硅基氮化镓晶圆的反射模式数较多,而LED悬空薄膜的反射模式数大幅度减少,且反射谱整体光强明显提高。在光致发光测试中,发现由于应力释放,悬空薄膜的出射光峰值较硅基氮化镓晶圆出现了8.2 nm的蓝移,并且从背面也可以探测到移除了大部分外延层的超薄LED悬空薄膜有明显的出射光。这表明悬空薄膜在光致发光情况下更有利于导出发射光。本研究工作实现了厚度小、面积大、总体变形程度小、光学性能优良的LED悬空薄膜,为氮化镓基LED器件在光微机电领域的应用开辟了新的途径。
为了便于导出LED有源层的出射光,本文研究了亚微米厚度LED悬空薄膜的工艺实现、形貌表征和光学性能表征。采用光刻工艺、深反应离子刻蚀技术和快速原子束刻蚀技术相结合的背后工艺,实现了基于硅基氮化镓晶圆的超薄氮化镓基LED悬空薄膜器件。本文利用白光干涉仪观察制备的超薄LED悬空薄膜的变形程度,发现薄膜变形大小与薄膜直径呈正相关,而与薄膜厚度呈负相关。薄膜变形大小低至纳米级,并且为中央凸起边缘平滑的拱形变形。通过反射谱测试发现未经加工的硅基氮化镓晶圆的反射模式数较多,而LED悬空薄膜的反射模式数大幅度减少,且反射谱整体光强明显提高。在光致发光测试中,发现由于应力释放,悬空薄膜的出射光峰值较硅基氮化镓晶圆出现了8.2 nm的蓝移,并且从背面也可以探测到移除了大部分外延层的超薄LED悬空薄膜有明显的出射光。这表明悬空薄膜在光致发光情况下更有利于导出发射光。本研究工作实现了厚度小、面积大、总体变形程度小、光学性能优良的LED悬空薄膜,为氮化镓基LED器件在光微机电领域的应用开辟了新的途径。
2020, 13(4): 884-898.
doi: 10.37188/CO.2019-0197
cstr: 32171.14.CO.2019-0197
摘要:
光纤激光相干合成是获得高功率高光束质量输出较为有效的途径,而湍流大气是制约其应用与发展的关键因素之一。本文重点研究了大气格林伍德频率对基于随机并行梯度下降算法(SPGD)相干合成系统校正效果的影响。首先,在静态大气条件下,分析了不同湍流强度对相干合成系统校正效果的影响;然后,利用数值计算生成一组旋转的符合Kolmogorov统计规律的相位屏模拟湍流大气,对在不同大气格林伍德频率下相干合成系统的校正效果进行研究;最后,搭建两路光纤激光相干合成实验平台,进行实验验证。仿真和实验结果表明,在系统的控制算法迭代频率(350 Hz)一定时,随着大气格林伍德频率的增加,湍流大气对光束的相位和光强的扰动加剧,使得相干合成系统的合成效果变得越来越差。
光纤激光相干合成是获得高功率高光束质量输出较为有效的途径,而湍流大气是制约其应用与发展的关键因素之一。本文重点研究了大气格林伍德频率对基于随机并行梯度下降算法(SPGD)相干合成系统校正效果的影响。首先,在静态大气条件下,分析了不同湍流强度对相干合成系统校正效果的影响;然后,利用数值计算生成一组旋转的符合Kolmogorov统计规律的相位屏模拟湍流大气,对在不同大气格林伍德频率下相干合成系统的校正效果进行研究;最后,搭建两路光纤激光相干合成实验平台,进行实验验证。仿真和实验结果表明,在系统的控制算法迭代频率(350 Hz)一定时,随着大气格林伍德频率的增加,湍流大气对光束的相位和光强的扰动加剧,使得相干合成系统的合成效果变得越来越差。
摘要
HTML全文
PDF 1212KB