2023 Vol. 16, No. 2
Laser-Induced Thermo-Elastic Spectroscopy (LITES) is a new developed gas detection technology based on the thermoelastic effect of Quartz Tuning Forks (QTF). The QTF has the advantages of low cost, small volume, high sensitivity and wide spectral response range, and the LITES is becoming a vital method for trace gas detection. In this paper, the basic principle of gas concentration measuring based on LITES is firstly analyzed. Secondly, from the perspective of various technical methods, this paper introduces the methods for improving the sensitivity of QTF detectors, and reviews the research progress of LITES system in recent years. The performance of these systems is evaluated by the signal amplitude, Signal-to-Noise Ratio (SNR), minimum detection limit, and Normalized Noise Equivalent Absorption (NNEA) coefficient. Finally, the practical application of LITES in the field of gas detection technology is briefly reviewed, and the methods for further improving its sensitivity are summarized and prospected.
Atmospheric temperature, humidity and pressure are deemed important atmospheric parameters. Quickly and accurately understanding the temperature, humidity and pressure information of the atmosphere and their changing trends is of great significance to research on meteorology, climatology, and artificial weather research. Raman lidar can obtain various atmospheric environment-related parameters by separating Raman scattering signal inversion, which can achieve high accuracy detection of atmospheric parameter profile information. Raman lidar has unique advantages and potential in atmospheric temperature, humidity and pressure detection. With an introduction to the principle and inverse analysis algorithm of Raman lidar for atmospheric temperature, humidity and pressure detection, this paper also highlights the advantages and disadvantages along with related advances of spectral devices such as filters, etalons and gratings commonly used in Raman lidar. The detection techniques involved in Raman lidar are also included. Finally, typical applications of meteorological parameter measurements by Raman lidar are shown.
With the continuous development of optical imaging technology and the growing demand for remote sensing applications, cross-scale high-resolution optical technology has been widely used in the field of remote sensing. In order to obtain more detailed information on the target, domestic and foreign researchers have carried out relevant research in different technical directions. In this paper, through the technical classification of remote sensing imaging, we introduce a representative aerospace optical remote sensing high-resolution imaging system. It focuses on monomer structure, block expandable imaging, optical interference synthesis aperture imaging, diffraction main mirror imaging, optical synthetic aperture and other technologies. It provides a new idea for the development of high-resolution optical remote sensing loads on the ground.
With the rapid development of laser technology, the application of laser in the medical field has gained growing attention. Due to its advantages of non-contact, high precision, low damage, portability and operational flexibility, laser treatment significantly enriches the clinical treatment toolkit. Moreover, it has substituted traditional methods for certain diseases and improved the overall medical treatment capability. Currently, laser treatment has gained increasing market share and has a great potential for even more widespread applications. Here, we introduce the laser treatment technique and the requirements of medical laser systems, expound the current status of the applications of laser treatment in clinical departments in a comprehensive manner, and give suggestions regarding to the problems in the laser treatment field in China.
At present, the simulation research of arc actuators is limited to only obtaining the working characteristics of the plasma generated by the actuator, such as potential, pressure, temperature and velocity, while the plasma state is limited to only diagnosing its electron temperature and electron density by spectrum. The two are separated. This paper attempts to unify the two. Therefore, the arc jet plasma actuator designed here adopts the finite element method to solve the nonlinear multi physical equations. The working characteristics of the arc jet plasma actuator are numerically simulated, and the potential, pressure, temperature and velocity distributions inside the actuator are obtained. On this basis, the electron density is calculated and the simulation calculation model of the plasma state (electron temperature and electron density) of the actuator is obtained from the working condition of the actuator. Then the spectral diagnosis of the jet plasma is carried out by using the emission spectral diagnosis method, and the electron density of plasma is calculated by using the intensity ratio method of discrete spectral lines. The diagnostic experiment of the arc plasma actuator shows that the maximum electron temperature is 10505.8 K and the maximum electron density is 5.75×1022 m−3. For the plasma electron temperature and plasma density under different working conditions, the experimental and simulation results increase with the increase of inlet gas flow and discharge current. It shows that our simulation model of plasma state is reasonable and applicable for our miniaturized arc jet actuator with high jet velocity.
In order to improve the autonomous detection ability of the airborne optronics pod of a UAV under special working conditions, this paper developed a targeting technology suitable for the airborne optronics pod in an actual engineering project, and realized the functional verification on the embedded GPU (Graphics Processing Unit, Jetson-TX2i platform model). Firstly, we proposed an improved SURF (Speeded Up Robust Features) algorithm and GPU-accelerated digital image processing scheme to detect and match the real-time features of two images acquired at different focal lengths. Secondly, geometric cross-ratio invariance was used to correct the position information of distorted feature points at image edges. Finally, we used the least square method to estimate the depth information of the target and combines the quaternion space model to determine the attitude information of the target to determine its position. Experimental results show that the improved SURF algorithm is superior to the classical SURF algorithm in feature matching accuracy and speed. If the corner characteristic position error is controlled within one pixel, the depth error is no more than 2% and the angle errors of azimuth, pitch and roll angles are less than 4°, 5° and 2°, respectively. This error meets the target positioning accuracy requirements of the airborne optronics pod. In addition, when processing a set of images (two frames) at 1080 P resolution, the processing time can be increased to 74 ms through GPU acceleration, which meets the real-time demand for data processing in the airborne optronics pod.
Infrared polarization imaging technology has the advantages of long detection range and high rate of target recognition. However, the polarization characteristics of targets are easily affected by background radiation in complex environments, which significantly reduces the detection capability of infrared polarization equipment. Based on the polarized Bidirectional Reflectance Distribution Function (pBRDF), this paper establishes a calculation model for the target’s Degree of Linear Polarization (DoLP), comprehensively considering the radiation coupling effect between the target and the background. The variation of the target’s DoLP under two conditions - with and without a strong radiation backplate – is then comparatively studied. Additionally, in order to solve problems of land-based and airborne small-angle detection, simulation research is done to find out how the target’s DoLP is influenced by parameters such as the temperatures and the included angle between the target and the backplate. Research results show that the radiation coupling effect significantly reduces the target’s degree of polarization when the temperatures of the target and the backplate are the same, but it does not change the trend of the target’s degree of polarization, which increases with an increase in temperature. When the temperature of the target and the backplate is 30 °C, 40 °C, and 50 °C, the maximum degree of polarization of the target is 63.7%, 44.9%, and 42.2% of those without a strong radiation backplate, respectively. It can be concluded then that the higher the temperature, the stronger the radiation coupling effect between the target and the backplate, and the greater the reduction of the target’s degree of polarization; and that the strength of the radiation coupling effect is not only related to the temperature, but also to the included angle between the target and the backplate. With the increase of the included angle, the target’s DoLP first increases and then decreases, and the maximum value is obtained when the included angle is about 105°. Therefore, the radiation coupling effect changes the target’s DoLP to a certain extent, thereby affecting the detection ability of the infrared polarization equipment. Finally, through building a long-wave infrared polarization imaging system, the established calculation model of the target’s degree of polarization is verified by experiments, whose results are basically consistent with those of the simulation analysis. Overall, the research results in this paper have certain guiding significance for improving the detection and identification capabilities of land-based and airborne infrared polarization equipment.
In order to generate double doughnut-shaped focal spots at adjustable positions along the axial direction, a vortex phase zone plate based on a formula of annular radius derived from vector diffraction integral was designed. The focusing properties of the modulated vortex phase zone plate were further investigated in a tightly focused system. First, integral formulas of linearly and circularly polarized vortex beams were calculated under high NA focusing conditions. Then, the intensity distributions of linearly and circularly polarized vortex beams in a high NA focusing system were simulated by integral formulas with various axial shifting distances and topological charges. Finally, the corresponding experimental results of linearly and circularly polarized light were also given, utilizing a spatial light modulator loaded on double doughnut-shaped phase patterns. The double doughnut-shaped focal spots with a topological charge of 1 and axial distances of ±10 μm and ±15 μm were produced when the incident light was linearly polarized. As well as the double doughnut-shaped focal spots with axial distances of ±20 μm, topological charges of 1−4 were also produced when the incident light was circularly polarized. The simulated and experimental results demonstrated that two doughnut-shape focal spots with controllable axial shifting distances and dark spot sizes could be produced in the tight focusing region of a high NA objective when it is modulated by the vortex phase zone plate. This kind of vortex phase zone plate could be applied in the field of optical micromanipulation, two-beam super-resolution nanolithography, and Stimulated-Emission-Depletion (STED) fluorescence microscopy.
With the continuous development of digital display technology, display methods have also changed. Pepper’s ghost images that adopt modern display methods require the light environment of the exhibition space not only to ensure the effect but also ensure better visual comfort. In order to explore the influence of the lighting environment on the display effect based on Pepper’s ghost images, a virtual imaging display space is set up to analyze the factors and trends affecting the imaging effect, in which 12 sets of LED lighting conditions with different illuminances and color temperatures are generated. 25 observers are selected to conduct a psychophysical experiment. The experiment shows that color temperature has no significant effect on the evaluation of color authenticity, detail expressiveness and stereoscopic expressiveness for Pepper’s ghost images; illumination has no strong effect on the evaluation of the color authenticity of Pepper’s ghost images, but has a significant effect on their detail expressiveness and stereoscopic expressiveness. Under the lighting environment where the color temperature is 3500 K and the illumination is 10 lx, the detailed expressiveness and stereoscopic expressiveness of the display effect are relatively high and the visual comfort of 2500 K and 10 lx is better.
To investigate the multiple scattering transmission characteristics of polarized light in ellipsoidal fine particles, a simulation and experiment verification system for black carbon aerosol particles was established. The polarization transmission characteristic after multiple scattering of the randomly oriented ellipsoidal fine particles are studied by combining the T-matrix with the Monte Carlo method. A half-real simulation testing environment was established to verify the simulation algorithm, and the ellipsoidal fine particles were prepared by extending ganoderma lucidum spores′ burning time. The size distribution and optical thickness of the ellipsoidal fine particles were measured by Malvern Spraytec and a light power meter, respectively. The simulation results can be proven by combining the experiment with the simulation. The results show that with an increase in the concentration of black carbon ellipsoidal fine particles, the Degree Of Polarization (DOP) of the horizontal, vertical, 45° linearly polarized and the right circularly polarized light all decrease, and the polarization preservation ability of three kinds of linear polarizations are basically consistent. The polarization preservation ability of the circularly polarized light gradually exceeds the linearly polarized light with an increase in concentration. The gap between the linear and circular polarizations becomes larger as it reaches its maximum value at 3.12 optical thickness. When the optical thickness is greater than 3.12, the DOP difference between the circularly and the linearly polarized lights tend to be stable. By calculation, the percent agreement between the simulation and the experiment is better than 70.84%. These results can expand the environmental applicable range of polarization detection and provide theoretical support for studying the polarization detection of atmospheric non-spherical particles.
The large aperture sky survey telescope needs closed-loop error correction based on the feedback of its wavefront sensing system, so as to give it a better conform to its limit detection ability. In this paper, firstly, the basic theoretical expression of sub region curvature sensing is derived. Then, a joint simulation model is established. The process of sub region curvature sensing is simulated and analyzed by using a combination of optical design software and numerical calculation software. Finally, by setting up a desktop experiment, the cross-comparison of single- and multi-target curvature sensors is carried out to verify the correctness of the algorithm. Compared to the traditional active optical technology, the method proposed in this paper can improve the detection signal-to-noise ratio and sampling speed by expanding the available guide stars. For the standard wavefront, compared with the single guide star curvature sensor, the error is 0.02 operating wavelengths (RMS), and the error is less than 10%, which can effectively improve the correction ability of the active optical system.
In order to improve the suitability of the fiber hydrophone towing line array, a flexible fiber grating hydrophone array was proposed.The sound pressure sensitivity of three flexible fiber grating hydrophones was calculated according to the mechanical theoretical model, and the influence factors were compared and analyzed. 2-element flexible fiber hydrophone sample arrays with diameters of 10 mm,12 mm and 16 mm were developed through finite element simulation for frequency response analysis. The sensitivity was measured by a vibration liquid column experiment. The experimental results show that the response is flat within the frequency range of 200~800 Hz, and the average sound pressure sensitivities of the hydrophone arrays with different structural parameters are −138.90 dB, −134.71 dB, and −136.12 dB, respectively. The theory and simulation analysis are verified. By further optimizing the material and structure parameters and using weak reflection fiber grating, an integrated flexible hydrophone array with hundreds of elements can be constructed according to the design in this paper.
The damage threshold of an interline transfer CCD irradiated by different wavelength nanosecond Raman lasers was studied and an experiment with 496 nm, 574 nm, 630 nm Raman and multispectral Raman laser-irradiated CCD was carried out. The damage threshold interval of dot damage, line damage and total damage were observed and collected by adjusting the energy of each focused Raman laser. By careful fitting, the damage threshold interval and the damage possibility curve of the CCD at different laser energy densities with each Raman laser were estimated. Results showed that the multispectral Raman laser including a residual pump laser is most effective for damaging the CCD than the monochrome Raman laser, and the 630nm Raman laser acts better than 574 nm and the 496 nm Raman laser. The microscopic images of the damaged CCD were reviewed, and the electronic characters of the damaged CCD were also tested to understand the damage and blindness mechanism of a Raman laser pulse-irradiated CCD.
Measurement repeatability is the largest uncertainty component of a light pressure based measurement device, which directly affects the accuracy of the measurement results. In order to improve the accuracy of the measurement power in the process of high-power laser measurement, a high-power laser measuring device based on light pressure is built. Quality measurement repeatability and laser power measurement repeatability experiments were carried out, and the results of the two experiments were compared and analyzed. The experimental results show that the measurement repeatability of the light pressure measuring device gradually decreased with the increase of the measured mass and the measured laser power, indicating that the light pressure method has more advantages in measuring high-power lasers. In the laser power measurement repeatability experiment, the influence of eccentric loads and airflow disturbance is avoided, so the laser power measurement repeatability is better than the measurement repeatability calculated according to the equivalent mass. The research results have guiding significance for further improving the measurement accuracy of the light pressure method in the future.
Airborne lidar is an important means to achieve long-range accurate atmospheric monitoring. Its laser wavelength is consistent with the absorption spectrum of most atmospheric pollutants and chemical substances, which makes it an important laser source for airborne lidar. However, it is difficult to design a temperature control system for airborne CO2 lasers to work in the −40 °C−55 °C temperature range under the controlled volume and weight conditions. In this paper, we propose a temperature closed-loop control method, in which the laser characteristic and environment temperature are used as input, and a thermo electric cooler and forced air cooling are combined. According to the structure and heat transfer characteristics of the laser, the thermo-electric cooler and the level of forced air cooling, the finite element model of temperature control method is established to optimize the temperature control performance of the laser. In a high temperature environment of 55 °C, the temperature of the laser is controlled at 40 °C after the temperature control system operates for 25 min. In a low temperature environment of −40 °C, the laser temperature is controlled at 25 °C after the temperature control system operates for 20 minutes, which meets the normal working requirements of the laser. According to the laser and the established temperature control method, the experimental research on the working ability of the laser in high and low temperature environment is carried out, the temperature data of the laser in the experimental process is collected, and the laser output power is measured under high and low temperature conditions. The experimental results show that the experimental measured temperature data is consistent with the finite element simulation results and the error between them is less than 10%. The laser using the proposed temperature control method can work steadily, and the output power of the laser is consistent with that of the laser at room temperature.
In order to improve the output performance of a high-power Thulium-Doped Fiber Laser (TDFL) and increase the optical-optical conversion efficiency of the system, a high-power TDFL with an all-fiber Main Oscillation Power Amplification (MOPA) structure was developed, which can operate in both Continuous Wave (CW) and Quasi-Continuous Wave (QCW) modes. First, a laser oscillator was built to study the output characteristics of the seed source laser. Then, a thulium-doped fiber amplifier was built and connected to the laser oscillator to study the output characteristics of the MOPA structured fiber laser. Finally, the pulse characteristics of the MOPA structured fiber laser were analyzed under the QCW modulation mode. The laser oscillator achieved a continuous and stable laser output with a central wavelength of 1940 nm, and the highest average output power was 18.56 W. The slope efficiency was 54.84%, and the spectrum was free of Raman components. Using this low-power continuous laser as the seed source through the homemade thulium-doped fiber amplifier, the average output power could reach 66.9 W, and the slope efficiency was 48.48%. When the system operated in the QCW mode, the frequency and duty cycle can be adjusted, and the peak power was calculated to be 80.3 W when the frequency was 75 Hz and the duty cycle was 10%. This research is of referential significance for the development of higher power MOPA lasers in the 2 μm band.
Aming at the problems of long processing time and low accuracy of the traditional laser spot center positioning algorithm used in a vibrating environment. We proposed a laser spot center positioning method based on a genetic algorithm optimized BP neural network. A BP neural network was applied to predict the spot center position and a genetic algorithm was applied to optimize the neural network. Based on the BP neural network, the gray weighted centroid method, centroid method, Gaussian fitting method were used to obtain the spot center position, and the centroid method was used to obtain the radius of laser spot, on the above basis, we predicted the actual center position of the spot. Genetic algorithms were used to optimize the weights and thresholds of neural networks to improve prediction accuracy. An experimental platform is established to simulate the vibration environment by applying perturbations to the optical system and the data is collected to train neural network and verify the algorithm. The experimental results show that the number of calibration test iterations before and after optimization is 55 and 29, and the average errors are 0.81 pixels and 0.45 pixels, respectively. Under the optimization of the genetic algorithm, the iteration speed and prediction accuracy of the neural network algorithm is improved.
In order to effectively avoid high computational complexity when using Maximum Likelihood (ML) detection, a deep learning-based Spatial Pulse Position Modulation (SPPM) multi-classification detector is proposed by combining a Deep Neural Network (DNN) and step detection. In the detector, the DNN is used to establish a non-linear relationship between the received signal and the PPM symbols. Thereafter, the subsequent received PPM symbols are detected according to this relationship, so as to avoid the exhaustive search process of PPM symbol detection. The simulation results show that with the proposed detector, the SPPM system approximately achieves optimal bit error performance on the premise of greatly reducing detection complexity. Meanwhile, it overcomes the error platform effect caused by K-Means Clustering (KMC) step classification detection. When the PPM order is 64, the computational complexity of the proposal is about 95.45% and 33.54% lower than that of ML detectors and linear equalization DNN detectors, respectively.
In the tower solar thermal power plant, the heliostat mirror shape errors have an important impact on the optical efficiency of the heliostat field, so it is necessary to measure the heliostat surface shape error. The heliostat is generally made up of splicing multiple sub-mirrors, the tilt angle error of the sub-mirror is an important part of the heliostat mirror shape errors. This paper proposes a measurement method for the tilt angle errors of the heliostat sub-mirror based on the photogrammetry. That is, under the condition of known the shape size of the heliostat sub-mirror, the spatial position coordinates of the 4 corner points of the heliostat sub-mirror are calculated by using the principle of photographic imaging. Then the normal direction of the sub-mirror is found, and the tilt angle of the sub-mirror is calculated by using the normal line obtained. Finally, the measurement for the tilt angle error of the heliostat sub-mirror is achieved. In this paper, the measurement principle of the method is elaborated, the calculation formula is derived, and relevant verification experiments were carried out using planar mirrors and cameras. By measuring the plane mirror with different tilt angles at different distances, the deviation between the measured tilt angle and the actual tilt angle of the plane mirror is about 0.1°~0.3°, and the experimental results show that the method can accurately measure the tilt angle error of the sub-mirror of heliostat, thus the correctness and feasibility of the method are verified.
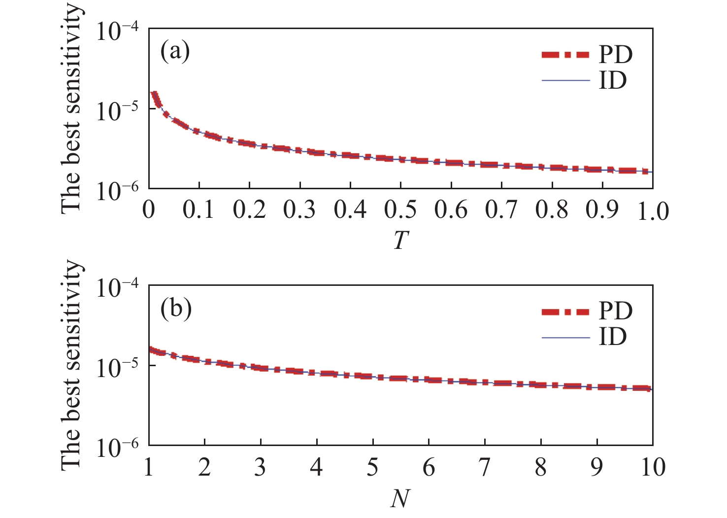
The refractive index measurements based on traditional wave optical methods are mainly depended on intensity and wavelength detection strategies. Interference spectrometers are widely used as the most ideal wavelength detecting devices. Interference spectrometers measure the signal intensity, analyze the change of fringe numbers and the corresponding optical path difference by means of optical power meter, and then calculate the wavelength of signal light. Therefore, its essence is still based on intensity detection. However, the resolution of interference signal in intensity detection is restricted by classical diffraction limit, thus its resolution is difficult to further improve. In order to solve this bottleneck, parity detection which could break through the classical resolution limit and realize super-resolution refractive index measurement is proposed in this paper. According to the quantum detection and estimation theory, the expressions for signals and their corresponding sensitivities of refractive index measurement with parity and intensity detections were derived respectively and their numerical comparison analysis was carried out. In addition, the effects of loss on resolution and sensitivity of the output signal were investigated. Numerical results show that the resolution of parity detection is
The cavity surface optical film is one of the most crucial components of the fiber bragg grating External Cavity diode Laser (ECL). Although, the Plane Wave Method (PWM) is widely used in the optical film preparation, it is not an ideal design method when applied in ECL preparation. The Finite-Difference Time-Domain (FDTD) method is used to analyze this problem by taking the effect of facet dimensions and structure into account. According to the simulation, PWM suffers from poor reflectivity and deviation of the reflection curve, which significantly affects performance. Therefore, the optical film design is optimized and verified by experiments. Magnetron sputtering is used to fabricate the optical film, which is then applied to ECL. The measurement results show that the reflectivity of Anti-Reflection (AR) film is reduced by 30% after optimization, while the reflectivity of High-Reflection (HR) film increased to 96%. The prepared ECL’s fiber output power exceeds 650 mW. In this paper, the optical film suitable for ECL is designed and fabricated, and provides a reference for optical films in ECLs and other semiconductor optoelectronic devices.
In this paper, we study the coherence of magnetic surface plasmons in one-dimensional metallic nano-slit arrays and propose a double-dip sensing method to improve sensitivity. Different from the conventional way of scanning wavelength at a fixed incident angle, coherence of surface plasmons is investigated by changing the incident angle at a fixed wavelength. Due to the retardation effect, two coherence dips move in opposite directions as the refractive index of the surrounding medium changes. Compared with one dip used for sensing, two oppositely moving dips can efficiently improve the sensitivity. The total sensitivity of two dips can reach 141.6°/RIU while the sensitivities of two single dips are 39.2°/RIU and 102.4°/RIU respectively. Besides, the inconsistency between the refractive index of slit medium and upper medium has few influences on the sensing performance, which will have wide practical applications.
To solve the problems of short illumination distance and narrow spectral range in the current underwater detection technology, an underwater semiconductor white laser imaging system was established. The quality of the images captured by the system under different light sources and different conditions was studied. A white laser with a power of 220 mW and a color temperature of 6469 K synthesized by an RGB semiconductor laser is used as the underwater lighting source, which is respectively compared with three RGB monochromatic lasers and an LED white light source under different conditions. For these images, different algorithms are used to process, analyze and evaluate their quality. The results indicate that when the white laser is used as the underwater light source, the collected image is not only better than that with the LED white light source with respect to information detail and structural integrity, but also better than the monochrome laser in color reproduction of the target and the integrity of the edge feature information. The semiconductor white laser has the advantages of concentrated energy, strong color rendering, and high illuminance, and its light source performance can meet the requirements of underwater low-illumination imaging. With the same imaging system and imaging distance, images with stronger authenticity, better texture and more target feature information can be obtained.
Abstract
FullText HTML
PDF 7682KB

