2018年 11卷 第2期
2018, 11(2): 153-165.
doi: 10.3788/CO.20181102.0153
摘要:
深海光学成像系统分为4个子系统:照明系统、相机系统、图像处理系统以及数据存储与传输系统,本文对深海光学成像系统化研究与发展趋势展开分析。文中有针对性地对深海光学成像最前端的两个子系统-照明系统与相机系统进行了较为详细地阐述。其中,深海照明系统进一步细分为3个更小的系统:光源系统、配光系统以及灯阵系统;对于深海相机系统则根据其应用领域及技术特点细分为水下普通成像、激光成像、偏振光成像、3D/全景成像、显微成像以及光谱成像6类。从近年来国内外深海光学成像的发展历史及现状来看,其未来的发展趋势可以归结为以下几点:更高的分辨率,更深的工作深度,更大的观测范围以及更多样的成像方式。
深海光学成像系统分为4个子系统:照明系统、相机系统、图像处理系统以及数据存储与传输系统,本文对深海光学成像系统化研究与发展趋势展开分析。文中有针对性地对深海光学成像最前端的两个子系统-照明系统与相机系统进行了较为详细地阐述。其中,深海照明系统进一步细分为3个更小的系统:光源系统、配光系统以及灯阵系统;对于深海相机系统则根据其应用领域及技术特点细分为水下普通成像、激光成像、偏振光成像、3D/全景成像、显微成像以及光谱成像6类。从近年来国内外深海光学成像的发展历史及现状来看,其未来的发展趋势可以归结为以下几点:更高的分辨率,更深的工作深度,更大的观测范围以及更多样的成像方式。
2018, 11(2): 166-173.
doi: 10.3788/CO.20181102.0166
摘要:
本文提出了一种光控太赫兹开关,该开关采用覆盖单层石墨烯的十字金属谐振器超表面。利用石墨烯表面电导率模型和有限元法计算了这种复合结构的光谱特性。模拟结果表明,在0.2 W/mm2的光泵浦后,传输谱(调制深度为36.8%,Q-因子为250)出现了窄带共振衰减现象。另外,这种衰减的调制深度可以通过改变泵浦强度微调节。因此,光学可调谐太赫兹开关的设计将有助于太赫兹通信应用的功能组件开发。
本文提出了一种光控太赫兹开关,该开关采用覆盖单层石墨烯的十字金属谐振器超表面。利用石墨烯表面电导率模型和有限元法计算了这种复合结构的光谱特性。模拟结果表明,在0.2 W/mm2的光泵浦后,传输谱(调制深度为36.8%,Q-因子为250)出现了窄带共振衰减现象。另外,这种衰减的调制深度可以通过改变泵浦强度微调节。因此,光学可调谐太赫兹开关的设计将有助于太赫兹通信应用的功能组件开发。
2018, 11(2): 174-181.
doi: 10.3788/CO.20181102.0174
摘要:
本文针对高速环境下的车型识别问题,提出基于方向可控滤波器的改进HOG算法。将方向可控滤波器算法与HOG算法相结合,以实现对车辆图像特征提取。采用主成分分析算法(PCA)约减特征向量维数以减少计算复杂度,利用支持向量机算法对提取特征进行样本训练,实现对车辆外型特征的识别。仿真实验结果表明:采用该算法原始车辆车型的识别正确率均值达到92.36%;另外,本文方法的识别速度比传统的HOG特征算法提高了3.45%,识别实时性得到提升。本文算法比传统HOG算法更优,能有效提高车型识别的效率。
本文针对高速环境下的车型识别问题,提出基于方向可控滤波器的改进HOG算法。将方向可控滤波器算法与HOG算法相结合,以实现对车辆图像特征提取。采用主成分分析算法(PCA)约减特征向量维数以减少计算复杂度,利用支持向量机算法对提取特征进行样本训练,实现对车辆外型特征的识别。仿真实验结果表明:采用该算法原始车辆车型的识别正确率均值达到92.36%;另外,本文方法的识别速度比传统的HOG特征算法提高了3.45%,识别实时性得到提升。本文算法比传统HOG算法更优,能有效提高车型识别的效率。
2018, 11(2): 182-189.
doi: 10.3788/CO.20181102.0182
摘要:
无创性血糖检测仍是糖尿病患者护理安全舒适的现实科学任务。本文研究了血糖光学特性与血糖浓度之间的相关性。用时域THz光谱研究了全血在0.3~0.5 THz频率范围内的透射谱。在注射胰岛素后的短时间内,由同一糖尿病患者产生了生物样品。得到了血液光学特性的频散特性。基于频散,给出了血糖浓度与折射率和介电常数的关系式。这项工作是复杂研究的一部分,重点是无创葡萄糖测量技术的发展。记录血糖水平与血液光学参数之间的依赖关系,使得将来可以使用反射光谱技术进行无创血糖水平检测。
无创性血糖检测仍是糖尿病患者护理安全舒适的现实科学任务。本文研究了血糖光学特性与血糖浓度之间的相关性。用时域THz光谱研究了全血在0.3~0.5 THz频率范围内的透射谱。在注射胰岛素后的短时间内,由同一糖尿病患者产生了生物样品。得到了血液光学特性的频散特性。基于频散,给出了血糖浓度与折射率和介电常数的关系式。这项工作是复杂研究的一部分,重点是无创葡萄糖测量技术的发展。记录血糖水平与血液光学参数之间的依赖关系,使得将来可以使用反射光谱技术进行无创血糖水平检测。
2018, 11(2): 190-197.
doi: 10.3788/CO.20181102.0190
摘要:
垂直腔面发射激光器因其具有低阈值、低功耗、可实现高速调制等优势,广泛地应用于光通信和光互连等领域。寄生电容是影响激光器的调制带宽的主要因素之一。本文通过采用低k值的苯并环丁烯(BCB)平整技术有效地降低了垂直腔面发射激光器的寄生电容。详细研究了BCB平整技术的最优工艺参数,为未来高速垂直腔面发射激光器的制造技术提供参考。低k值BCB平整垂直腔面发射激光器在7 μm氧化孔径下3 dB小信号调制带宽可达15.2 GHz。
垂直腔面发射激光器因其具有低阈值、低功耗、可实现高速调制等优势,广泛地应用于光通信和光互连等领域。寄生电容是影响激光器的调制带宽的主要因素之一。本文通过采用低k值的苯并环丁烯(BCB)平整技术有效地降低了垂直腔面发射激光器的寄生电容。详细研究了BCB平整技术的最优工艺参数,为未来高速垂直腔面发射激光器的制造技术提供参考。低k值BCB平整垂直腔面发射激光器在7 μm氧化孔径下3 dB小信号调制带宽可达15.2 GHz。
2018, 11(2): 198-205.
doi: 10.3788/CO.20181102.0198
摘要:
近年来,激光增材制造技术(3D打印)成为科学研究及工业应用领域的热点。为了研究激光冲击强化对增材制造TC4钛合金性能的影响,本文采用能量为5 J,波长为1 064 nm,脉宽为10 ns,光斑直径为3 mm的脉冲激光对3D打印TC4钛合金进行激光冲击强化,分析了激光冲击强化前后材料的显微硬度、显微组织、残余应力以及高温氧化性能。结果表明,经过激光冲击强化后,材料的显微硬度比激光冲击强化前提高了8%,影响层深度达到0.4 mm,强化区域的晶粒得到细化,位错增多,并产生形变孪晶;激光冲击强化的残余压应力数值高达472 MPa,材料的高温抗氧化性能也得到改善。
近年来,激光增材制造技术(3D打印)成为科学研究及工业应用领域的热点。为了研究激光冲击强化对增材制造TC4钛合金性能的影响,本文采用能量为5 J,波长为1 064 nm,脉宽为10 ns,光斑直径为3 mm的脉冲激光对3D打印TC4钛合金进行激光冲击强化,分析了激光冲击强化前后材料的显微硬度、显微组织、残余应力以及高温氧化性能。结果表明,经过激光冲击强化后,材料的显微硬度比激光冲击强化前提高了8%,影响层深度达到0.4 mm,强化区域的晶粒得到细化,位错增多,并产生形变孪晶;激光冲击强化的残余压应力数值高达472 MPa,材料的高温抗氧化性能也得到改善。
2018, 11(2): 206-211.
doi: 10.3788/CO.20181102.0206
摘要:
为了研究LD面阵侧面泵浦Nd:YAG晶体吸收光场的均匀性,本文提出了一种新的求解泵浦光路径的计算方法。首先建立了适用于不同泵浦结构的激光二极管多侧面泵浦全固态激光器的晶体吸收光场分布模型;然后模拟并分析了单向面阵泵浦结构各参量:bar条个数、bar条间隔、bar面倾斜程度对面阵泵浦晶体吸收光场均匀性及泵浦效率的影响。本文研究为LD侧面泵浦全固态激光器的设计和研究提供理论基础。
为了研究LD面阵侧面泵浦Nd:YAG晶体吸收光场的均匀性,本文提出了一种新的求解泵浦光路径的计算方法。首先建立了适用于不同泵浦结构的激光二极管多侧面泵浦全固态激光器的晶体吸收光场分布模型;然后模拟并分析了单向面阵泵浦结构各参量:bar条个数、bar条间隔、bar面倾斜程度对面阵泵浦晶体吸收光场均匀性及泵浦效率的影响。本文研究为LD侧面泵浦全固态激光器的设计和研究提供理论基础。
2018, 11(2): 212-218.
doi: 10.3788/CO.20181102.0212
摘要:
为解决目前大多数紫外成像仪存在的定位和指向精度差、色差较大、分辨率及光能利用率不足等问题,设计了一款高分辨率的大孔径消色差紫外光学系统。首先,根据电晕放电检测的应用需求,提出了紫外光学系统的总体设计。然后利用熔石英及氟化钙两种材料的不同色散特性,根据改进的双胶合透镜结构设计了一款大孔径的消色差紫外光学系统,并对该系统进行了公差分析。设计的紫外光学系统在全视场全探测范围内点列图均方根直径 < 0.08 mm,分辨率为20 lp/mm,满足电力行业中对电晕探测的需求。
为解决目前大多数紫外成像仪存在的定位和指向精度差、色差较大、分辨率及光能利用率不足等问题,设计了一款高分辨率的大孔径消色差紫外光学系统。首先,根据电晕放电检测的应用需求,提出了紫外光学系统的总体设计。然后利用熔石英及氟化钙两种材料的不同色散特性,根据改进的双胶合透镜结构设计了一款大孔径的消色差紫外光学系统,并对该系统进行了公差分析。设计的紫外光学系统在全视场全探测范围内点列图均方根直径 < 0.08 mm,分辨率为20 lp/mm,满足电力行业中对电晕探测的需求。
2018, 11(2): 219-230.
doi: 10.3788/CO.20181102.0219
摘要:
为了满足太阳光谱在170~380 nm波段的精确观测需求,设计了波长重复性精度优于±0.02 nm的紫外双光栅光谱仪。波长扫描机构是双光栅光谱仪的关键组件,根据凹面光栅色散原理,将光学设计指标转换为波长扫描机构设计的输入参数,分析了影响光谱仪波长重复性精度的误差源。根据分析结果得知,丝杠的重复定位误差是影响波长重复性的主要误差源。选用重复定位精度为±2 μm的丝杠设计了波长扫描机构,并对光谱仪整机进行了设计。以汞灯光源对光谱仪的波长重复性指标进行了验证实验。实验结果表明,设计的光谱仪波长重复性介于-0.005~+0.007 nm之间,满足波长重复性优于±0.02 nm的指标要求。
为了满足太阳光谱在170~380 nm波段的精确观测需求,设计了波长重复性精度优于±0.02 nm的紫外双光栅光谱仪。波长扫描机构是双光栅光谱仪的关键组件,根据凹面光栅色散原理,将光学设计指标转换为波长扫描机构设计的输入参数,分析了影响光谱仪波长重复性精度的误差源。根据分析结果得知,丝杠的重复定位误差是影响波长重复性的主要误差源。选用重复定位精度为±2 μm的丝杠设计了波长扫描机构,并对光谱仪整机进行了设计。以汞灯光源对光谱仪的波长重复性指标进行了验证实验。实验结果表明,设计的光谱仪波长重复性介于-0.005~+0.007 nm之间,满足波长重复性优于±0.02 nm的指标要求。
2018, 11(2): 231-236.
doi: 10.3788/CO.20181102.0231
摘要:
为了实时抑制太阳耀光对海面目标探测的影响,基于偏振光学理论,设计并构建了一套偏振自适应滤波探测系统。本文介绍了偏振探测系统的功能和组成、偏振探测及背景抑制原理,并给出了该系统的光学设计结果;利用自适应偏振滤波探测系统,通过搭载望远镜跟踪试验平台,针对海上典型目标,开展了相关的偏振验证实验。实验结果表明:海面太阳耀光存在比较明显的偏振特性,采用常规探测手段,探测器极易出现饱和,而利用偏振探测技术则能够有效抑制太阳耀光的影响,进而实现目标的有效探测。
为了实时抑制太阳耀光对海面目标探测的影响,基于偏振光学理论,设计并构建了一套偏振自适应滤波探测系统。本文介绍了偏振探测系统的功能和组成、偏振探测及背景抑制原理,并给出了该系统的光学设计结果;利用自适应偏振滤波探测系统,通过搭载望远镜跟踪试验平台,针对海上典型目标,开展了相关的偏振验证实验。实验结果表明:海面太阳耀光存在比较明显的偏振特性,采用常规探测手段,探测器极易出现饱和,而利用偏振探测技术则能够有效抑制太阳耀光的影响,进而实现目标的有效探测。
2018, 11(2): 237-247.
doi: 10.3788/CO.20181102.0237
摘要:
为研究人体红外热成像和体内肿瘤热源的关联,本文构建了包括骨层、肌肉层、脂肪层、皮肤层的人体腿部有限元模型。根据体内温度沿径向分布的特点,给出了各区域内动脉血液灌注热生成率随径向坐标变化的情况,解决了有限元建模中动脉血灌注热生成率随温度变化的非线性问题。进而用有限元方法数值计算了不同尺寸和不同深度的体内肿瘤所带来的温度变化。结果表明:在所研究的肿瘤尺寸范围内,肿瘤尺寸越小,体内温度提升越高,体表的峰值温度越高,体表温度分布半峰宽越窄,温度变化越陡峭。对于特定尺寸的肿瘤,肿瘤越深,体内峰值温度越高,体表的峰值温度越低,体表温度分布半峰宽越宽,温度变化越平缓。
为研究人体红外热成像和体内肿瘤热源的关联,本文构建了包括骨层、肌肉层、脂肪层、皮肤层的人体腿部有限元模型。根据体内温度沿径向分布的特点,给出了各区域内动脉血液灌注热生成率随径向坐标变化的情况,解决了有限元建模中动脉血灌注热生成率随温度变化的非线性问题。进而用有限元方法数值计算了不同尺寸和不同深度的体内肿瘤所带来的温度变化。结果表明:在所研究的肿瘤尺寸范围内,肿瘤尺寸越小,体内温度提升越高,体表的峰值温度越高,体表温度分布半峰宽越窄,温度变化越陡峭。对于特定尺寸的肿瘤,肿瘤越深,体内峰值温度越高,体表的峰值温度越低,体表温度分布半峰宽越宽,温度变化越平缓。
2018, 11(2): 248-254.
doi: 10.3788/CO.20181102.0248
摘要:
针对目前光滑表面力学性能测试困难的情况,建立了一种改进的数字激光散斑干涉测量系统。首先通过新的散斑干涉光路设计实现散斑照射,同时采用空间载波傅里叶变换法,对光滑零件加载变形的动态散斑干涉图像进行处理,最后得到光滑表面的变形场分布情况。该方法不对被测表面进行任何处理,可实现光滑表面的高精度全场变形测量。实验结果表明:最大变形处为镜面板的中央,测得最大变形量分别为1.936、1.861和1.797 μm,与中心变形预设值接近。该方法光路简单、测量方案切实可行,能够实现光滑表面变形的快速动态测量。
针对目前光滑表面力学性能测试困难的情况,建立了一种改进的数字激光散斑干涉测量系统。首先通过新的散斑干涉光路设计实现散斑照射,同时采用空间载波傅里叶变换法,对光滑零件加载变形的动态散斑干涉图像进行处理,最后得到光滑表面的变形场分布情况。该方法不对被测表面进行任何处理,可实现光滑表面的高精度全场变形测量。实验结果表明:最大变形处为镜面板的中央,测得最大变形量分别为1.936、1.861和1.797 μm,与中心变形预设值接近。该方法光路简单、测量方案切实可行,能够实现光滑表面变形的快速动态测量。
2018, 11(2): 255-264.
doi: 10.3788/CO.20181102.0255
摘要:
多层膜极紫外光刻掩模"白板"缺陷是制约下一代光刻技术发展的瓶颈之一,为提高对掩模"白板"上的膜层微结构缺陷的分辨能力,提出了一种微分干涉差共焦显微探测系统方案。基于标量衍射理论,计算了系统横向和轴向分辨率。利用MATLAB建模仿真,在数值孔径为0.65、工作波长为405 nm时,分析比较了微分干涉差共焦显微系统、传统显微系统和共焦显微系统的分辨率。结果表明微分干涉差共焦显微系统具有230 nm的横向分辨率和25 nm轴向台阶高度差的分辨能力(对应划痕等缺陷形式)。此外,仿真和分析了实际应用中探测器尺寸、样品轴向偏移等的影响,模拟分析了膜层微结构缺陷的探测,结果表明本系统可以探测200 nm宽、10 nm高的微结构缺陷,较另外两种系统有更好的探测能力。
多层膜极紫外光刻掩模"白板"缺陷是制约下一代光刻技术发展的瓶颈之一,为提高对掩模"白板"上的膜层微结构缺陷的分辨能力,提出了一种微分干涉差共焦显微探测系统方案。基于标量衍射理论,计算了系统横向和轴向分辨率。利用MATLAB建模仿真,在数值孔径为0.65、工作波长为405 nm时,分析比较了微分干涉差共焦显微系统、传统显微系统和共焦显微系统的分辨率。结果表明微分干涉差共焦显微系统具有230 nm的横向分辨率和25 nm轴向台阶高度差的分辨能力(对应划痕等缺陷形式)。此外,仿真和分析了实际应用中探测器尺寸、样品轴向偏移等的影响,模拟分析了膜层微结构缺陷的探测,结果表明本系统可以探测200 nm宽、10 nm高的微结构缺陷,较另外两种系统有更好的探测能力。
2018, 11(2): 265-278.
doi: 10.3788/CO.20181102.0265
摘要:
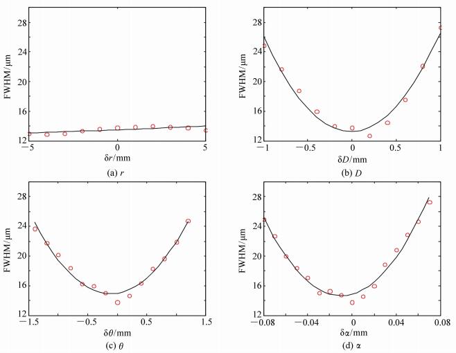
近边X射线吸收精细结构(NEXAFS)谱包含了吸收原子的局域结构信息,由于其适用范围广,灵敏度高,已经成为研究物质结构的重要手段之一。为了研究有机物的碳1s NEXAFS谱,本文基于气体激光等离子体X射线光源,采用具有平场特性的凹面变线距光栅作为分光元件,面阵CCD作为光谱探测器,设计了一台小型掠入射式近边X射线吸收谱仪。通过优化光栅和CCD的装配方案,得到了入射角88.6°的装配参数。利用光线追迹法分析了谱仪的分辨率,该谱仪工作波段2~5 nm,在4.4 nm处分辨率可达666。通过分析各结构参量误差对谱线半高宽的影响发现,半高宽对入射角的误差最为敏感,优化的装配方案可以实现入射角的高精度调节。利用氮气等离子体光谱测试了光谱仪的性能,结果显示分辨率达到设计指标。
近边X射线吸收精细结构(NEXAFS)谱包含了吸收原子的局域结构信息,由于其适用范围广,灵敏度高,已经成为研究物质结构的重要手段之一。为了研究有机物的碳1s NEXAFS谱,本文基于气体激光等离子体X射线光源,采用具有平场特性的凹面变线距光栅作为分光元件,面阵CCD作为光谱探测器,设计了一台小型掠入射式近边X射线吸收谱仪。通过优化光栅和CCD的装配方案,得到了入射角88.6°的装配参数。利用光线追迹法分析了谱仪的分辨率,该谱仪工作波段2~5 nm,在4.4 nm处分辨率可达666。通过分析各结构参量误差对谱线半高宽的影响发现,半高宽对入射角的误差最为敏感,优化的装配方案可以实现入射角的高精度调节。利用氮气等离子体光谱测试了光谱仪的性能,结果显示分辨率达到设计指标。
摘要
HTML全文
PDF 5729KB