2018年 11卷 第1期
2018, 11(1): 1-17.
doi: 10.3788/CO.20181101.0001
摘要:
激光诱导周期性表面结构(Laser-induced periodic surface structures,LIPSS)具有纳米尺度的特征结构和自重复的微观尺度的排列图案,因此,LIPSS在传感器、太阳能发电、光催化等方面具有广泛的应用前景。本文首先介绍LIPSS形成过程中超快激光与物质相互作用的复杂过程,强调瞬态光学性质和表面结构变化的作用。然后综述几种具有代表性的LIPSS形成机理,并且讨论了各自的优缺点。接着介绍了LIPSS形成过程中材料的变化,主要包括材料化学成分、晶体结构和表面微观结构的变化。最后综述了LIPSS在材料表面处理、光学和机械等方面的应用。
激光诱导周期性表面结构(Laser-induced periodic surface structures,LIPSS)具有纳米尺度的特征结构和自重复的微观尺度的排列图案,因此,LIPSS在传感器、太阳能发电、光催化等方面具有广泛的应用前景。本文首先介绍LIPSS形成过程中超快激光与物质相互作用的复杂过程,强调瞬态光学性质和表面结构变化的作用。然后综述几种具有代表性的LIPSS形成机理,并且讨论了各自的优缺点。接着介绍了LIPSS形成过程中材料的变化,主要包括材料化学成分、晶体结构和表面微观结构的变化。最后综述了LIPSS在材料表面处理、光学和机械等方面的应用。
2018, 11(1): 18-30.
doi: 10.3788/CO.20181101.0018
摘要:
本文主要介绍了二维可饱和吸收体材料在固体激光器中的应用与研究进展。简要介绍了新型二维材料的性质和优点。以石墨烯、拓扑绝缘体、过渡金属硫化物和黑磷等新型二维材料为例分析了它们在固体激光器中实现调Q或锁模的过程,展示了二维材料在脉冲固体激光研究中的重要应用前景。二维材料与固体激光器的结合,可进一步推进二维材料的研究,有望开发出大量新型固体激光器件并且作为基础光源应用于多个领域,推动相关领域的发展。
本文主要介绍了二维可饱和吸收体材料在固体激光器中的应用与研究进展。简要介绍了新型二维材料的性质和优点。以石墨烯、拓扑绝缘体、过渡金属硫化物和黑磷等新型二维材料为例分析了它们在固体激光器中实现调Q或锁模的过程,展示了二维材料在脉冲固体激光研究中的重要应用前景。二维材料与固体激光器的结合,可进一步推进二维材料的研究,有望开发出大量新型固体激光器件并且作为基础光源应用于多个领域,推动相关领域的发展。
2018, 11(1): 31-46.
doi: 10.3788/CO.20181101.0031
摘要:
金属纳米颗粒的等离激元共振引起的局域场增强效应,对显微成像、光谱学、半导体器件、非线性光学等诸多领域都具有极大的应用潜力。尤其是在光学纳米材料领域,通过亚波长金属纳米颗粒与电介质的组合引起局域场增强效应,提高了纳米材料的光学性能,并促进纳米材料在光学领域的应用。本文主要综述几种常见纳米结构所产生的局域场增强效应及其应用,详细介绍并总结了金属纳米材料的不同结构参数与局域场增强的关系及局域场增强在非线性光学、光谱学、半导体器件等领域的应用。未来,随着对金属纳米材料的研究愈发深入,局域场增强的应用将更加广泛,这将对诸多领域的发展产生重要影响。
金属纳米颗粒的等离激元共振引起的局域场增强效应,对显微成像、光谱学、半导体器件、非线性光学等诸多领域都具有极大的应用潜力。尤其是在光学纳米材料领域,通过亚波长金属纳米颗粒与电介质的组合引起局域场增强效应,提高了纳米材料的光学性能,并促进纳米材料在光学领域的应用。本文主要综述几种常见纳米结构所产生的局域场增强效应及其应用,详细介绍并总结了金属纳米材料的不同结构参数与局域场增强的关系及局域场增强在非线性光学、光谱学、半导体器件等领域的应用。未来,随着对金属纳米材料的研究愈发深入,局域场增强的应用将更加广泛,这将对诸多领域的发展产生重要影响。
2018, 11(1): 47-59.
doi: 10.3788/CO.20181101.0047
摘要:
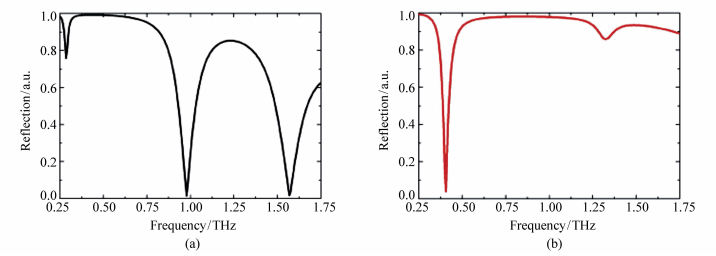
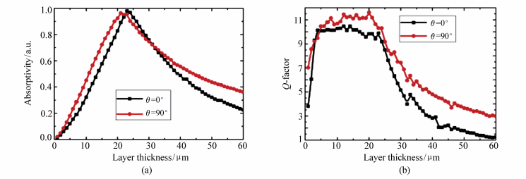
本文分析了电环形谐振腔的几何参数对超材料吸收体吸收率的影响。文中详细分析了电环形谐振腔参数、介电层(间隔物)厚度和电环形谐振腔厚度对超材料吸收体的影响,在此基础上,设置正交实验分析了几种参数的综合影响,最终获得超材料的理论吸收率。根据上述结果,制备了2个超材料吸收体的原理样机,经实验测得,原理样机的窄带吸收率高于98%。本文的研究成果为高性能吸收器的设计提供了指导。
本文分析了电环形谐振腔的几何参数对超材料吸收体吸收率的影响。文中详细分析了电环形谐振腔参数、介电层(间隔物)厚度和电环形谐振腔厚度对超材料吸收体的影响,在此基础上,设置正交实验分析了几种参数的综合影响,最终获得超材料的理论吸收率。根据上述结果,制备了2个超材料吸收体的原理样机,经实验测得,原理样机的窄带吸收率高于98%。本文的研究成果为高性能吸收器的设计提供了指导。
2018, 11(1): 60-73.
doi: 10.3788/CO.20181101.0060
摘要:
本文利用严格数值仿真研究了550~700 nm波段的可见光通过金属光栅耦合方式激发的表面等离激元(SPP)波在金属表面的光栅衍射行为与现象。研究结果表明:SPP波在金属表面的衍射行为与自由空间光相比有极大不同,由于SPP波的近场属性,经金属光栅衍射后在近场可表现出明显的光栅分光现象,但经过一段传输距离后则分光现象消失而表现为不同级次的光合为同一束光;在近场衍射情况下,其情况与自由空间光衍射行为类似,对SPP亚波长金属光栅来说同样只有零级透射光;而当金属光栅周期大于SPP波长时,高级衍射级次则开始出现。研究结果对下一步在金属表面上实现微米级片光谱仪器具有重要借鉴意义。
本文利用严格数值仿真研究了550~700 nm波段的可见光通过金属光栅耦合方式激发的表面等离激元(SPP)波在金属表面的光栅衍射行为与现象。研究结果表明:SPP波在金属表面的衍射行为与自由空间光相比有极大不同,由于SPP波的近场属性,经金属光栅衍射后在近场可表现出明显的光栅分光现象,但经过一段传输距离后则分光现象消失而表现为不同级次的光合为同一束光;在近场衍射情况下,其情况与自由空间光衍射行为类似,对SPP亚波长金属光栅来说同样只有零级透射光;而当金属光栅周期大于SPP波长时,高级衍射级次则开始出现。研究结果对下一步在金属表面上实现微米级片光谱仪器具有重要借鉴意义。
2018, 11(1): 74-82.
doi: 10.3788/CO.20181101.0074
摘要:
本论文构建了基于近红外量子点InP/ZnS和Cy7(C45H44K3N3O16S4)的荧光共振能量转移(FRET)体系,完成了不同pH值和不同浓度下的FRET体系转换效率的检测。检测结果显示:当量子点浓度保持不变时,随着染料浓度的增加,体系转换效率也随之增加,当InP/ZnS量子点与Cy7浓度比为1:250时,转换效率高达68%。细胞测试结果表明,FRET体系对pH值有较高敏感度,对细胞微环境pH值的检测精度可达0.1,该体系可以作为敏感型FRET探针用于生物微环境检测。
本论文构建了基于近红外量子点InP/ZnS和Cy7(C45H44K3N3O16S4)的荧光共振能量转移(FRET)体系,完成了不同pH值和不同浓度下的FRET体系转换效率的检测。检测结果显示:当量子点浓度保持不变时,随着染料浓度的增加,体系转换效率也随之增加,当InP/ZnS量子点与Cy7浓度比为1:250时,转换效率高达68%。细胞测试结果表明,FRET体系对pH值有较高敏感度,对细胞微环境pH值的检测精度可达0.1,该体系可以作为敏感型FRET探针用于生物微环境检测。
2018, 11(1): 83-91.
doi: 10.3788/CO.20181101.0083
摘要:
本文探索了基于光谱指数的蜜橘成熟度快速无损评价方法及模型。以2016年9~11月份6个不同采收期的300个蜜橘作为实验样品,采集重量、横纵径、叶绿素、色差、可溶性固形物(SSC)、酸度(TA)、近红外光谱等数据。通过对比分析上述各参数的平均值和偏差,筛选出叶绿素、叶绿素/SSC、叶绿素/固酸比作为蜜橘成熟度评价指标。利用光谱变异系数分析光谱的特征,筛选出649、724、672、1 100 nm 4个特征波长,通过特征波长线性组合方法以及相关性分析,得出最佳光谱指数。接着,以225个样品为建模集、75个样品为预测集,在成熟度评价指标与光谱指数间进行多元线性回归(MLR)分析。对比发现,以叶绿素为成熟度评价指标的评价模型的预测结果最准确,建模和预测相关系数分别达到0.98和0.96,建模均方根误差(RMSEC)和预测均方根误差(RMSEP)分别为0.49和0.59,建模和预测偏差分别为-6.1×10-8和-0.014。实验结果表明,利用光谱指数能便捷、准确地评定蜜橘成熟度,为后续开发低成本测量成熟度的仪器提供了理论依据。
本文探索了基于光谱指数的蜜橘成熟度快速无损评价方法及模型。以2016年9~11月份6个不同采收期的300个蜜橘作为实验样品,采集重量、横纵径、叶绿素、色差、可溶性固形物(SSC)、酸度(TA)、近红外光谱等数据。通过对比分析上述各参数的平均值和偏差,筛选出叶绿素、叶绿素/SSC、叶绿素/固酸比作为蜜橘成熟度评价指标。利用光谱变异系数分析光谱的特征,筛选出649、724、672、1 100 nm 4个特征波长,通过特征波长线性组合方法以及相关性分析,得出最佳光谱指数。接着,以225个样品为建模集、75个样品为预测集,在成熟度评价指标与光谱指数间进行多元线性回归(MLR)分析。对比发现,以叶绿素为成熟度评价指标的评价模型的预测结果最准确,建模和预测相关系数分别达到0.98和0.96,建模均方根误差(RMSEC)和预测均方根误差(RMSEP)分别为0.49和0.59,建模和预测偏差分别为-6.1×10-8和-0.014。实验结果表明,利用光谱指数能便捷、准确地评定蜜橘成熟度,为后续开发低成本测量成熟度的仪器提供了理论依据。
2018, 11(1): 92-99.
doi: 10.3788/CO.20181101.0092
摘要:
为了在复杂及伪装的红外背景中识别出小温差目标,本文提出了一种基于分孔径的偏振成像系统结构,并对分孔径偏振成像系统所采用的分孔径成像系统及中继成像系统进行了设计研究。首先,根据Stokes矢量介绍了系统的工作理论和光学结构;其次,在现有探测器的结构参数要求下,计算出了光学系统的偏心量等参数,选择硅、锗作为透镜材料。在此基础上,确定了分孔径成像系统结构和中继成像系统结构。接着使用离轴偏心多重结构设计方法对初始结构进行了优化,研究了将普通红外物镜转变为具有实入瞳的像方远心结构的方法;最后,完成了分孔径成像系统和中继成像系统的整体系统匹配。设计结果表明,整体系统的调制传递函数在探测器奈奎斯特频率为17 lp/mm处大于0.6,能够满足系统的设计要求。本文设计的结构可以对探测目标实现实时偏振成像,且具有结构紧凑的优点。
为了在复杂及伪装的红外背景中识别出小温差目标,本文提出了一种基于分孔径的偏振成像系统结构,并对分孔径偏振成像系统所采用的分孔径成像系统及中继成像系统进行了设计研究。首先,根据Stokes矢量介绍了系统的工作理论和光学结构;其次,在现有探测器的结构参数要求下,计算出了光学系统的偏心量等参数,选择硅、锗作为透镜材料。在此基础上,确定了分孔径成像系统结构和中继成像系统结构。接着使用离轴偏心多重结构设计方法对初始结构进行了优化,研究了将普通红外物镜转变为具有实入瞳的像方远心结构的方法;最后,完成了分孔径成像系统和中继成像系统的整体系统匹配。设计结果表明,整体系统的调制传递函数在探测器奈奎斯特频率为17 lp/mm处大于0.6,能够满足系统的设计要求。本文设计的结构可以对探测目标实现实时偏振成像,且具有结构紧凑的优点。
2018, 11(1): 100-107.
doi: 10.3788/CO.20181101.0100
摘要:
为了消除光学器件几何参数对无衍射光束传播特性调整的限制,实现长距空间中无衍射光束传播时特性参数的可控性,首先,通过研究axicon折射阴影区的电场分布特征,发现axicon无衍射区外过临界面后的近轴区域虽处于几何折射阴影近轴区域内,但仍存在光强服从第一类零阶贝赛尔函数分布的球面波;以此为基础,提出了一种不受传播空间距离限制的无衍射光束的生成方式;最后,在近12 m的尺度范围内进行无衍射光传播特性参数测试,发现其实验参数与理论计算值的差值不超过0.1 μm。该无衍射光通过对第一类零阶贝塞尔函数分布的球面衍射光斑准直生成,本质上区别于传统的干涉无衍射光束生成方式,易于生成大尺度空间无衍射光束。该无衍射光生成方式适合用于非能量使用情况下大尺度空间的直线基准、光束空间通讯等领域,具有较大的价值与意义。
为了消除光学器件几何参数对无衍射光束传播特性调整的限制,实现长距空间中无衍射光束传播时特性参数的可控性,首先,通过研究axicon折射阴影区的电场分布特征,发现axicon无衍射区外过临界面后的近轴区域虽处于几何折射阴影近轴区域内,但仍存在光强服从第一类零阶贝赛尔函数分布的球面波;以此为基础,提出了一种不受传播空间距离限制的无衍射光束的生成方式;最后,在近12 m的尺度范围内进行无衍射光传播特性参数测试,发现其实验参数与理论计算值的差值不超过0.1 μm。该无衍射光通过对第一类零阶贝塞尔函数分布的球面衍射光斑准直生成,本质上区别于传统的干涉无衍射光束生成方式,易于生成大尺度空间无衍射光束。该无衍射光生成方式适合用于非能量使用情况下大尺度空间的直线基准、光束空间通讯等领域,具有较大的价值与意义。
2018, 11(1): 108-114.
doi: 10.3788/CO.20181101.0108
摘要:
为了分析激光合束光学系统的成像质量,本文研究了激光合束光学系统的热耦合效应。借助光学设计软件建立激光合束系统模型,基于传热学理论,根据光学系统结构及流场条件参数建立气体流体模型。根据光线追迹法编写用户自定义函数,通过数值模拟定量研究了介质气体热效应引起的波像差系数。仿真分析了气体热效应在不同时间下对激光合束光学系统的影响。结果表明,受重力影响激光合束系统热效应的旋转对称性变得不再明显,随着温度升高呈现分层变化,且非均匀热效应以低阶像差为主。将波像差系数导入光学设计软件,可实现复杂光场与热场耦合传函的定量分析,波像差劣化0.3λ,传递函数下降0.1。
为了分析激光合束光学系统的成像质量,本文研究了激光合束光学系统的热耦合效应。借助光学设计软件建立激光合束系统模型,基于传热学理论,根据光学系统结构及流场条件参数建立气体流体模型。根据光线追迹法编写用户自定义函数,通过数值模拟定量研究了介质气体热效应引起的波像差系数。仿真分析了气体热效应在不同时间下对激光合束光学系统的影响。结果表明,受重力影响激光合束系统热效应的旋转对称性变得不再明显,随着温度升高呈现分层变化,且非均匀热效应以低阶像差为主。将波像差系数导入光学设计软件,可实现复杂光场与热场耦合传函的定量分析,波像差劣化0.3λ,传递函数下降0.1。
2018, 11(1): 115-122.
doi: 10.3788/CO.20181101.0115
摘要:
本文面向空间点目标探测,设计了基于高灵敏度CMOS传感器的空间点目标探测系统。首先对CMOS传感器图像进行降噪,提高传感器的探测灵敏度;其次,采用DSP+FPGA嵌入式架构,设计了基于星图匹配信息构建的点目标探测算法,并详细介绍了算法原理和步骤。最后,采用电子星图模拟器对该探测系统进行测试。结果表明:该嵌入式系统具备1 024×1 024@20p格式视频的实时处理能力,可以探测6等星。当信噪比大于6,视轴指向误差小于1°时,对于不同运动速度、不同尺寸点目标均能准确探测,识别正确率接近100%。综合而言,该空间点目标探测方法的计算精度高、适应性强、可靠性高,能够应用于空间点目标的有效探测。
本文面向空间点目标探测,设计了基于高灵敏度CMOS传感器的空间点目标探测系统。首先对CMOS传感器图像进行降噪,提高传感器的探测灵敏度;其次,采用DSP+FPGA嵌入式架构,设计了基于星图匹配信息构建的点目标探测算法,并详细介绍了算法原理和步骤。最后,采用电子星图模拟器对该探测系统进行测试。结果表明:该嵌入式系统具备1 024×1 024@20p格式视频的实时处理能力,可以探测6等星。当信噪比大于6,视轴指向误差小于1°时,对于不同运动速度、不同尺寸点目标均能准确探测,识别正确率接近100%。综合而言,该空间点目标探测方法的计算精度高、适应性强、可靠性高,能够应用于空间点目标的有效探测。
2018, 11(1): 123-130.
doi: 10.3788/CO.20181101.0123
摘要:
由于数字光栅投影仪的光强传递函数对于正弦投影条纹的质量以及相位测量精度起着至关重要的作用,本文提出了一种校正光学三维扫描仪光强传递函数的新方法。首先,分析了由于投影仪非线性响应引起的光栅谐波的相位测量误差;然后,通过投影一组不同灰度级的图像,并利用光功率计测出数字投影仪投出图像的亮度。接着,通过分析得到数字投影仪的非线性响应特性曲线,再经过数据处理,即可获得投影仪的光强传递函数;最后,对光强传递函数进行反函数逆变换,得到一个校正后的非正弦光栅,利用投影仪对该光栅的投影即可在被测物体表面上获得一个正弦光栅。数字投影仪对标准平板的测量结果表明,校正前平均误差为0.71 mm,校正后为0.55 mm;对于标准量块的测量,校正前的平均误差为0.62 mm,校正后为0.15 mm。上述结果表明,本文提出的方法可以减小由于系统非线性响应引起的测量误差并提高测量精度。
由于数字光栅投影仪的光强传递函数对于正弦投影条纹的质量以及相位测量精度起着至关重要的作用,本文提出了一种校正光学三维扫描仪光强传递函数的新方法。首先,分析了由于投影仪非线性响应引起的光栅谐波的相位测量误差;然后,通过投影一组不同灰度级的图像,并利用光功率计测出数字投影仪投出图像的亮度。接着,通过分析得到数字投影仪的非线性响应特性曲线,再经过数据处理,即可获得投影仪的光强传递函数;最后,对光强传递函数进行反函数逆变换,得到一个校正后的非正弦光栅,利用投影仪对该光栅的投影即可在被测物体表面上获得一个正弦光栅。数字投影仪对标准平板的测量结果表明,校正前平均误差为0.71 mm,校正后为0.55 mm;对于标准量块的测量,校正前的平均误差为0.62 mm,校正后为0.15 mm。上述结果表明,本文提出的方法可以减小由于系统非线性响应引起的测量误差并提高测量精度。
2018, 11(1): 131-151.
doi: 10.3788/CO.20181101.0131
摘要:
引力波的直接观测已开启引力波天文学的新篇章,爱因斯坦的百年预言终获证实。空间引力波探测器使得探测0.1 mHz~1 Hz频段丰富的引力波源成为可能,与地面引力波探测器互为补充,才可实现更加宽广波段的引力波探测,揭开宇宙早期的更多秘密。空间激光干涉引力波探测采用外差干涉测量技术,测量间距百万公里的两自由悬浮测试质量间10 pm量级的变化量。望远镜是激光干涉测量系统的重要组成部分,1 pm的光程稳定性及苛刻的杂散光要求,不同于传统的几何成像望远镜。本文根据空间太极计划任务需求,对望远镜的功能及技术要求进行了分析,并完成了原理样机的初步方案设计,针对百万公里远场波前分布,分析了望远镜系统的敏感性,同时完成了在轨光机热集成仿真,为后面原理样机的研制奠定了技术基础。
引力波的直接观测已开启引力波天文学的新篇章,爱因斯坦的百年预言终获证实。空间引力波探测器使得探测0.1 mHz~1 Hz频段丰富的引力波源成为可能,与地面引力波探测器互为补充,才可实现更加宽广波段的引力波探测,揭开宇宙早期的更多秘密。空间激光干涉引力波探测采用外差干涉测量技术,测量间距百万公里的两自由悬浮测试质量间10 pm量级的变化量。望远镜是激光干涉测量系统的重要组成部分,1 pm的光程稳定性及苛刻的杂散光要求,不同于传统的几何成像望远镜。本文根据空间太极计划任务需求,对望远镜的功能及技术要求进行了分析,并完成了原理样机的初步方案设计,针对百万公里远场波前分布,分析了望远镜系统的敏感性,同时完成了在轨光机热集成仿真,为后面原理样机的研制奠定了技术基础。
摘要
HTML全文
PDF 2629KB