2016年 9卷 第2期
2016, 9(2): 185-202.
doi: 10.3788/CO.20160902.0185
摘要:
作为光波最重要的本征物理属性之一,光场偏振态在研究光与物质相互作用中占有重要地位。矢量光场的波前调控为其聚焦场提供了更加复杂、更加灵活可控的振幅、相位以及偏振态分布,丰富了光与物质相互作用的手段,为材料表征提供了传统线偏振、圆偏振光场所不可替代的研究方法,具有重要的物理意义和实际应用价值。本文将综述矢量光场最新的研究进展,详细介绍矢量光场的偏振态特性、产生方法,以及紧聚焦轴对称矢量光场波前调控在远场小尺度光斑的产生、磁光记录、单分子/颗粒取向探测、任意三维偏振态的产生、高密度数据存储、信息加密以及矢量光场波前重构等方面的重要应用。
作为光波最重要的本征物理属性之一,光场偏振态在研究光与物质相互作用中占有重要地位。矢量光场的波前调控为其聚焦场提供了更加复杂、更加灵活可控的振幅、相位以及偏振态分布,丰富了光与物质相互作用的手段,为材料表征提供了传统线偏振、圆偏振光场所不可替代的研究方法,具有重要的物理意义和实际应用价值。本文将综述矢量光场最新的研究进展,详细介绍矢量光场的偏振态特性、产生方法,以及紧聚焦轴对称矢量光场波前调控在远场小尺度光斑的产生、磁光记录、单分子/颗粒取向探测、任意三维偏振态的产生、高密度数据存储、信息加密以及矢量光场波前重构等方面的重要应用。
2016, 9(2): 203-212.
doi: 10.3788/CO.20160902.0203
摘要:
大口径反射镜是大型反射式光学系统中关键的光学元件,在工作波段的反射率直接决定了光学系统的性能。随着地基、天基观测设备的发展,对大口径反射镜高反射膜提出了更宽的工作波段、更高的反射率、更好的环境适应性等要求。针对这些挑战,各种新的膜系结构、新的镀制方法、新的膜层材料纷纷出现,满足了大口径反射镜高反射膜的各种需求。本文对近些年国内外的大口径反射镜高反射膜研究进展予以综述,并预测大口径反射镜高反膜制备的技术趋势将由铝反射膜向银反射膜、由热蒸发向磁控溅射发展。
大口径反射镜是大型反射式光学系统中关键的光学元件,在工作波段的反射率直接决定了光学系统的性能。随着地基、天基观测设备的发展,对大口径反射镜高反射膜提出了更宽的工作波段、更高的反射率、更好的环境适应性等要求。针对这些挑战,各种新的膜系结构、新的镀制方法、新的膜层材料纷纷出现,满足了大口径反射镜高反射膜的各种需求。本文对近些年国内外的大口径反射镜高反射膜研究进展予以综述,并预测大口径反射镜高反膜制备的技术趋势将由铝反射膜向银反射膜、由热蒸发向磁控溅射发展。
2016, 9(2): 213-225.
doi: 10.3788/CO.20160902.0213
摘要:
随着纳米加工和制备技术的不断发展,金属纳米粒子的等离激元光学特性已得到了广泛的研究与应用。本文基于金属纳米颗粒等离激元共振特性,分析了金属纳米颗粒等离激元共振对介质谐波的增强机制,综述了该增强机制在近几年所取得的最新研究成果及其在生物成像领域的应用。金属纳米颗粒等离激元共振在增强介质非线性特性领域的发展趋势是从简单的金属纳米颗粒向复杂形状纳米颗粒和金属纳米颗粒组装体的发展,这些新型金属纳米颗粒在非线性光学、生物医学上的疾病诊断和治疗有良好的实际应用前景。
随着纳米加工和制备技术的不断发展,金属纳米粒子的等离激元光学特性已得到了广泛的研究与应用。本文基于金属纳米颗粒等离激元共振特性,分析了金属纳米颗粒等离激元共振对介质谐波的增强机制,综述了该增强机制在近几年所取得的最新研究成果及其在生物成像领域的应用。金属纳米颗粒等离激元共振在增强介质非线性特性领域的发展趋势是从简单的金属纳米颗粒向复杂形状纳米颗粒和金属纳米颗粒组装体的发展,这些新型金属纳米颗粒在非线性光学、生物医学上的疾病诊断和治疗有良好的实际应用前景。
2016, 9(2): 226-233.
doi: 10.3788/CO.20160902.0226
摘要:
为了解决水下激光距离选通图像成像过程中退化模型复杂的难题,提出了利用连续帧图像估计点扩散函数的距离选通超分辨成像方法。首先,从连续帧图像中选取一帧为参考帧作为初始清晰图像,下一帧图像为模糊图像,用梯度约束的方法求出点扩散函数,用于优化清晰图像;然后,依次将后续帧图像当作模糊图像与清晰图像交替迭代求取点扩散函数并优化更新清晰图像;最后获得的清晰图像与参考帧图像用乘法更新的方法估计点扩散函数,结合凸集投影法算法进行超分辨率成像重建。仿真实验结果表明,改进的算法重建图像分辨率和质量明显优于原始的算法。
为了解决水下激光距离选通图像成像过程中退化模型复杂的难题,提出了利用连续帧图像估计点扩散函数的距离选通超分辨成像方法。首先,从连续帧图像中选取一帧为参考帧作为初始清晰图像,下一帧图像为模糊图像,用梯度约束的方法求出点扩散函数,用于优化清晰图像;然后,依次将后续帧图像当作模糊图像与清晰图像交替迭代求取点扩散函数并优化更新清晰图像;最后获得的清晰图像与参考帧图像用乘法更新的方法估计点扩散函数,结合凸集投影法算法进行超分辨率成像重建。仿真实验结果表明,改进的算法重建图像分辨率和质量明显优于原始的算法。
2016, 9(2): 234-240.
doi: 10.3788/CO.20160902.0234
摘要:
本文针对多视角视频编码提出了一种新的编码方法。在此方法中,结合四维Walsh操作算子,以达到压缩目的。利用4维n阶矩阵Walsh变换,对先前彩色视频流的编码加以扩展,将其应用到八个视角的视频编码中,包括视频序列分块,Walsh正变换及反变换,反分块。这种方法能够利用视频序列之间的相关性并且减少视频序列之间的冗余。本文以VC++6.0为工具,编程实现了基于快速Walsh变换的多视角视频编码,研究了不同压缩比条件下的压缩性能。通过对实验数据的分析,本文提出的方法既保证了视频质量又具有很好的快速压缩性能。实验结果表明:本文方法具有可行性及有效性,且易于在编码端快速实现,为多视角视频的进一步研究奠定了基础。
本文针对多视角视频编码提出了一种新的编码方法。在此方法中,结合四维Walsh操作算子,以达到压缩目的。利用4维n阶矩阵Walsh变换,对先前彩色视频流的编码加以扩展,将其应用到八个视角的视频编码中,包括视频序列分块,Walsh正变换及反变换,反分块。这种方法能够利用视频序列之间的相关性并且减少视频序列之间的冗余。本文以VC++6.0为工具,编程实现了基于快速Walsh变换的多视角视频编码,研究了不同压缩比条件下的压缩性能。通过对实验数据的分析,本文提出的方法既保证了视频质量又具有很好的快速压缩性能。实验结果表明:本文方法具有可行性及有效性,且易于在编码端快速实现,为多视角视频的进一步研究奠定了基础。
2016, 9(2): 241-248.
doi: 10.3788/CO.20160902.0241
摘要:
为了选择适合太阳光泵浦的激光材料,本文从四能级速率方程出发,综合考虑了太阳辐射带状光谱特性和激光材料对泵浦光吸收能力,建立了太阳光泵浦固体激光理论模型。利用该模型推导得到了单束光侧面泵浦和椭球腔侧面泵浦方式下的泵浦阈值表达式,并结合Nd3+:YAG、Nd3+:glass、Nd3+:Cr3+:GSGG (Nd3+:Cr3+:Gd3Sc2Ga3O12)、Cr3+:BeAl2O4和Cr3+:Nd3+:YAG等激光材料的光谱参数,计算了这些材料的泵浦阈值光强。结果表明:在单束光侧面泵浦和椭球腔侧面泵浦方式下,Nd3+:YAG的泵浦阈值光强分别为448个太阳常数和224个太阳常数,是比较适合用太阳光泵浦的激光材料。由于椭球腔的特殊结构,采用椭球腔侧面泵浦激光介质,阈值光强比较低。分析了泵浦阈值光强与材料直径的关系。该模型可用于从现有的激光材料中筛选出在太阳光泵浦下最易输出激光的工作物质。
为了选择适合太阳光泵浦的激光材料,本文从四能级速率方程出发,综合考虑了太阳辐射带状光谱特性和激光材料对泵浦光吸收能力,建立了太阳光泵浦固体激光理论模型。利用该模型推导得到了单束光侧面泵浦和椭球腔侧面泵浦方式下的泵浦阈值表达式,并结合Nd3+:YAG、Nd3+:glass、Nd3+:Cr3+:GSGG (Nd3+:Cr3+:Gd3Sc2Ga3O12)、Cr3+:BeAl2O4和Cr3+:Nd3+:YAG等激光材料的光谱参数,计算了这些材料的泵浦阈值光强。结果表明:在单束光侧面泵浦和椭球腔侧面泵浦方式下,Nd3+:YAG的泵浦阈值光强分别为448个太阳常数和224个太阳常数,是比较适合用太阳光泵浦的激光材料。由于椭球腔的特殊结构,采用椭球腔侧面泵浦激光介质,阈值光强比较低。分析了泵浦阈值光强与材料直径的关系。该模型可用于从现有的激光材料中筛选出在太阳光泵浦下最易输出激光的工作物质。
2016, 9(2): 249-254.
doi: 10.3788/CO.20160902.0249
摘要:
本文利用共轭聚合物(MEH-PPV)覆盖TiO2纳米粒子薄膜制作随机激光器。随机TiO2纳米粒子薄膜的激光辐射阈值比平面MEH-PPV薄膜的放大自发辐射阈值缩小了9倍。这是由于TiO2纳米粒子诱导的多重散射造成的。进一步的飞秒荧光上转换实验表明,随机激光器中,光在增益介质里的停留时间有所增加,这直接证实了光在随机激光器结构中的多重散射引起光的传播路径增加。因此,这会促进更多的光发生辐射,从而降低随机激光器的阈值。
本文利用共轭聚合物(MEH-PPV)覆盖TiO2纳米粒子薄膜制作随机激光器。随机TiO2纳米粒子薄膜的激光辐射阈值比平面MEH-PPV薄膜的放大自发辐射阈值缩小了9倍。这是由于TiO2纳米粒子诱导的多重散射造成的。进一步的飞秒荧光上转换实验表明,随机激光器中,光在增益介质里的停留时间有所增加,这直接证实了光在随机激光器结构中的多重散射引起光的传播路径增加。因此,这会促进更多的光发生辐射,从而降低随机激光器的阈值。
2016, 9(2): 255-262.
doi: 10.3788/CO.20160902.0255
摘要:
为了确定一种新型间接测量太阳能热发电系统聚焦光斑能流密度分布方法的测量误差范围,对其进行了进一步研究。从理论公式出发,分析了该测量方法的误差源;使用球面小定日镜、CCD相机、漫反射板、中性密度滤光片等设备进行了能流密度测量的实验,使用MATLAB软件对实验数据进行处理,得到了漫反射板上聚焦光斑的能流密度分布和总能量;实验时借助全站仪测量并计算了定日镜中心的光线入射角,根据定日镜的面积和反射率、太阳直射辐射值、余弦效率等计算了光斑能量的理论值,并与测量得到的聚焦光斑总能量比较,得出了实验条件下该方法测量光斑总能量以及能流密度的相对误差为3.5%。该测量误差在允许范围内,进一步证实了该能流密度测量方法的正确性和可行性。
为了确定一种新型间接测量太阳能热发电系统聚焦光斑能流密度分布方法的测量误差范围,对其进行了进一步研究。从理论公式出发,分析了该测量方法的误差源;使用球面小定日镜、CCD相机、漫反射板、中性密度滤光片等设备进行了能流密度测量的实验,使用MATLAB软件对实验数据进行处理,得到了漫反射板上聚焦光斑的能流密度分布和总能量;实验时借助全站仪测量并计算了定日镜中心的光线入射角,根据定日镜的面积和反射率、太阳直射辐射值、余弦效率等计算了光斑能量的理论值,并与测量得到的聚焦光斑总能量比较,得出了实验条件下该方法测量光斑总能量以及能流密度的相对误差为3.5%。该测量误差在允许范围内,进一步证实了该能流密度测量方法的正确性和可行性。
2016, 9(2): 263-269.
doi: 10.3788/CO.20160902.0263
摘要:
在各类光学系统设计过程中,由于实验系统对于光学器件的透反射率要求不同,需要确定光学器件的透反射率。本文设计了一种对光学器件的透反射率进行精准测量及标定的系统,该系统通过对激光光源进行声光调制,使得激光输出功率的稳定度显著提高,避免了测量时光源不稳定带来的较大误差。实验结果表明,该系统能够稳定光源输出功率,稳定度维持在0.05%/h,甚至更高的水平,满足了光学器件透反射率测量的误差小,精度高等要求。
在各类光学系统设计过程中,由于实验系统对于光学器件的透反射率要求不同,需要确定光学器件的透反射率。本文设计了一种对光学器件的透反射率进行精准测量及标定的系统,该系统通过对激光光源进行声光调制,使得激光输出功率的稳定度显著提高,避免了测量时光源不稳定带来的较大误差。实验结果表明,该系统能够稳定光源输出功率,稳定度维持在0.05%/h,甚至更高的水平,满足了光学器件透反射率测量的误差小,精度高等要求。
2016, 9(2): 270-276.
doi: 10.3788/CO.20160902.0270
摘要:
计算全息图(CGH)作为零位补偿器广泛应用于高精度非球面的检测中,但CGH的基底误差直接限制了非球面的检测精度。为了获得超高精度的CGH基底,提出了应用离子束修正CGH基底的加工工艺。采用不同束径的离子束去除函数对一边长152 mm(有效口径140 mm圆形区域)、厚6.35 mm的正方形熔石英CGH基底分别进行了精抛、精修和透射波前修正实验。经过总计7轮的迭代修正,最终获得了透射波前为PV值20.779 nm、RMS值0.685 nm的超高精度CGH基底。实验结果表明:应用离子束修正高精度CGH基底的加工工艺具有较大优势,不仅具有较高的加工效率而且可以获得超高的加工精度。
计算全息图(CGH)作为零位补偿器广泛应用于高精度非球面的检测中,但CGH的基底误差直接限制了非球面的检测精度。为了获得超高精度的CGH基底,提出了应用离子束修正CGH基底的加工工艺。采用不同束径的离子束去除函数对一边长152 mm(有效口径140 mm圆形区域)、厚6.35 mm的正方形熔石英CGH基底分别进行了精抛、精修和透射波前修正实验。经过总计7轮的迭代修正,最终获得了透射波前为PV值20.779 nm、RMS值0.685 nm的超高精度CGH基底。实验结果表明:应用离子束修正高精度CGH基底的加工工艺具有较大优势,不仅具有较高的加工效率而且可以获得超高的加工精度。
2016, 9(2): 277-283.
doi: 10.3788/CO.20160902.0277
摘要:
衍射光学元件由于可以实现对高斯光束的整形而被重视,其通常的设计方法为G-S算法,由于使用傅里叶变换运算量大、费时长,将快速汉克尔变换应用到这些算法中可以极大地提高运算速度,节省运算时间,为设计复杂的光束整形元件提供了高效、可行的方法。本文利用该种方法设计针对中心波长为775 nm、光束束腰口径为6 cm的激光器,成功设计了一个具有二阶相位的折衍混合光学元件。仅单独这一片元件,既可在距离其35 m处得到一半径为200 μm的圆形平顶光斑,均方根误差D<0.021。当抽样值取215时,在普通PC机上运行时间仅为20.05 s,大大节省了优化设计时间(整个优化设计过程往往需要几十次甚是上百次这种运算)。同时利用离子刻蚀技术加工了该折衍混合元件,并进行了实际测试,结果与设计值基本相符,整形效果较好。这种单片的整形元件不仅整形效果好,还有利于与激光器的集成,简化系统的调节。
衍射光学元件由于可以实现对高斯光束的整形而被重视,其通常的设计方法为G-S算法,由于使用傅里叶变换运算量大、费时长,将快速汉克尔变换应用到这些算法中可以极大地提高运算速度,节省运算时间,为设计复杂的光束整形元件提供了高效、可行的方法。本文利用该种方法设计针对中心波长为775 nm、光束束腰口径为6 cm的激光器,成功设计了一个具有二阶相位的折衍混合光学元件。仅单独这一片元件,既可在距离其35 m处得到一半径为200 μm的圆形平顶光斑,均方根误差D<0.021。当抽样值取215时,在普通PC机上运行时间仅为20.05 s,大大节省了优化设计时间(整个优化设计过程往往需要几十次甚是上百次这种运算)。同时利用离子刻蚀技术加工了该折衍混合元件,并进行了实际测试,结果与设计值基本相符,整形效果较好。这种单片的整形元件不仅整形效果好,还有利于与激光器的集成,简化系统的调节。
2016, 9(2): 284-297.
doi: 10.3788/CO.20160902.0284
摘要:
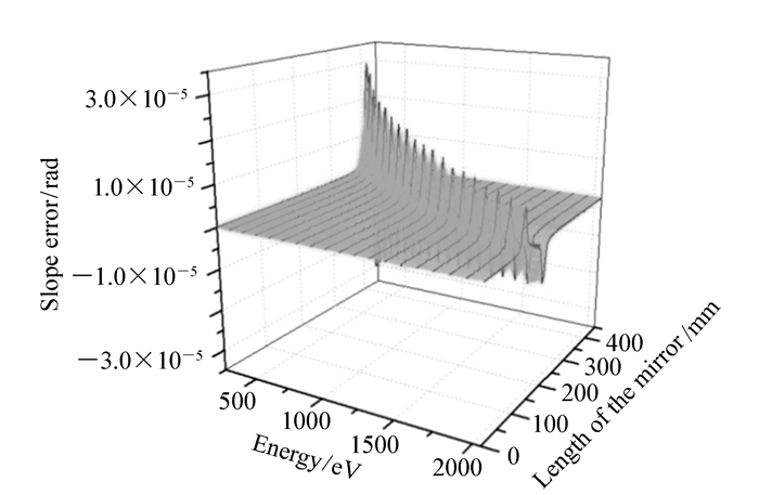
变包含角平面光栅单色器具有分辨率高和光通量高等优点,被广泛应用于各科研领域,并且随着相关领域研究的不断深入,迫切需要提高其光谱分辨率,以满足使用需求。为研究探索极高分辨率变包含角平面光栅单色器,结合上海同步辐射光源光束线,重点研究影响单色器分辨率的关键因素;对单色器光学元件表面热负载进行分析,设计冷却系统,降低热负载产生的影响;研究变包含角平面光栅单色器转角精度等检测方法。结果表明,根据推导出的变包含角平面光栅单色器光学放大倍数与单色器分辨率的关系式,达到优选极高分辨率工作模式的目的;加入冷却系统后,单色器前置平面镜因受热负载影响而产生的最大斜率误差由8.1 μrad降到3.1 μrad;设计可应用于变包含角光栅单色器分辨率达5×104的转角精度检测方法,检测精度可达0.026"。该研究将为第三代同步辐射光源中建造极高分辨变包含角单色器提供帮助。
变包含角平面光栅单色器具有分辨率高和光通量高等优点,被广泛应用于各科研领域,并且随着相关领域研究的不断深入,迫切需要提高其光谱分辨率,以满足使用需求。为研究探索极高分辨率变包含角平面光栅单色器,结合上海同步辐射光源光束线,重点研究影响单色器分辨率的关键因素;对单色器光学元件表面热负载进行分析,设计冷却系统,降低热负载产生的影响;研究变包含角平面光栅单色器转角精度等检测方法。结果表明,根据推导出的变包含角平面光栅单色器光学放大倍数与单色器分辨率的关系式,达到优选极高分辨率工作模式的目的;加入冷却系统后,单色器前置平面镜因受热负载影响而产生的最大斜率误差由8.1 μrad降到3.1 μrad;设计可应用于变包含角光栅单色器分辨率达5×104的转角精度检测方法,检测精度可达0.026"。该研究将为第三代同步辐射光源中建造极高分辨变包含角单色器提供帮助。
摘要
HTML全文
PDF 8655KB