Current Issue

Original Article
CO2 laser amplification technology based on RF waveguide
DONG Zhu-jun, ZHANG Ran-ran, ZHOU Yi-ping, ZENG Wen-bin, ZHAO Chong-xiao, HUANG Pan, GUO Jin, CHEN Fei, PAN Qi-kun
2026, 19(2): 251-257. doi: 10.37188/CO.2025-0113
Abstract:

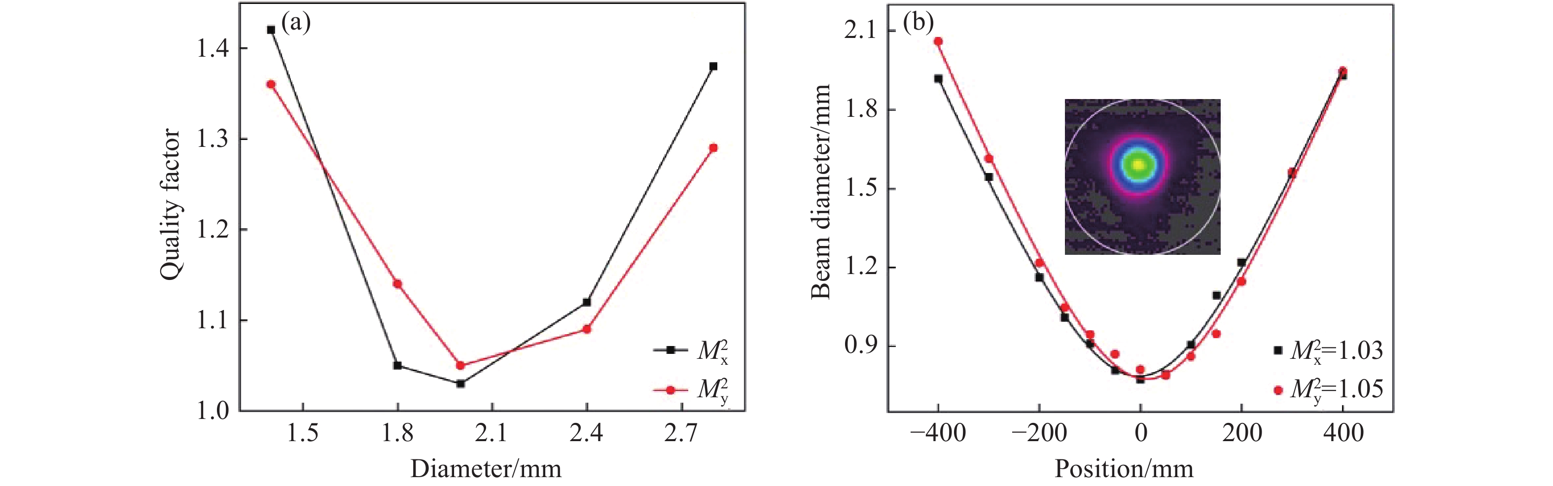
Toward the application demand for high-power, high-beam-quality CO2 seed lasers in extreme ultraviolet lithography light sources, the CO2 laser amplification technology were investigated based on a radio-frequency (RF) waveguide architecture. On one hand, The static insertion loss and output beam quality of the RF waveguide amplifier were measured as a function of incident beam parameters and the optimal mode-matching parameters were determined. On the other hand, a numerical model of the multi-stage RF waveguide amplification was developed to evaluate the effects of the gas pressure and the discharge pumping power on the amplification factor. The technology of regulating with gain medium was implemented to optimize the amplification performance in the experiment. The experimental results indicate that the optimal mode-matching conditions were identified with a waveguide length of 2.5 m, yielding a transmission efficiency of 91.4%. The beam quality factors of the output beam in the horizontal and vertical directions were 1.03 and 1.05, respectively. An overall amplification factor of 68× was achieved in a dual-stage RF waveguide amplifier. The system delivered CO2 laser emission with a repetition rate of 50 kHz, a pulse duration of 20 ns, and an average output power of 17.1 W, satisfying the design criteria and demonstrating its suitability for high-power, high-beam-quality seed laser applications.

High-precision microwave photonic temperature sensor using thin-film lithium niobate micro-ring
WANG Hui-jie, CHANG Qi-wei, YOU Ya-jun, YANG Xu-lei, HE Wen-jun, HE Jian, LIU Yi, CHOU Xiu-jian
2026, 19(2): 258-266. doi: 10.37188/CO.2025-0121
Abstract:

This paper presents a high-precision temperature sensor based on a high-quality factor thin-film lithium niobate microring resonator integrated with a microwave photonic readout system. The microring resonator, with a narrow linewidth of 2.87 pm and a high Q-factor of 105, functions simultaneously as the temperature-sensing element and the core signal processing component of a microwave photonic filter. Through the thermo-optic effect, temperature variations are converted into shifts in the optical resonance wavelength, which are innovatively mapped to linear changes in the passband center frequency of the microwave photonic filter. A vector network analyzer is employed to accurately detect the microwave frequency response, enabling temperature measurement via high-resolution frequency variations and establishing a quantitative model between temperature and frequency shift. In contrast to conventional methods that directly detect optical wavelength shifts, the proposed microwave photonic readout technique linearly converts minute resonance wavelength shifts into changes in the microwave center frequency, thereby overcoming the resolution limitations inherent in conventional optical spectrum analyzers. Experimental results demonstrate a sensitivity of 27 MHz/°C and a resolution of 0.002 °C, with excellent linearity maintained under temperature variations as small as 0.01 °C. This work effectively resolves the trade-off between sensitivity and resolution in traditional optical temperature sensing, offering a novel solution for on-chip integrated high-precision temperature monitoring.

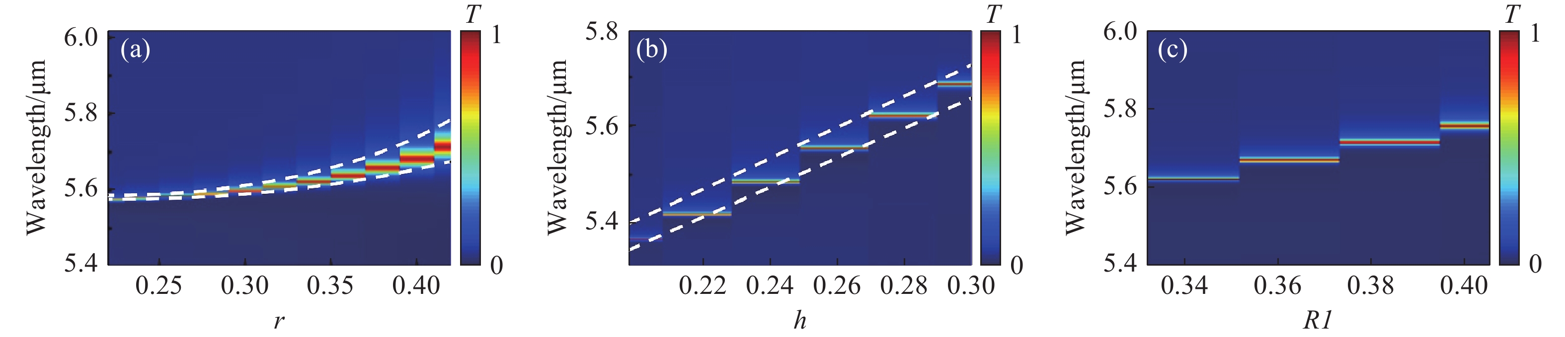
All-dielectric chalcogenide metasurfaces based on Fano resonance for high-performance mid-infrared refractive index sensing
XU Nuo, HUANG Hu-jun, GUO Wan-qi, JIANG Hu, WANG Ying-ying, ZHANG Pei-qing, SHEN Xiang, DAI Shi-xun, SONG Bao-an
2026, 19(2): 267-276. doi: 10.37188/CO.2025-0158
Abstract:

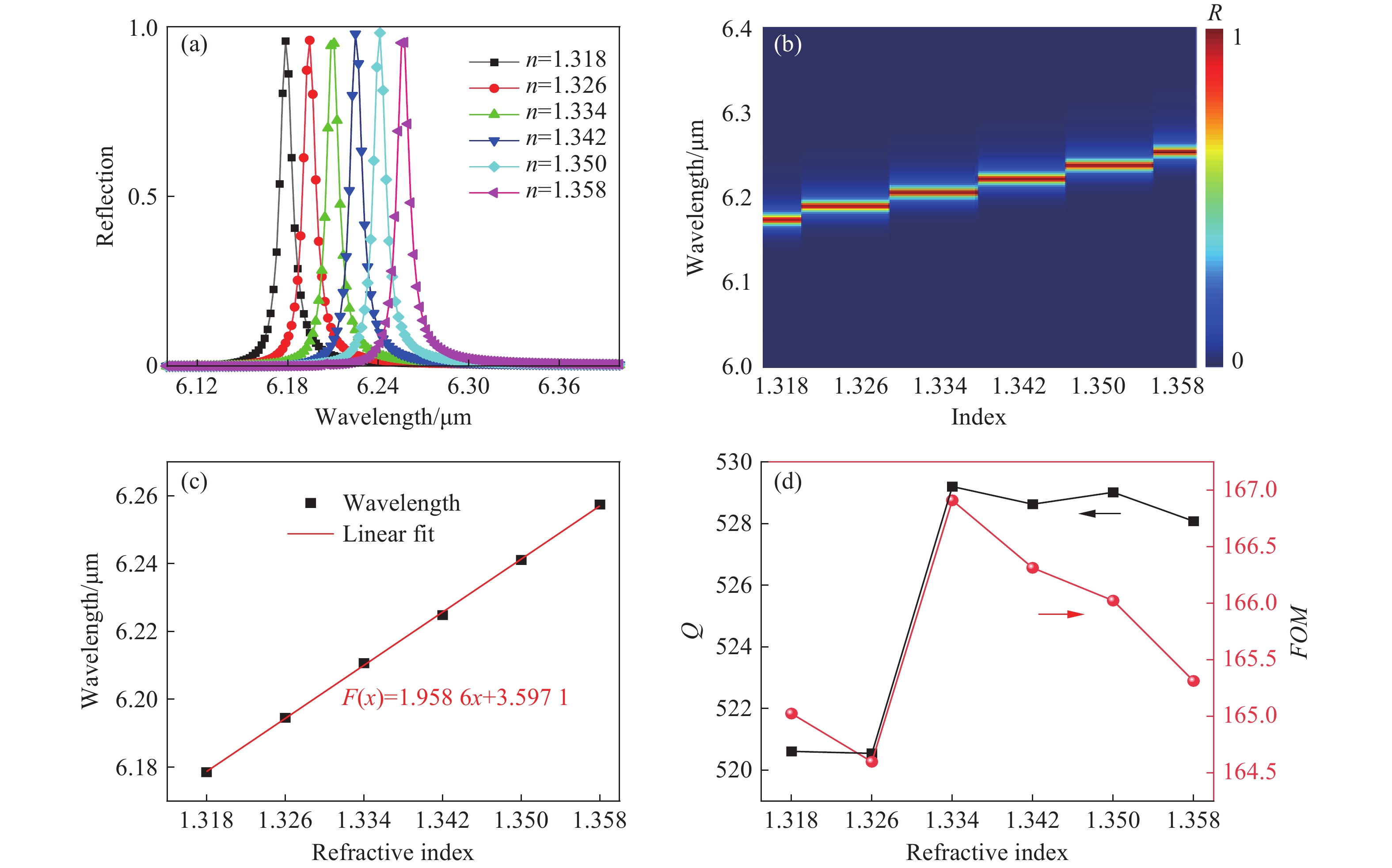
We propose a high-performance mid-infrared refractive index sensor based on an all-dielectric metasurface, operating at a wavelength of approximately 5.36 μm. The metasurface unit consists of four symmetrically arranged Sb2Se3 semi-elliptical structures and a central Sb2Se3 cylinder, periodically arranged on a BaF2 substrate. Numerical simulations were performed using the finite-difference time-domain (FDTD) method to obtain the reflection spectrum and to analyze the electromagnetic field vector distribution at the resonance peak, as well as the influence of geometric parameters on the spectral response. The observed Fano resonance in the reflection spectrum is explained by the theory of quasi-bound states in the continuum (Q-BIC). Through systematic parameter scanning, we investigate the influence of structural parameters on the quality factor (Q) and full width at half-maximum (FWHM) under the constraint of fixed resonance intensity, and compare the spectral linewidth responses when adjusting parameters in different directions. Furthermore, by varying the background refractive index, the refractive-index sensing characteristics based on the Fano resonance are studied. The results show that the sensor achieves a maximum sensitivity of 1985 nm/RIU, a peak Q-factor of 1096.6, and a figure of merit (FOM) of 400. Compared with previously reported mid-infrared refractive index sensors, the proposed design demonstrates significant advantages in key performance metrics such as sensitivity, Q-factor, and FOM. This work provides a feasible design strategy and performance reference for developing high-performance mid-infrared optical sensors based on chalcogenide compounds.

Micro-area angle-resolved spectroscopy measurement system
WU Zu-wei, GAO Yun, ZHU Peng-fei, ZHANG Wen-zhuo, WANG Lei
2026, 19(2): 277-287. doi: 10.37188/CO.2025-0148
Abstract:

To study the optical response of micro-area in surface plasmon nanostructures, we develop a micro-area angle-resolved spectroscopy measurement system based on a coaxial rotating arm. The system adopts a micro-area remote excitation and collection optical path model based on a finite conjugate configuration, enabling an incident micro-area spot with a diameter of 32 μm. In addition, an angle-resolved mechanical system based on a coaxial rotating arm is constructed, realizing large-range directional angular excitation from 6.9° to 90°. Performance tests show that the system exhibits high stability, with a minimum angular resolution of 0.12°. Through the reflection spectrum collection experiments on one-dimensional gratings and two-dimensional periodic nanostructures, the reliability of the system is further verified. The results demonstrate the advantages of the micro-area spot, which provide an effective technical means for the angle-resolved spectroscopy characterization of micro and nanostructures.

Quantitative prediction of laser-cut slag adhesion by integrating image and frequency-domain features
ZHAI Jie, LU Yu, WANG Xin-xin, XIA Yuan-qin
2026, 19(2): 288-298. doi: 10.37188/CO.2025-0125
Abstract:

To achieve precise quantification of laser cutting slag adhesion and process optimization, this study investigates a convolutional neural network (CNN)-based prediction method that integrates both image and frequency-domain features. A dataset of 2160 cross-sectional images of 1 mm thick 304 stainless steel was constructed. From these images, key dross characteristics-area, height, and perimeter were accurately extracted using a combination of image processing techniques including Gaussian blur, adaptive thresholding, and morphological closing operations. To evaluate the predictive potential of different input representations, both RGB images and binarized images transformed via wavelet packet decomposition (WPD) were used as model inputs. The regression performance of three CNN architectures-VGG16, ResNet50, and DenseNet121 was systematically compared. Experimental results demonstrate that VGG16 achieved the highest prediction accuracy for dross area and height using RGB images, with mean absolute errors (MAE) of 0.019 mm2 and 0.044 mm, respectively. For predicting the perimeter, which better reflects dynamic process behavior, the WPD frequency-domain input path yielded a significantly improved MAE of 0.094 mm and a normalized MAE (nMAE) of 5.25%. The regression fit between predicted and actual values showed a slope of 0.83 and a coefficient of determination (R2) of 0.86, indicating a strong linear correlation. This study confirms the effectiveness of VGG16 in predicting dross-related features and demonstrates the capability of WPD-derived frequency-domain features in capturing transient process information during laser cutting. The proposed methodology offers a reliable quantitative tool for intelligent process evaluation and closed-loop optimization.

High-contrast portable fundus camera
CHEN Long, LIN Zhe-kai, ZHENG Geng-yong, HE Zi-xi, ZENG Ya-guang, WANG Xue-hua, HAN Ding-an
2026, 19(2): 299-307. doi: 10.37188/CO.2025-0137
Abstract:

To address the inherent limitations of conventional portable non-mydriatic fundus cameras, including the mutual constraints between illumination and imaging optical paths, severe interference from corneal stray light, and the difficulty of achieving simultaneous clear imaging of different retinal regions, this paper proposes a novel design system of fundus optical system. The proposed system adopts a four-point rectangular illumination layout combined with regionally adjustable illumination intensity. At a pupil diameter of 3.2 mm, the corneal stray light is reduced by 91.56% compared with traditional approaches, enabling high-contrast synchronous imaging of both the optic disc and macular regions. Furthermore, a separated illumination and imaging optical path architecture is employed. By integrating a wire-grid polarizer with a stacked liquid-crystal polarization scheme, stray light caused by optical surface reflections is effectively suppressed. Within a compact system envelope of 230.4 mm × 90 mm, the proposed fundus camera simultaneously achieves a wide field of view of 53°, a refractive error compensation range of ±20 D, and a retinal spatial resolution of 6 μm. The proposed system enables the acquisition of high-contrast retinal images with clearly resolved details of both the optic disc and macula in a single-shot capture, demonstrating its suitability for portable non-mydriatic fundus imaging applications.

Design of a paraboloid-prism echelle spectrometer
SU Bo-hao, LIU Jian-li, WANG Wei, BAYANHESHIG
2026, 19(2): 308-316. doi: 10.37188/CO.2025-0140
Abstract:

Aiming at the technical challenge of reconciling high resolution with miniaturization in traditional echelle spectrometers, this paper presents a novel optical design for a compact echelle spectrometer. First, based on the crossed Czerny-Turner structure, the design adopts a transmission prism as the cross-dispersing element to separate spectra with different orders and a reverse off-axis parabolic focusing mirror is primarily used to eliminate the aberrations introduced by the prism, thereby enabling the miniaturization of the spatial layout. In this paper, we briefly describe the design methods for echelle gratings and dispersive prisms. Additionally, the aberration characteristics of the focusing optical path are analyzed using the theory of optical path aberration. The simulation results show that the parabolic-prism type echelle spectrometer has a spectral range of 450~650 nm, a numerical aperture of 0.05, and a resolution up to 0.06 nm. Moreover, under the condition of reasonable tolerance range, the system volume is only 80 mm × 44 mm × 18 mm. It can satisfy the application requirements of portable and high-precision spectral detection.

Effect of 1064 nm/532 nm picosecond laser on visible light CCD interference and damage
HAN Ren-jie, HUANG Chen, ZHENG Chang-bin, WANG Jia-min, SUN Jun-jie, CHEN Yi, YU Jing-hua, ZHANG Yi-wen, ZHANG Xin, ZHAO Zhen, CHEN Fei
2026, 19(2): 317-324. doi: 10.37188/CO.2025-0116
Abstract:

With the rapid development of short-pulse laser technology, the potential threats to CCD image sensors exhibit new characteristics distinct from those induced by traditional continuous-wave or long-pulse laser. To investigate the mechanisms and principles of interference and damage caused by short-pulse laser of different wavelengths, picosecond laser with wavelengths of 1064 nm and 532 nm, a pulse width of 30 ps, and a repetition rate of 1 Hz were employed to irradiate visible-light CCD in interference and damage experiments. The irradiation effects at different interference and damage stages of the CCD were characterized using optical microscopy and its own imaging response. The mechanisms of short-pulse laser-induced interference and damage were analyzed, and the imaging response, microscopic morphology, and thresholds at various stages were compared for the two wavelengths. The results indicate that, for visible-light CCD, the 532 nm laser possesses stronger penetration capability through the microlens layer than the 1064 nm laser, and its interference threshold is 1−2 orders of magnitude lower. The point- and line-damage thresholds induced by the 532 nm laser are approximately 2 orders of magnitude lower than those induced by the 1064 nm laser.

Dynamic response characteristics of mirror-shaped structures in temperature gradient fields
ZHANG Jia-qi, XIA Mao-bin, GUO Yi-bo, GUO Xu
2026, 19(2): 325-336. doi: 10.37188/CO.2025-0111
Abstract:

During the ascent of an aircraft to its cruising altitude, the external environmental temperature changes drastically. Simultaneously, the internal stepper motors and bearings continuously generate heat due to the periodic rapid start-stop operations of the scanning mirror turntable in the step-scanning mode. These factors cause a temperature gradient across the turntable, which induces thermal deformation of the mirror surface figure and ultimately degrades the imaging quality of the optical system. To address this issue, an analysis method based on thermal-structural coupling is proposed. First, the thermal balance equation of the scanning mirror turntable was established. Combined with the actual thermal boundary conditions, a finite element analysis (FEA) model was constructed. This model was utilized to optimize the design of the mirror assembly and the adhesive layer by analyzing the relationship between the surface figure and adhesive parameters under complex thermal environments and working conditions. The optimization results show that when the adhesive layer thickness is 1 mm, the mirror achieves the optimal surface figure accuracy with a root-mean-square (RMS) value of 43.54 nm. Furthermore, ground thermal chamber tests were conducted to simulate the temperature variations and operating status during takeoff. The relative error between the experimental measurements and the simulation results is less than 10%. These results verify that the proposed method is effective for evaluating the dynamic response characteristics of the scanning mirror surface in a temperature gradient field, providing theoretical support for the design of the mirror bonding layer and related components.

Measurement of atmospheric coherence length for extended targets based on wavefront structure function
ZHANG Jun-rui, ZHAO Yu-ling, YANG Le-qiang, LIU Jie, WANG Wen-yu, LI Zheng-wei, WANG Jian-li, CHEN Tao
2026, 19(2): 337-346. doi: 10.37188/CO.2024-0215
Abstract:

To measure the atmospheric coherence length, an important parameter that characterizes the impact of atmospheric turbulence on the performance of free-space optical communication links, we propose a novel strategy for measuring atmospheric coherence length by taking extended targets as the information source, which integrates the wavefront structure function approach with the extended target offset algorithm to directly estimate the atmospheric coherence length. The paper first reviews the principles and current research status of mainstream algorithms, emphasizing the reliance of existing algorithms on guide star targets and their limitations in horizontal links. Subsequently, we propose a new measurement scheme that combines the improved normalized cross-correlation algorithm with the wavefront structure function method to estimate atmospheric coherence length under extended targets scenarios. In comparison to traditional measurement methods, our approach can realize coherence length measurement based on extended targets in horizontal links, thereby significantly reducing system complexity and equipment costs. To validate the effectiveness and measurement accuracy of the proposed method, both simulations and experiments were designed and conducted. The results demonstrate that the coherence length values measured by this method are highly consistent with those obtained using the DIMM method and the wavefront phase variance method, with a measurement accuracy error of approximately 4%. This indicates that the proposed method can effectively assess atmospheric coherence length, thereby providing a valuable reference for enhancing the reliability of free-space laser communication systems.

Ionizing particle discrimination and extraction based on morphological imaging features
XU Shou-long, WANG Zhi-lin, HUANG You-Jun, LI Qing-Xin, ZOU Shu-liang
2026, 19(2): 347-357. doi: 10.37188/CO.2025-0134
Abstract:

To reduce pulse pile-up and improve ionizing particle discrimination efficiency, we use a CMOS active pixel sensor to analyze ionizing particle optical responses and propose morphology-based discrimination. By comparing the characteristics of response events of different ionizing particles, the regulatory mechanisms influenced by gain and integration time are elucidated, and the discrimination effectiveness is verified. Results show α events differ significantly from β and γ events in pixel count, mean pixel value, rectangularity, convexity, and compactness. β and γ events are similar in pixel count, rectangularity, and convexity, but differ in mean pixel value or compactness. Using pixel count, α events were identified with over 99% accuracy. β and γ events were discriminated by mean pixel value with over 82% accuracy. The results provide a new method and basis for ionizing particle identification in mixed radiation fields. It supports nuclear particle discrimination and noise mitigation, providing new approaches and theoretical guidance.

Optimal design of aiming strategy for solar power tower stations
TIAN Ying-jie, WEI Xiu-dong, ZHANG Quan-sheng, ZHANG Ya-nan, YU Qiang
2026, 19(2): 358-366. doi: 10.37188/CO.2025-0128
Abstract:

To achieve uniform heat flux distribution on the receiver surface, an optimization method for heliostat aiming strategy in solar power tower station is proposed. First, the heliostat field is divided into zones based on the calculated instantaneous optical efficiency of heliostats throughout the entire field, and different aiming factors are designed for heliostats in different zones. Then, the spot size of each heliostat is calculated according to the aiming factor, and the relative spot size is determined by the ratio of spot size to receiver size, thereby planning the aiming point distribution. Finally, a genetic algorithm is employed to optimize the heliostat aiming point distribution, achieving uniform heat flux distribution on the receiver surface. Taking a hundred-megawatt-scale solar power tower station as an example, the heliostat aiming strategy is optimized. Under typical spring equinox conditions, the peak heat flux density on the receiver surface is reduced from 1.94 MW/m2 with equatorial aiming to 1.01 MW/m2, improving uniformity by 53.29% while reducing the spillage factor by 0.86%. This ensures efficient and safe operation of the receiver while maintaining high interception efficiency.

Independent sampling and padding for Rayleigh–Sommerfeld diffraction based on scaled convolution approach
YANG Chen, FU Xi-hong, FU Xin-peng, BAYANHESHIG
2026, 19(2): 367-381. doi: 10.37188/CO.EN-2025-0028
Abstract:

We propose a novel fast numerical calculation method for the Rayleigh–Sommerfeld diffraction integral, which is developed based on the existing scaled convolution method. This approach enables fast calculations for general cases of off-axis scenarios where the sampling intervals and numbers of the input and observation planes are unequal. Additionally, it allows for arbitrary adjustment of the sampling interval of the impulse response function, facilitating a manual trade-off between computational load and accuracy. The errors associated with this method, which is equivalent to interpolation, primarily arise from the discontinuities of the sampling matrix of the impulse response function on its boundaries of periodic extension. To address this issue, we propose the concept of the padding function and its construction method, and evaluate its effectiveness in enhancing computational accuracy. The feasibility of the proposed method is verified by numerical simulation and compared with the direct integration DI-method in a simplified scenario. It shows that the proposed method has good computational accuracy for the general case where the sampling interval of the input and observation plane is not equal under non-near-field diffraction, and when the diffraction distance is large, although the computational accuracy of the proposed method cannot exceed that of the DI-method, the computational amount can be significantly reduced with almost no effect on the computational accuracy. This method provides a general numerical calculation scheme of diffraction in the non-near field case for areas such as computational holography.

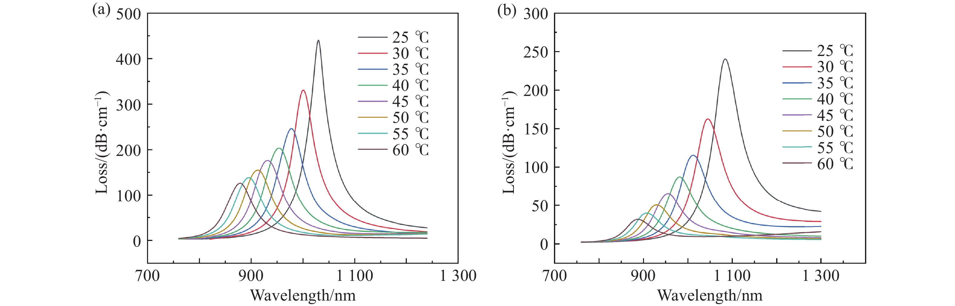
Gold nanowire bias-core PCF-SPR temperature and refractive index sensing
HOU Shang-lin, DONG Jie, YANG Xu-dong, LIU Qing-min, XIE Cai-jian, WU Gang, YAN Zu-yong
2026, 19(2): 382-394. doi: 10.37188/CO.EN-2025-0034
Abstract:

To address the challenges of complex metallic film coating processes and low integration in single-parameter detection for existing photonic crystal fiber surface plasmon resonance (PCF-SPR) sensors, a dual-parameter sensor based on gold nanowire-integrated bias-core PCF-SPR is proposed. Unlike conventional in-hole coatings or metallic film structures, the gold nanowires are directly attached to the fiber cladding via chemical vapor deposition (CVD), eliminating uneven coating issues and significantly simplifying fabrication. By optimizing the asymmetric bias-core fiber structure and leveraging the strong localized field enhancement of gold nanowires, the sensor achieves high-sensitivity synchronous detection of temperature (25−60 °C) and refractive index (1.31−1.40) in dual-polarization modes. The simulation results demonstrate that the x-polarization mode can achieve 1.31−1.40 refractive index detection with maximum wavelength sensitivity and amplitude sensitivity of 14800 nm/RIU and −1724.25 RIU−1, and maximum refractive index resolution of 6.75×10−6 RIU. The y-polarization mode achieves refractive index detection range of 1.34−1.40, and the maximum wavelength sensitivity and amplitude sensitivity are 28400 nm/RIU and −1298.93 RIU−1, and the maximum refractive index resolution is 3.52×10−6 RIU. For temperature sensing, the sensor exhibits a wavelength sensitivity of 7.8 nm/°C and a high resolution of 1.38×10−6 °C over the range of 25−60 °C. This design synergizes gold nanowires and the bias-core architecture to simplify fabrication while enabling multi-parameter detection. The proposed sensor offers new insights for integrated applications in biochemical monitoring, environmental sensing, and related fields.

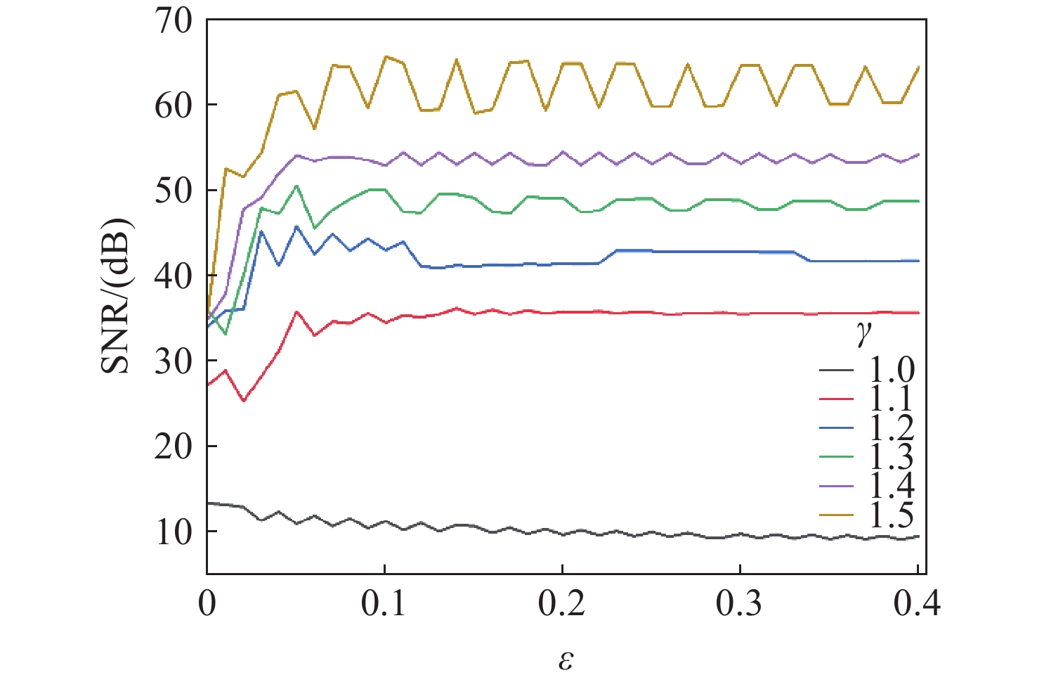
A noise suppression method for interferometric fiber optic sensor based on ameliorated EFA and adaptive SVMD
PENG Meng-fan, ZHOU Ci-ming, PAN Zhen, JIANG Han, LI Ao, WANG Tian-yi, LIU Han-jie, FAN Dian
2026, 19(2): 395-406. doi: 10.37188/CO.EN-2025-0038
Abstract:

Noise interference critically impairs the stability and data accuracy of sensing systems. However, current suppression strategies fail to concurrently mitigate intrinsic system noise and extrinsic environmental noise. This study introduces a composite denoising approach to address this challenge. This method is based on the ameliorated ellipse fitting algorithm (AEFA) and adaptive successive variational mode decomposition (ASVMD). This algorithm employs AEFA to eliminate system noise tightly coupled with direct-current and alternating-current components in the interference signal, thereby obtaining a phase signal containing only environmental noise. The ASVMD technique adaptively extracts environmental noise components predominantly present in the phase signal. To achieve optimal decomposition results automatically, the permutation entropy criterion is employed to refine decomposition parameters. The correlation coefficient is utilized to differentiate effective components from noise components in the decomposition results. Experimental results indicate that the combined AEFA and ASVMD algorithm effectively suppresses both system and environmental noises. When applied to 50 Hz vibration signal processing, the proposed approach achieves a noise reduction of 17.81 dB and a phase resolution of 35.14 μrad/√Hz. Given the excellent performance of the noise suppression, the proposed approach holds great application potential in high-performance interferometric sensing systems.

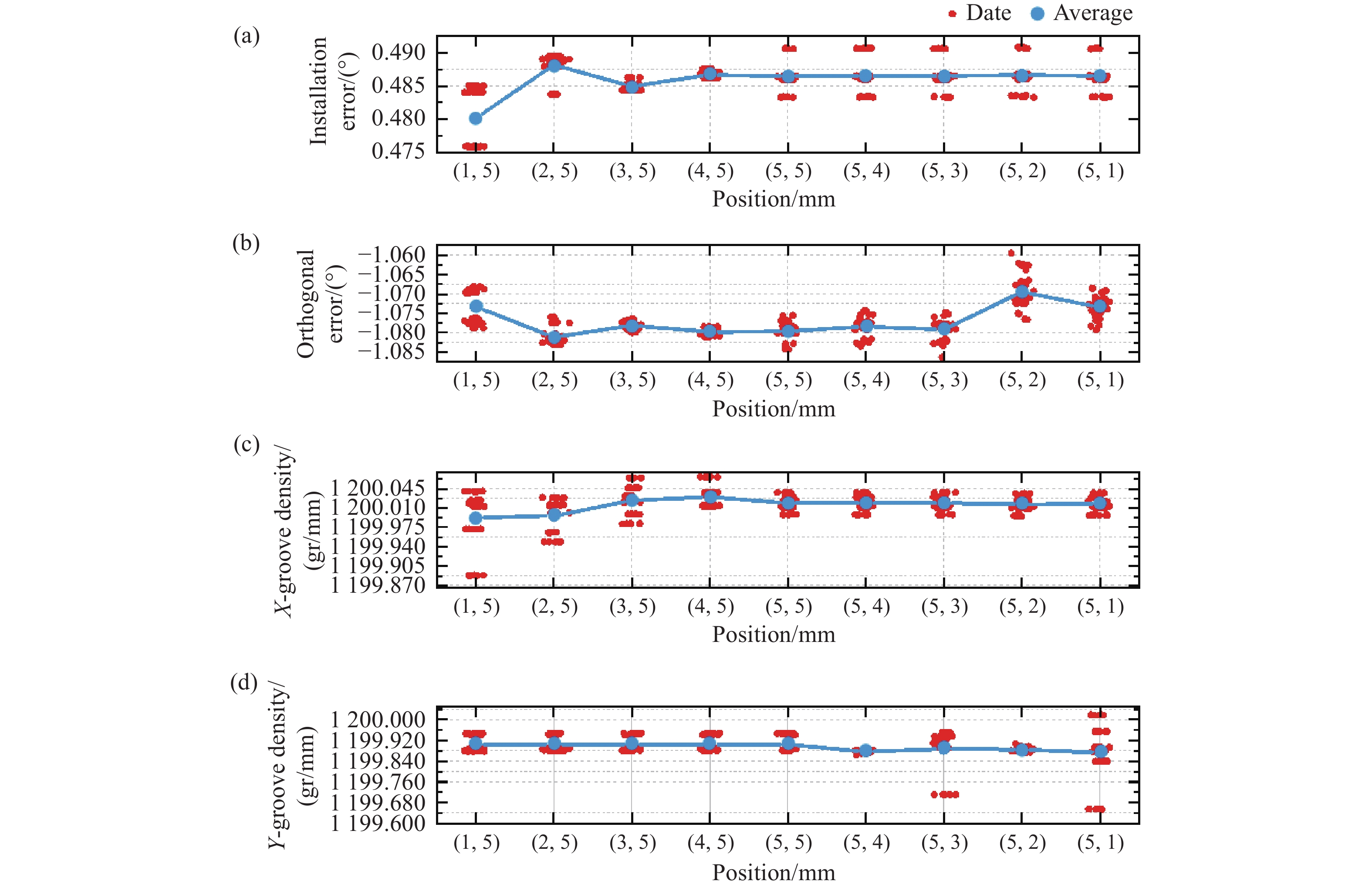
Two-dimensional grating line parameter calibration based on biaxial phase mapping
TENG Hai-rui, LIANG Xu, JIN Si-yu, SUN Yu-jia, LI Wen-hao, LIU Zhao-wu
2026, 19(2): 407-420. doi: 10.37188/CO.EN-2025-0020
Abstract:

The two-dimensional grating serves as a critical component in plane grating interferometers for achieving high-precision multidimensional displacement measurements. The calibration of grating groove density and orthogonality error of grating grooves not only improves the positioning accuracy of grating interferometers but also provides essential feedback for optimizing two-dimensional grating fabrication. This study proposes a method for simultaneous calibration of these parameters using orthogonal heterodyne laser interferometry. A two-dimensional grating interferometer is built with the grating to be measured, and a biaxial laser interferometer provides a displacement reference for it. The phase mapping relationship between grating interference and laser interference is established. The interference phase information obtained by any two displacements can simultaneously solve the above three parameters and obtain the grating installation error. The feasibility of the proposed method is verified by using a 1200 gr/mm two-dimensional grating. The standard deviation of the grating groove density in the X and Y directions is 0.012 gr/mm and 0.014 gr/mm, respectively. The standard deviation of the orthogonality error of grating grooves is 0.004°, and the standard deviation of the installation error is 0.002°. Compared with the atomic force microscope method, the consistency of the grating groove density in the X and Y directions is better than 0.03 gr/mm and 0.06 gr/mm, and the orthogonality error of grating grooves is better than 0.008°. The experimental results show that the proposed method can be simply and efficiently applied to the calibration of the grating line parameters of the two-dimensional grating.

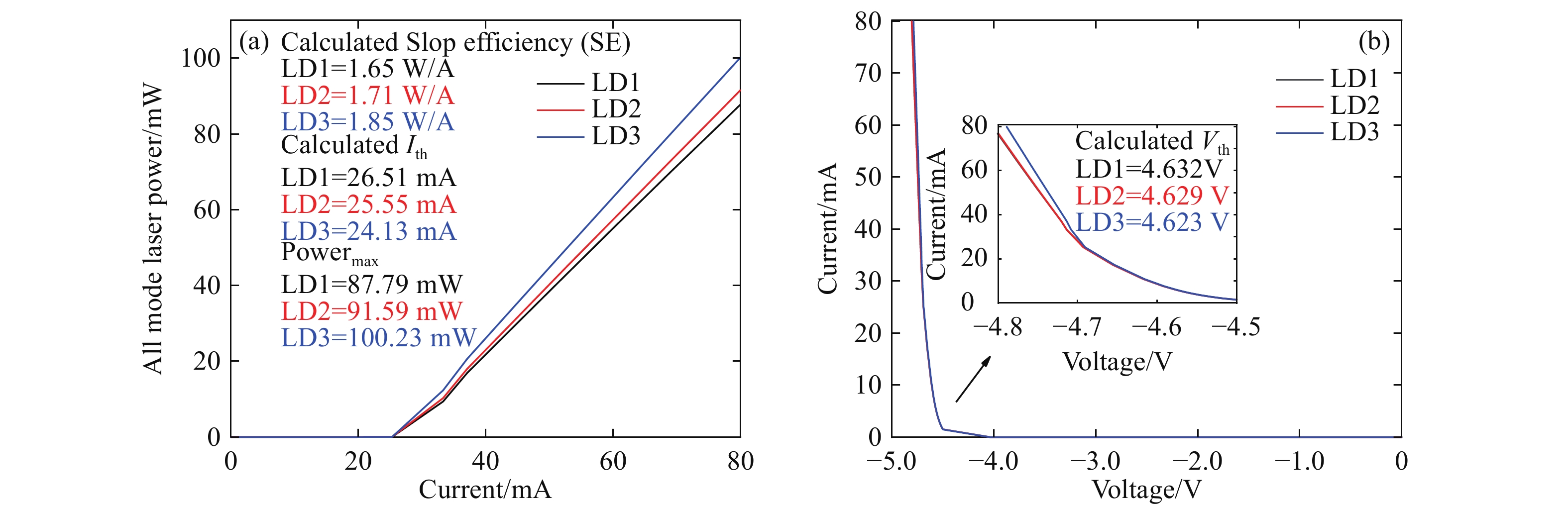
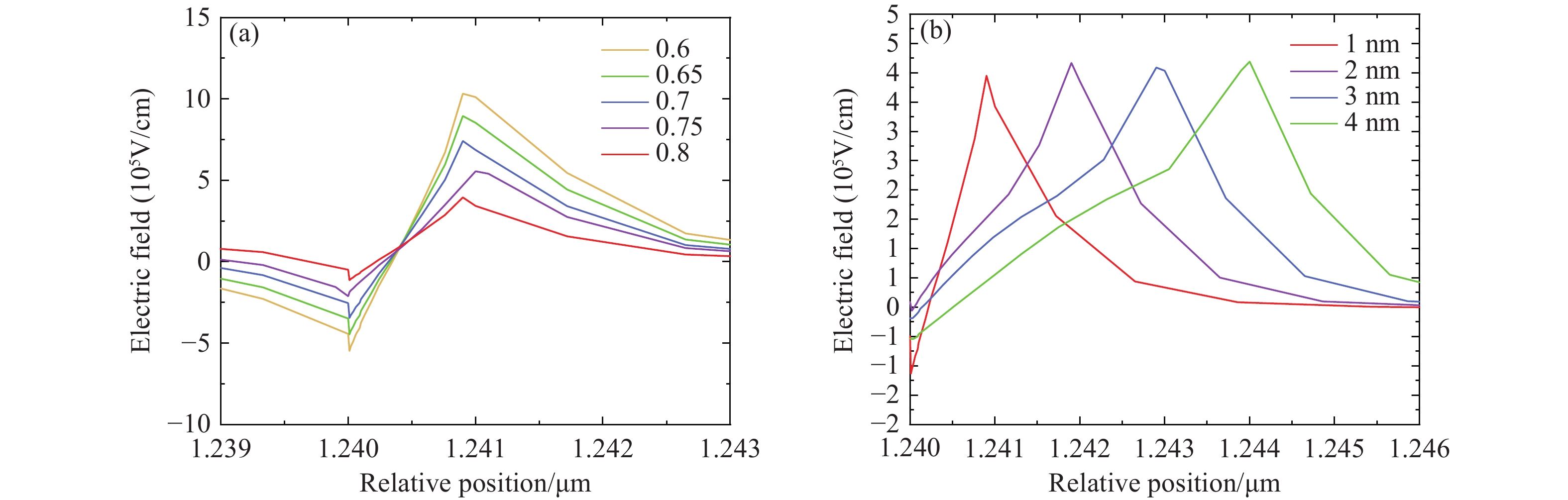
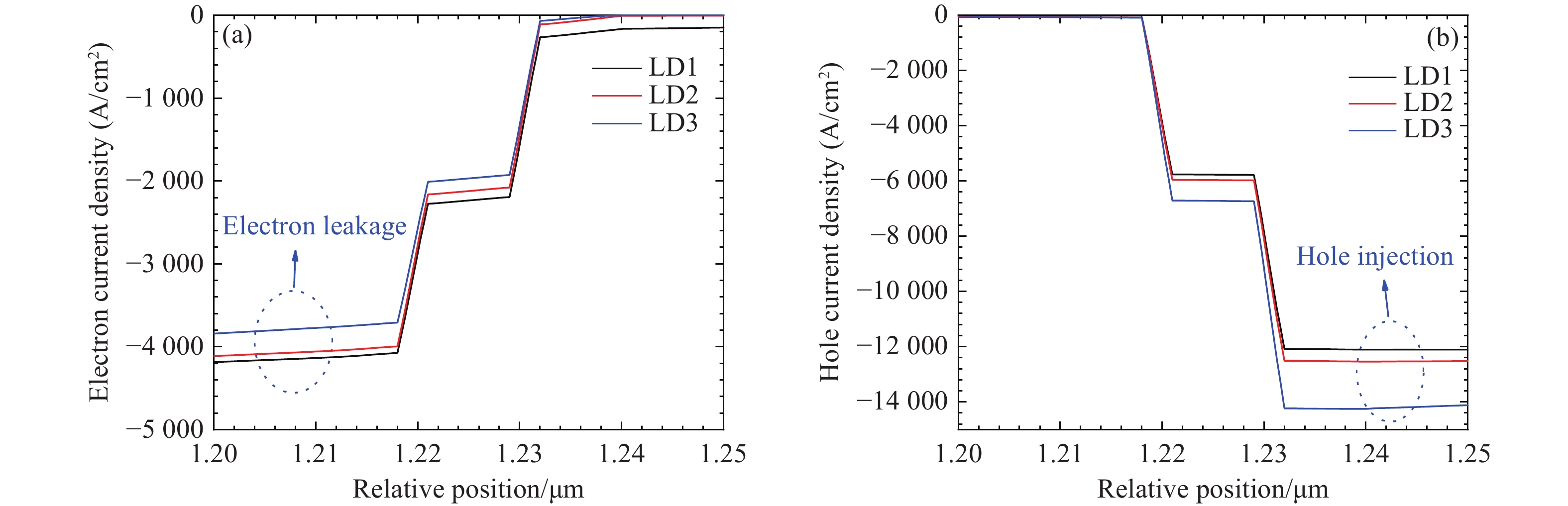
Enhancing the performance of AlGaN deep-ultraviolet laser diodes without an electron blocking layer by using a thin undoped Al0.8Ga0.2N strip layer structure
SANG Xi-en, WANG Fang, LIU Jun-jie, LIU Yu-huai
2026, 19(2): 421-433. doi: 10.37188/CO.EN-2025-0033
Abstract:

AlGaN-based deep-ultraviolet (DUV) laser diodes (LDs) face performance challenges due to electron leakage and poor hole injection which is often worsened by polarization effects from conventional electron blocking layers (EBLs). To overcome these limitations, we propose an EBL-free DUV LD design incorporating a 1-nm undoped Al0.8Ga0.2N thin strip layer after the last quantum barrier. Using PICS3D simulations, we evaluate the optical and electrical characteristics. Results show a significant increase in effective electron barrier height (from 158.2 meV to 420.7 meV) and a reduction in hole barrier height (from 149.2 meV to 62.8 meV), which enhance hole injection and reduce electron leakage. The optimized structure (LD3) achieves a 14% increase in output power, improved slope efficiency (1.85 W/A), and lower threshold current. This design also reduces the quantum confined Stark effect and forms dual hole accumulation regions, improving recombination efficiency.

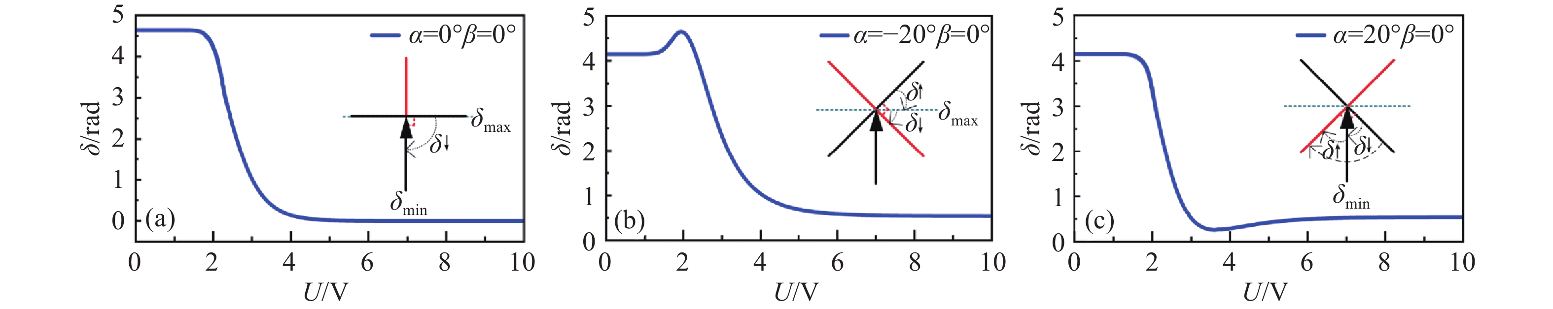
Precise calibration of liquid crystal variable retarder for various incident angles
KONG Quan-hui-zi, ZHANG Rui, XUE Peng, WANG Zhi-bin, JING Ning
2026, 19(2): 434-444. doi: 10.37188/CO.EN-2025-0035
Abstract:

This study investigates the reduction in polarization measurement accuracy caused by varying incident angles in a liquid crystal variable retarder (LCVR). The phase delay characteristics of the LCVR were examined, with particular emphasis on the influence of different two-dimensional incident angles on phase delay behavior. Building upon the calibration of phase delay under normal incidence, a phase delay calibration model was developed to account for variations in incident angle and driving voltage. A mathematical relationship was established between phase delay and the azimuth angle (α) and pitch angle (β). Experimental validation was conducted under three conditions: α = 20°, β = 0°; α = 0°, β = 20°; and an arbitrary angle where α = 5°, β = 15°. The results demonstrated that the maximum average deviation between theoretical predictions and experimental measurements did not exceed 0.059 rad. The proposed calibration method proved to be both accurate and practical. This approach offers robust support for LCVR parameter calibration and performance optimization in optical systems, particularly in polarization imaging applications.

Multi-wavelength pulses in synchronized mode-locked fiber lasers
WU Qiong, GAO Bo, ZHOU Lu-yao, WEN Hong-lin, QIAO Fei-hong, WU Bing, XU Ting, LI Qi, LI Ying-ying, WU Ge, LIU Lie
2026, 19(2): 445-453. doi: 10.37188/CO.EN-2025-0039
Abstract:

We designed and investigated a passive synchronized mode-locked fiber laser. The device utilizes a dual-cavity structure driven by the nonlinear polarization rotation (NPR) mechanism. Stable mode-locking is attained by synergistically controlling gain, polarization state, and optical path length in two symmetric sub-cavities. Experiments proved that repetition rate of the sub-cavities can be adjusted via the time delay line (TDL) to achieve synchronized mode-locking. The system stably generates multi-wavelength pulses at a single repetition frequency, evidenced by multiple spectral peaks and equidistant pulse sequences. These findings facilitate the development of high-performance multi-wavelength ultrashort pulse sources, crucial for optical communications, spectral analysis, and remote sensing.