Volume 19 Issue 2
Apr.  2026
Turn off MathJax
Article Contents
PENG Meng-fan, ZHOU Ci-ming, PAN Zhen, JIANG Han, LI Ao, WANG Tian-yi, LIU Han-jie, FAN Dian. A noise suppression method for interferometric fiber optic sensor based on ameliorated EFA and adaptive SVMD[J]. Chinese Optics, 2026, 19(2): 395-406. doi: 10.37188/CO.EN-2025-0038
Citation: PENG Meng-fan, ZHOU Ci-ming, PAN Zhen, JIANG Han, LI Ao, WANG Tian-yi, LIU Han-jie, FAN Dian. A noise suppression method for interferometric fiber optic sensor based on ameliorated EFA and adaptive SVMD[J]. Chinese Optics, 2026, 19(2): 395-406. doi: 10.37188/CO.EN-2025-0038

A noise suppression method for interferometric fiber optic sensor based on ameliorated EFA and adaptive SVMD

cstr: 32171.14.CO.EN-2025-0038
Funds:  Supported by National Natural Science Foundation of China (No. 62275204, No. 52071245); Key Research and Development Program of Hubei Province (No. 2023DJC170)
More Information
  • Author Bio:

    PENG Meng-fan (2001—), male, from Wuhan City, Hubei Province. He graduated from Chongqing University of Posts and Telecommunications in 2019 with a bachelor's degree. He is currently pursuing a master's degree at Wuhan University of Technology. His project focuses on fiber optic sensing and demodulation algorithm research. E-mail: pengmengfan123@whut.edu.cn

    PAN zhen (1993—), male, from Xishui, Hubei Province. He received his Master's degree from Kunming University of Science and Technology in 2020. He is currently pursuing his Doctoral degree at the National Engineering Research Center for Optical Fiber Sensing Technology and Networks, Wuhan University of Technology. His research interests include: (1) distributed optical fiber sensing; (2) optoelectronic signal processing. E-mail: panzhen@whut.edu.cn

  • Corresponding author: panzhen@whut.edu.cnpanzhen@whut.edu.cn
  • Received Date: 11 Sep 2025
  • Rev Recd Date: 26 Sep 2025
  • Accepted Date: 27 Oct 2025
  • Available Online: 11 Nov 2025
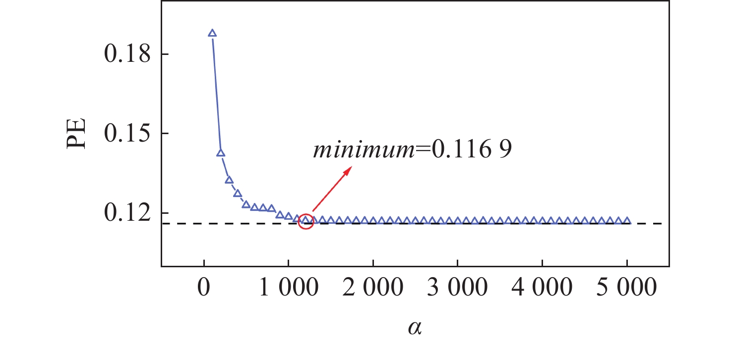
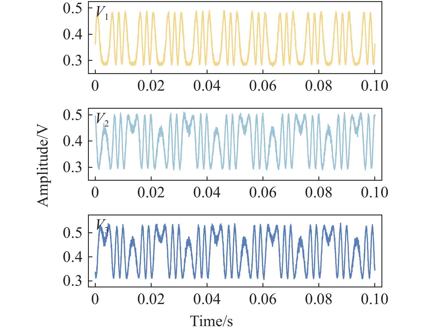
  • Noise interference critically impairs the stability and data accuracy of sensing systems. However, current suppression strategies fail to concurrently mitigate intrinsic system noise and extrinsic environmental noise. This study introduces a composite denoising approach to address this challenge. This method is based on the ameliorated ellipse fitting algorithm (AEFA) and adaptive successive variational mode decomposition (ASVMD). This algorithm employs AEFA to eliminate system noise tightly coupled with direct-current and alternating-current components in the interference signal, thereby obtaining a phase signal containing only environmental noise. The ASVMD technique adaptively extracts environmental noise components predominantly present in the phase signal. To achieve optimal decomposition results automatically, the permutation entropy criterion is employed to refine decomposition parameters. The correlation coefficient is utilized to differentiate effective components from noise components in the decomposition results. Experimental results indicate that the combined AEFA and ASVMD algorithm effectively suppresses both system and environmental noises. When applied to 50 Hz vibration signal processing, the proposed approach achieves a noise reduction of 17.81 dB and a phase resolution of 35.14 μrad/√Hz. Given the excellent performance of the noise suppression, the proposed approach holds great application potential in high-performance interferometric sensing systems.

     

  • loading
  • [1]
    MA SH N, XU Y P, PANG Y X, et al. Optical fiber sensors for high-temperature monitoring: a review[J]. Sensors, 2022, 22(15): 5722. doi: 10.3390/s22155722
    [2]
    SAHOTA J K, GUPTA N, DHAWAN D. Fiber Bragg grating sensors for monitoring of physical parameters: a comprehensive review[J]. Optical Engineering, 2020, 59(6): 060901. doi: 10.1117/1.oe.59.6.060901
    [3]
    PENDÃO C, SILVA I. Optical fiber sensors and sensing networks: overview of the main principles and applications[J]. Sensors, 2022, 22(19): 7554. doi: 10.3390/s22197554
    [4]
    GUEVARA-HERNANDEZ S D, HERNANDEZ-GARCIA J C, FILOTEO-RAZO J D, et al. Design and study of fiber optic interferometric devices applied to vibration detection systems[J]. Proceedings of SPIE, 2024, 12880: 1288005.
    [5]
    CORREA A I, GALARZA M, DAULIAT R, et al. High-frequency vibration sensor using a fiber laser with a multicore fiber interferometer[J]. IEEE Sensors Journal, 2024, 24(6): 7656-7662. doi: 10.1109/JSEN.2023.3348502
    [6]
    ALSHAMMARI M, CHU Y F, HAN M. Real-time in situ phase sensitivity calibration of interferometric fiber-optic ultrasonic sensors[J]. Optics Letters, 2024, 49(18): 5336-5339. doi: 10.1364/OL.538136
    [7]
    HE Z Y, LIU Q W. Optical fiber distributed acoustic sensors: a review[J]. Journal of Lightwave Technology, 2021, 39(12): 3671-3686. doi: 10.1109/JLT.2021.3059771
    [8]
    PLOTNIKOV M Y, LAVROV V S, DMITRASCHENKO P Y, et al. Thin cable fiber-optic hydrophone array for passive acoustic surveillance applications[J]. IEEE Sensors Journal, 2019, 19(9): 3376-3382. doi: 10.1109/JSEN.2019.2894323
    [9]
    Song Y F, Yang Q Y, Chen S T, et al. Measurement of trace hydrogen in atmosphere using polarized raman spectroscopy[J]. Chinese Journal of Analytical Chemistry, 2026, 54(1): 92-99. (in Chinese).
    [10]
    Shao D, Qin M, Fang W, et al. Quantification of atmospheric total reactive nitrogen oxidesby thermal decomposition-broadband cavity enhanced absorption spectroscopy[J]. Chinese Journal of Analytical Chemistry, 2025, 53(3): 387-396. (in Chinese).
    [11]
    Pan Z, Liu H J, Wang L X, et al. Draw-tower-grating-based fabry-perot interferometers for simultaneous measurements of temperature and salinity[J]. Optics Express, 2024, 32(13): 22687-22699.
    [12]
    KIRKENDALL C K, DANDRIDGE A. Overview of high performance fibre-optic sensing[J]. Journal of Physics D: Applied Physics, 2004, 37(18): R197-R216. doi: 10.1088/0022-3727/37/18/R01
    [13]
    Xu X, Lin Q T, Mu H L, et al. Laser heterodyne interferometry for picometer-level displacement measurement[J]. Chinese Optics, 2025, 18(3): 535-546. (in Chinese).
    [14]
    LIU F, XIE SH R, GU L J, et al. Common-mode noise suppression technique in interferometric fiber-optic sensors[J]. Journal of Lightwave Technology, 2019, 37(21): 5619-5627. doi: 10.1109/JLT.2019.2933449
    [15]
    PAN ZH, XU B, CHEN W J, et al. Improved complete ensemble empirical mode decomposition with adaptive noise and its application in noise reduction for fiber optic sensing[J]. Journal of Lightwave Technology, 2025, 43(5): 2466-2474. doi: 10.1109/JLT.2024.3489953
    [16]
    GUI L, WU X Q, YU B L, et al. An improved PGC demodulation algorithm based on a reference interferometer to reduce intensity and phase noise[J]. Optik, 2021, 247: 167884. doi: 10.1016/j.ijleo.2021.167884
    [17]
    ZHANG SH, ZHANG A L, PAN H G. Eliminating light intensity disturbance with reference compensation in interferometers[J]. IEEE Photonics Technology Letters, 2015, 27(17): 1888-1891. doi: 10.1109/LPT.2015.2444421
    [18]
    Zhou Z R, Zhang G Q, Qiu Z J, et al. An improved phase generated carrier demodulation algorithm of fiber optic fabry-perot sensor[J]. Chinese Optics, 2024, 17(2): 312-323. (in Chinese).
    [19]
    XIA Q L, WU X Q, LIU X P, et al. Common-mode intensity noise suppression scheme in phase demodulation of 3×3 coupler based on ellipse fitting algorithm[J]. Optics Communications, 2025, 575: 131291. doi: 10.1016/j.optcom.2024.131291
    [20]
    YU ZH H, CAI Y F, MO D L. Comparative study on noise reduction effect of fiber optic hydrophone based on LMS and NLMS algorithm[J]. Sensors, 2020, 20(1): 301. doi: 10.3390/s20010301
    [21]
    LIU H J, ZHOU C M, PANG Y D, et al. Novel method for improving temperature resolution of fiber optic sensor based on variational mode decomposition[J]. Journal of Lightwave Technology, 2024, 42(6): 2137-2143. doi: 10.1109/JLT.2023.3325255
    [22]
    PAN ZH, LIU H J, WANG L X, et al. A novel method for improving salinity resolution of optical fiber sensor based on modified adaptive variational mode decomposition[J]. Optics & Laser Technology, 2024, 177: 111212. doi: 10.1016/j.optlastec.2024.111212
    [23]
    DRAGOMIRETSKIY K, ZOSSO D. Variational mode decomposition[J]. IEEE Transactions on Signal Processing, 2014, 62(3): 531-544. doi: 10.1109/TSP.2013.2288675
    [24]
    MISHRA S P, WARULE P, DEB S. Speech emotion recognition using a combination of variational mode decomposition and Hilbert transform[J]. Applied Acoustics, 2024, 222: 110046. doi: 10.1016/j.apacoust.2024.110046
    [25]
    LI D Q, YI D, FU W Q, et al. Temperature and acoustic field reconstruction in fiber optic DAS system based on variational mode decomposition[J]. IEEE Sensors Journal, 2024, 24(10): 16196-16203. doi: 10.1109/JSEN.2024.3385206
    [26]
    NASSEF M G A, HUSSEIN T M, MOKHIAMAR O. An adaptive variational mode decomposition based on sailfish optimization algorithm and Gini index for fault identification in rolling bearings[J]. Measurement, 2021, 173: 108514. doi: 10.1016/j.measurement.2020.108514
    [27]
    RAYI V K, MISHRA S P, NAIK J, et al. Adaptive VMD based optimized deep learning mixed kernel ELM autoencoder for single and multistep wind power forecasting[J]. Energy, 2022, 244: 122585. doi: 10.1016/j.energy.2021.122585
    [28]
    NAZARI M, SAKHAEI S M. Successive variational mode decomposition[J]. Signal Processing, 2020, 174: 107610. doi: 10.1016/j.sigpro.2020.107610
    [29]
    FANG CH X, SHI J H, FU ZH Y, et al. Improved ellipse-fitting phase demodulation technique to suppress the effect of light source intensity noise in interferometric system[J]. Optics Letters, 2023, 48(7): 1690-1693. doi: 10.1364/OL.483090
    [30]
    GUO Y J, YANG Y D, JIANG SH F, et al. Rolling bearing fault diagnosis based on successive variational mode decomposition and the EP index[J]. Sensors, 2022, 22(10): 3889. doi: 10.3390/s22103889
    [31]
    BANDT C, POMPE B. Permutation entropy: a natural complexity measure for time series[J]. Physical Review Letters, 2002, 88(17): 174102. doi: 10.1103/PhysRevLett.88.174102
    [32]
    CHENG Y, WANG Z W, CHEN B Y, et al. An improved complementary ensemble empirical mode decomposition with adaptive noise and its application to rolling element bearing fault diagnosis[J]. ISA Transactions, 2019, 91: 218-234. doi: 10.1016/j.isatra.2019.01.038
    [33]
    GAO K P, XU X X, LI J B, et al. Weak fault feature extraction for polycrystalline diamond compact bit based on ensemble empirical mode decomposition and adaptive stochastic resonance[J]. Measurement, 2021, 178: 109304. doi: 10.1016/j.measurement.2021.109304
    [34]
    WU S, HUANG J B, LIU W, et al. Anti-noise UWFBG hydrophone array enhanced DAS system using optimising SVMD based on matched interferometric[J]. Optical Fiber Technology, 2024, 88: 104051. doi: 10.1016/j.yofte.2024.104051
    [35]
    ZHANG Y Y, BAI Y S, WEN Y T, et al. Whale sound signal denoising based on SVMD and improved wavelet thresholding[J]. Measurement Science and Technology, 2024, 35(9): 097001. doi: 10.1088/1361-6501/ad56ab
  • 加载中

Catalog

    通讯作者: 陈斌, bchen63@163.com
    • 1. 

      沈阳化工大学材料科学与工程学院 沈阳 110142

    1. 本站搜索
    2. 百度学术搜索
    3. 万方数据库搜索
    4. CNKI搜索

    Figures(12)  / Tables(4)

    Article views(379) PDF downloads(21) Cited by()
    Proportional views
    Related

    /

    DownLoad:  Full-Size Img  PowerPoint
    Return
    Return