留言板

尊敬的读者、作者、审稿人, 关于本刊的投稿、审稿、编辑和出版的任何问题, 您可以本页添加留言。我们将尽快给您答复。谢谢您的支持!

姓名
邮箱
手机号码
标题
留言内容
验证码

2023年  16卷  第1期

综述
周期光学系统中的连续域束缚态
姚建铨, 李继涛, 张雅婷, 李杰, 岳震, 徐航, 杨帆
2023, 16(1): 1-23. doi: 10.37188/CO.2022-0189
摘要(6474) HTML全文 (1643) PDF 7237KB(1814)
摘要:

周期光学系统,如光子晶体和光学超材料,可以在亚波长尺度形成高密度的电磁场能量局域,并获得极小的模式体积,在光操控领域具有巨大的应用潜力。近年来,研究人员在周期光学系统中发现一种光与物质的强相互作用,其被称为连续域束缚态。它是一类频率位于辐射连续域内但被完全局域的特殊电磁本征态,具有诸多有趣的物理特性和丰富的应用场景。本文系统性综述了周期光学系统中连续域束缚态的分类及其理论体系,并总结了其基本物理特性和最新应用发展。周期光学系统中的连续域束缚态正在为集成光学、信息光学、生物光学、拓扑光学以及非线性光学等领域注入新的发展动力。

二维Bi2O2Se的制备与光学表征研究进展
谢兵, 安旭红, 赵伟玮, 倪振华
2023, 16(1): 24-43. doi: 10.37188/CO.2022-0071
摘要:

二维(2D)半导体材料Bi2O2Se由于具有独特的晶体结构与能带结构、超高的载流子迁移率和优异的稳定性,在紫外-可见-近红外光谱区的高性能电子与光电应用领域有着广阔的前景。本文综述了Bi2O2Se的材料制备与光学表征最新研究进展:首先,介绍了2D Bi2O2Se的制备方法及生长机理,包括化学气相沉积法(CVD)、湿化学工艺、分子束外延法(MBE)和脉冲激光沉积法(PLD)等;其次,介绍了其晶体结构和电子能带结构的基本性质;接下来,通过稳态光谱的研究,可以对2D Bi2O2Se随厚度变化的带隙等物理性质进行研究;通过研究其晶体振动模式,可进一步研究2D Bi2O2Se材料的缺陷形态、温度系数与热导率;此外,超快光谱技术也可以帮助研究2D Bi2O2Se材料内部载流子的弛豫过程与输运性能;最后,简述了当前Bi2O2Se研究面临的挑战与应用的前景。

全景内窥成像技术及应用
霍嘉燚, 李冕豪, 王子川, 袁波, 杨青, 王立强
2023, 16(1): 44-60. doi: 10.37188/CO.2022-0074
摘要:

全景内窥成像技术可有效减小体内器官的观察盲区,具有缩短手术时间、降低术中出血风险、改善手术预后、缩短术后恢复时间等多种优点,在微创手术和术前检查中有重要应用价值,是近年来的研究热点。本文从原理和产品应用两个方面对全景内窥成像技术进行了梳理。首先,综述了基于二维和三维成像的各种全景内窥成像技术,阐述了它们各自的实现方式,并分析了其关键指标和性能。其次,对比分析了由全景内窥成像技术衍生出来的胶囊内窥镜、全景结直肠镜等多种不同类型的产品,并展望了全景内窥成像技术的发展趋势和应用前景。

单片集成式主振荡功率放大器研究进展
谭满清, 游道明, 郭文涛, 刘维华
2023, 16(1): 61-75. doi: 10.37188/CO.2022-0022
摘要:

单片集成式主振荡功率放大器(MOPA)具有体积小、功率大、光束质量高等优势,通过集成布拉格光栅,还能够实现窄线宽和动态单模,在倍频、泵浦、光通信和传感等领域具有重要应用价值,是近年来半导体光电子器件的研究热点。本文梳理了单片集成式MOPA的主流结构,包括锥形、脊型、布拉格光栅型和三段式MOPA,以各自的工作原理和性能特征为出发点,介绍其主要的研究方向,并结合它们各自面临的问题介绍最新的发展趋势。针对单片集成式MOPA中普遍存在的高功率下光束质量退化的问题,梳理了近年在外延层结构、腔面光学薄膜和电极设置等方面的优化设计,重点总结了单片集成式MOPA在提高光束质量及高功率、容线宽及高亮度方面的重要进展。围绕不同领域的应用需求,整理了具备高功率、窄线宽、高光束质量和高亮度等性能特征的单片集成式MOPA的研究进展,最后展望了单片集成式MOPA的发展趋势。

正交激发发射上转换纳米材料的设计、制备与应用
贾恒, 冯晓锐, 李大光, 秦伟平, 杨龙, 何伟艳, 马惠言, 滕英跃
2023, 16(1): 76-93. doi: 10.37188/CO.2022-0134
摘要:

稀土掺杂的上转换发光纳米材料在信息安全、生物医学、光纤通信、显示和能源等众多领域有着巨大的应用潜力,受到了相关各领域研究人员的广泛关注。特别是近年来发展起来的具有正交激发发射特性的上转换发光纳米颗粒,其可在不同的激发条件下产生动态变化的光色输出,因而具备一系列新的特性与功能,大大地扩展了应用范围。本文综述稀土离子正交上转换发光的发展历程,系统论述了基于核壳结构的正交激发发射体系的设计原理和构建方法,介绍了其在信息存储、安全防伪、显示、传感、生物成像及治疗等领域的最新研究进展,并探讨了未来相关研究中可能面临的机遇和挑战。

原创文章
微透镜阵列衍射效应对夏克一哈特曼波前探测器的影响分析
朱沁雨, 陈梅蕊, 陆焕钧, 樊丽娜, 彭建涛, 孙会娟, 徐国定, 毛红敏, 曹召良
2023, 16(1): 94-102. doi: 10.37188/CO.2022-0176
摘要:

微透镜阵列的衍射效应会影响夏克—哈特曼波前探测器的探测精度。本文根据惠更斯-菲涅耳衍射理论建立二维微透镜阵列衍射模型,模拟分析使用理想平行光入射微透镜阵列时在焦平面产生的二维衍射光斑阵列。然后,通过计算衍射光斑偏移一个像素的过程中质心的误差,确定最大质心计算误差。接着,利用模式法进行波前重构,获得波前探测误差。仿真结果显示:在偏移0.21和0.79个像素,即波面偏转0.03°和0.13°时,衍射导致的波前误差最大为0.125 λ。最后,实验验证了该误差计算方法的有效性。该研究结果可为夏克一哈特曼波前探测器的设计提供理论依据。

飞秒激光诱导击穿光谱技术对石墨中钍的定量分析
刘小亮, 王澜, 彭玲玲, 李小燕, 刘云海, 邹春燕
2023, 16(1): 103-112. doi: 10.37188/CO.2022-0082
摘要:

为了促进激光诱导击穿光谱技术在核工业领域中的应用与发展,利用飞秒激光对高纯石墨中的钍(Th)元素开展了定量分析研究。采用标准加样法制备了钍含量在0.35%~35.15%范围内的9个分析样品,以类比钍基核燃料中的钍含量。通过改变光谱采集方式、延时条件及调节飞秒激光脉冲能量对实验条件进行优化。在优化的实验条件下,对所有样品进行激发以采集等离子体光谱信息用于定量分析研究。得出以下结果:对比定点激发采集光谱结果,采用靶面连续移动式的光谱重复性好,钍原子(Th I 396.21 nm)谱线强度获得大约2倍的增强,重复测量的相对标准偏差由20.4%降至5.7%;高含量区间内钍元素谱线存在明显的自吸收效应,采用指数函数对整个含量区间与分析线(Th I 394.42 nm、396.21 nm和766.53 nm)强度进行非线性拟合,可以有效获取分析线的饱和阈值;基本定标法适用于饱和阈值以下的含量区间,分析线对较低含量的未知样品的预测分析具有较高的精确度;采用内标法(以C I 247.85 nm线为内标线),可以实现积分强度和峰值强度与整个区间含量的线性拟合,其中,基于高饱和阈值分析线(766.53 nm)的积分强度能够较好地实现高含量未知样品的含量预测。实验结果说明:飞秒激光诱导击穿光谱技术具有钍基核燃料循环过程中钍含量监测分析的潜力。

复杂曲面零件面结构光扫描视点规划
任明阳, 王立忠, 赵建博, 唐正宗
2023, 16(1): 113-126. doi: 10.37188/CO.2022-0026
摘要:

为了实现复杂曲面零件高效自动化测量,本文提出了一种基于改进栅格法的面结构光扫描视点规划方法,并将其应用在汽车复杂曲面零件自动化测量中。首先,针对人工示教视点冗余严重,扫描完整性差的问题,提出了一种基于改进栅格法的面结构光扫描视点规划算法,根据面结构光扫描仪的有效测量范围,确定栅格尺寸,改进候选视点生成策略,并通过扫描仪的测量约束条件得到候选视点的有效测量范围,利用视点质量评价函数确定最优视点。其次,针对视点规划过程中算法耗时长,特征重建精度低的问题,采用体素网格法简化模型,通过八叉树算法分割复杂曲面模型,根据法向量一致性误差确定体素网格尺寸,并且对于几何特征不同的模型,分析权重系数对扫描质量的影响,给出最佳权重系数。最后,进行了汽车钣金件和减速器壳体扫描视点规划和测量实验。结果表明,汽车钣金件视点规划耗时21.93 s,扫描完整性为99.124%,扫描精度为0.025 mm;汽车减速器壳体视点规划耗时158.29 s,扫描完整性为93.231%,扫描精度为0.032 mm。本方法能快速完成复杂曲面视点规划,并且采用规划视点扫描的模型完整性好,精度高,能够满足复杂曲面零件自动测量的要求。

基于自由曲面的辐射定标光源设计
田杰文, 叶新, 方伟
2023, 16(1): 127-135. doi: 10.37188/CO.2022-0021
摘要:

为了减小对卫星上的空间使用,针对定标特点,本文提出了一种用于积分球光源准直照明的自由曲面反射镜设计方法。采用该方法,能够以小口径的积分球实现大面积的方形均匀辐照度分布。首先,通过点光源模型建立自由曲面离轴反射照明数学模型,然后,通过切比雪夫点离散自由曲面,并求解出满足点光源照明的自由曲面模型,最后,分析积分球的光源特性,通过逐步优化自由曲面能量分布方法完成点光源照明模型到积分球照明模型的转变。通过分析可知,设定照明面积为140 mm×140 mm时,目标面的辐照度非均匀性的不均匀度小于0.02。满足星载定标轻量化,短光路,结构简单的需求。

基于扫描反射镜结构的多路光开关
肖泽华, 李明宇, 苏国帅, 何泽南
2023, 16(1): 136-143. doi: 10.37188/CO.2022-0020
摘要:

本文设计了一种使用嵌入式Linux可编程控制的基于扫描反射镜的光开关,在触摸显示器的UI界面上进行光纤阵列通道间的具体切换操作。此外,还可以预先设定光开关的切换顺序、停留时间。光开关光路可自动对光校准来保证每个通道的输出功率最大。本文分析了此种光开关的设计原理,通过实验测试了光开关的性能。实验结果表明:当使用单模光纤阵列时,平均插入损耗小于17 dB,相邻通道间的平均串扰低于30 dB,相邻通道间切换时间小于1.3 ms;对于多模光纤阵列,平均插入损耗小于2.4 dB。本文所设计的光开关具有低损耗、低延时、高精度、高稳定性、高重复性、通道间串扰小、人机交互良好等优点,可用于波分复用器件、多路光波导传感器等光学器件的测试。

复合椭球腔太阳能聚光均匀线光源设计
芦宇, 杨逸, 张祥祥, 孔维敬
2023, 16(1): 144-150. doi: 10.37188/CO.2022-0138
摘要:

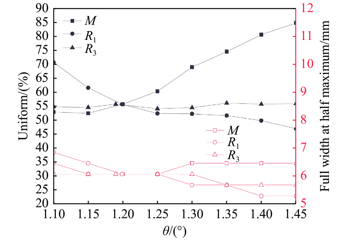
为了实现太阳光直接泵浦板条高功率激光器,对均匀线形高功率密度泵浦源进行研究。本文提出由一级聚光系统与7个共焦点椭球叠加形成二级聚光系统(复合椭球腔),组合实现高功率密度均匀线光源的设计方法。每个椭球可对圆形第一焦斑进行等辐射通量分割,镜像成像特点使得峰值功率密度未明显下降,分解后镜像光斑在第二焦点处形成均匀线光源。通过坐标变化给出等辐射通量数学模型,利用退火算法求解出每个椭球旋转平移参量。由半径为30 mm,焦距为70 mm菲涅尔透镜和a=3.4 mm,c=3.15 mm单椭球腔组成一级系统,附带二级复合椭球腔聚光系统,可实现有效长度为12 mm,峰值功率密度为1.09×106 W/m2,均匀度为95.46%线光源。对比每个椭球参量对均匀度贡献,中间椭球旋转参量θ为1.4°,均匀度改善明显,边缘椭球参量Δ改变对线光源有效长度影响显著,其最佳值为0.53 mm。

基于可调谐半导体激光吸收光谱的氧气浓度高灵敏度检测研究
杨舒涵, 乔顺达, 林殿阳, 马欲飞
2023, 16(1): 151-157. doi: 10.37188/CO.2022-0029
摘要:

可调谐半导体激光吸收光谱(TDLAS)是近年发展起来的一种激光光谱气体检测技术,相比于常见的电化学、离子导电陶瓷等技术,其具有选择性强、灵敏度高、响应快、可在线测量、抗背景光谱干扰能力强等优点,适用于复杂环境中气体的长期在线检测。氧气(O2)是人类生存环境中的重要气体,O2浓度的检测在生产生活各个领域应用广泛、意义重大。基于此,本文采用TDLAS技术对空气中的O2进行高灵敏度测量。采用输出波长为760 nm的半导体激光器作为光源,直接吸收光谱法获得环境中的氧气浓度为20.56%,最小检测极限为5.53×10−3。在波长调制方法中,优化了激光波长调制深度,得到了完整的二次谐波波形,可用于标定氧气浓度。此系统的信噪比为380.74,最小检测极限约为540×10−6。本文的传感系统具有良好的O2检测能力,可广泛用于各个领域中的O2浓度检测。

六边形环带排布的共光路复眼光学系统设计
范晨, 刘钧, 高明, 吕宏
2023, 16(1): 158-173. doi: 10.37188/CO.2022-0116
摘要:

为解决仿生复眼系统目前普遍存在的空间利用率较低、子眼孔径较小问题,本文提出一种六边形环带排布的大孔径复眼系统设计方法,通过引入填充因子理论,以传统曲面圆周式排布为对照组,论证了六边形环带排布模型可有效提高大孔径复眼系统的空间利用率。针对单波段复眼系统获取目标信息量有限的问题,设计采用红外双波段共光路的成像结构形式,辅以红外双色探测器接收,增强了复眼系统获取目标信息的多维度能力,同时建立了六边形环带排布方式的子孔径定位数学模型。仿生复眼系统共由91个子孔径组成,子孔径入瞳为16 mm,焦距为48 mm,视场角为9°,子孔径合成总视场为96°×85°,中继转像系统焦距为6.14 mm,子眼系统和中继转像系统在−40 °C~+60 °C温度变化范围内无热差影响,探测器冷反射效应可忽略。对复眼系统进行组合,仿真结果表明:各个光学子通道均方根(RMS)半径均小于艾里斑,光学畸变值均小于0.1%,边缘子通道红外中波/长波波段调制传递函数(MTF)在17 lp/mm处均达到0.5以上。该系统结构紧凑、探测能力强,可用于复杂环境中多目标的探测与识别。

基于表面等离子体共振的光子准晶体光纤甲烷氢气传感器
刘强, 赵锦, 孙宇丹, 刘伟, 王建鑫, 刘超, 吕靖薇, 王诗淼, 蒋宇, 朱剑豪
2023, 16(1): 174-183. doi: 10.37188/CO.EN.2022-0006
摘要:

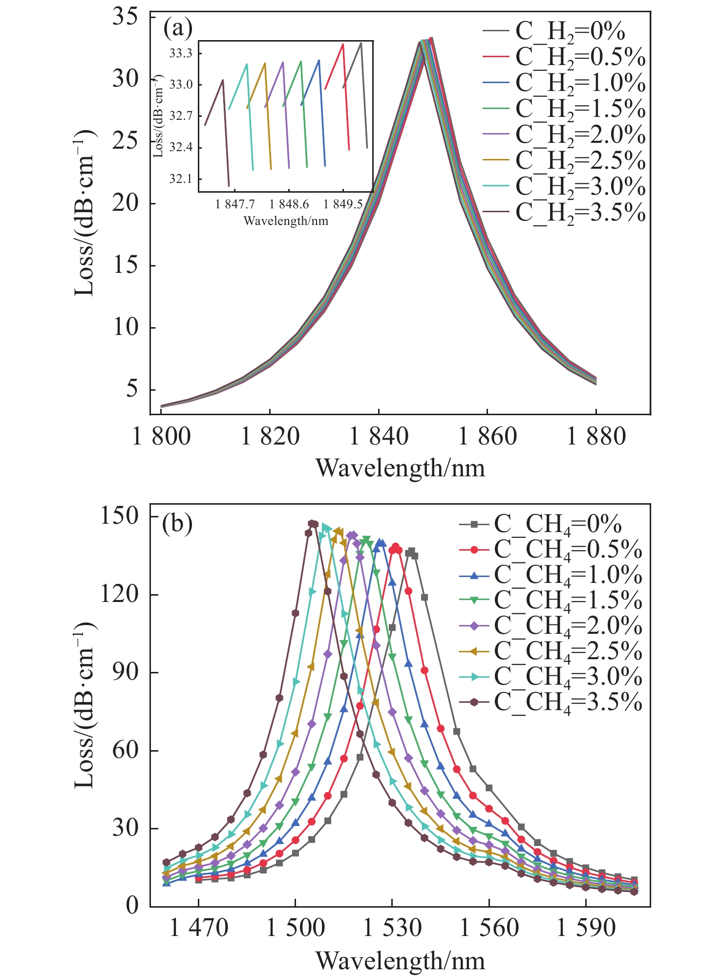
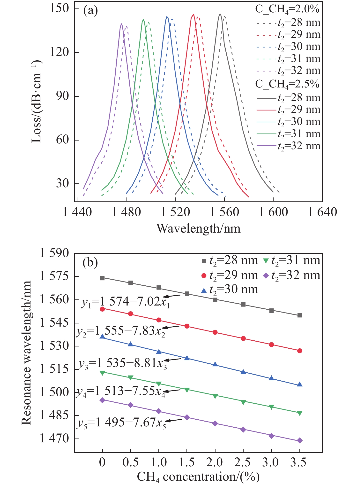
设计了一种用于同时检测甲烷和氢气的基于表面等离子体共振(SPR)的新型光子准晶体光纤(PQF)传感器。在该传感器中,在银膜上分别沉积Pd-WO3和掺杂聚硅氧烷的笼型分子E薄膜作为氢气和甲烷的敏感材料。采用全矢量有限元方法对PQF-SPR传感器进行数值分析,结果证明该传感器具有良好的传感性能。在0%~3.5%的浓度范围内,氢气的最大检测灵敏度和平均灵敏度分别为0.8 nm/%和0.65 nm/%,甲烷的最大灵敏度和平均灵敏度分别为10 nm/%和8.81 nm/%。该传感器具有同时检测多种气体的能力,在设备小型化和远程监测方面具有很大的潜力。

基于相移条纹投影的动态3D测量误差补偿技术
曹智睿
2023, 16(1): 184-192. doi: 10.37188/CO.EN.2022-0004
摘要:

在基于相移条纹投影的动态三维测量中,不同条纹图像中物点、像点和相位之间的理想对应关系被破坏,此时应用传统的相位公式会产生很大的测量误差。为了减小动态三维测量误差,首先分析了该误差的基本原理,并将该误差等效为不同条纹图像之间的相移误差;然后,提出了一种动态三维测量误差补偿方法,该方法将基于最小二乘的先进迭代算法和改进的傅立叶辅助相移法相结合,实现了随机步长相移量和相位的高精度计算。对精加工铝板的实测结果表明,动态三维测量误差补偿技术可使动态三维测量的均方误差降低一个以上数量级,补偿后的动态三维测量精度可达0.15 mm 以上。

Cosh-Pearcey-Gaussian涡旋光束在单轴晶体中的坡印廷矢量和角动量密度
梁梦婷, 程科, 舒凌云, 廖赛, 杨嶒浩, 黄宏伟
2023, 16(1): 193-201. doi: 10.37188/CO.EN.2022-0007
摘要:

为了分析和研究Cosh-Pearcey-Gaussian涡旋 (CPeGV)光束的传播特性,通过皮尔斯积分式得到了CPeGV光束传播的一般表达式,推导出CPeGV光束在单轴晶体中传播的解析式。详细研究了CPeGV光束在单轴晶体中传播时的纵向和横向坡印廷矢量和角动量密度(AMD)。探讨了双曲余弦参数、拓扑电荷和传播距离对CPeGV光束传播特性的影响。研究结果表明:与PeG光束相比,CPeGV光束的调制自由度更高。较大的双曲余弦调制参数可以控制能量沿横向坡印廷矢量方向传递,从而不仅可以改变能量分布也可以使AMD峰值变大。在远场,CPeGV光束的纵向坡印廷矢量随着双曲余弦参数的增大会从抛物线形状分离为四个波瓣的分布形状。而拓扑电荷会影响远场抛物线形状中暗区的数量。本文研究将有助于更好地理解 CPeGV光束在单轴晶体中的传播特性,并有助于信息传输和存储的应用。

紫外偏振敏感的CsPbBr3纳米薄膜的可见光发射
吉于今, 楚学影, 董旭, 李金华
2023, 16(1): 202-213. doi: 10.37188/CO.2022-0152
摘要:

为了利用可见光学元件实现对紫外偏振光的高性能探测,制备了CsPbBr3纳米晶/金属线栅复合薄膜,并通过向其表面沉积Al2O3钝化层提高了薄膜荧光稳定性,获得了紫外激发下偏振敏感的钙钛矿纳米晶薄膜绿色荧光。测试结果表明,以高温热注入法获得的CsPbBr3纳米晶为立方晶系结构,形貌呈方形,尺寸约39 nm。以紫外光激发纳米晶胶体溶液可在530 nm处观测到明显的绿色荧光。以自组装方法获得的CsPbBr3纳米晶/金属线栅复合薄膜荧光发光强度随紫外激发光的偏振方向呈周期性变化,其发光偏振度约为0.54。以原子层沉积技术向此复合薄膜表面沉积Al2O3层可明显提高其荧光强度,钝化后复合薄膜的发光偏振度仍可达0.36。以上结果表明,表面钝化和引入金属线栅方法可分别优化钙钛矿纳米晶薄膜的荧光稳定性和荧光偏振度,所获得的紫外偏振敏感的CsPbBr3纳米晶复合薄膜在紫外偏振探测以及液晶显示等领域具有重要的应用价值。

纳米环-七聚体金属-介电结构的多重Fano共振特性
吕靖薇, 王德宝, 刘超, 刘强, 王建鑫, 杨琳, 牟海维, 朱剑豪
2023, 16(1): 214-227. doi: 10.37188/CO.2022-0170
摘要:

为实现可调谐的多重Fano共振特性及设计高灵敏度折射率传感器,本文提出一种纳米环-七聚体金属-介电纳米天线结构,利用有限元方法(Finite Element Method, FEM)研究了Fano共振特性的影响因素和变化规律。研究表明,纳米环-七聚体金属-介电纳米天线的Fano共振特性对高度、入射角度和结构间隙的变化非常敏感;纳米天线的电场强度和电偶极源激发下的珀赛尔系数(Purcell factor, PF)可达134.74 V/m和3214,使得纳米天线中心位置附近的电场强度得到大幅增强;复合纳米天线结构具有较高的灵敏度S和品质因数FOM,分别为1400 nm/RIU和17 RIU−1,可作为评价高灵敏度折射率传感器的重要性能指标。本文为实现复合纳米天线结构中Fano共振的可调谐特性提供了一种可行途径,为表面增强拉曼散射、量子发射器和折射率传感器等实际应用奠定了坚实的理论基础。

约稿信