2025 Vol. 18, No. 6

Original Article
Achromatic monolayer metalens with elongated field of view in a continuous waveband
HUANG Hao-hua, LI Wei, LIU Rui, ZHANG Wei, ZHANG Jing-ying, LI Wen-hao
2025, 18(6): 1267-1276. doi: 10.37188/CO.2025-0061
Abstract:

Metalenses are subject to off-axis aberrations and material dispersion, which fundamentally limit their ability to achieve both wide field-of-view (FOV) and broad operational bandwidth in imaging detection systems. In this paper, an achromatic monolayer metalens with an elongated FOV in a continuous waveband is constructed using an elaborately designed metasurface. By leveraging a quadratic phase profile for large-field-of-view (FOV) detection, the metasurface unit structure transmission phase is subsequently optimized via particle swarm optimization (PSO) to achieve continuous band dispersion tuning. This approach consequently enables expanded operational bandwidth under wide-FOV conditions. For a monolayer metalens with a numerical aperture of 0.351, an achromatic focusing field covering a ±20° FOV is obtained within the continuous waveband from 0.55 μm to 0.65 μm. The maximum focal length deviation along the optical axis is 3.2 μm (~0.08 f0), and the incident angle detection deviation ≤ 1.34°. The proposed method can realize an achromatic monolayer metalens with an elongated FOV within a continuous waveband, which will have potential applications in lightweight and integrated optical imaging systems.

Investigation of laser-induced damage mechanisms in back-illuminated CMOS detector modules under nanosecond pulsed irradiation
WANG Ke, LIU Yang, WANG Yun-zhe, ZHANG Yin, WANG Zhen-zhou, SHAO Jun-feng
2025, 18(6): 1277-1288. doi: 10.37188/CO.2025-0090
Abstract:

To evaluate the laser-induced damage effects on visible-light imaging systems under realistic operational conditions, a detector module comprising a filter and a back-illuminated CMOS sensor was employed as the target. This study investigates the damage mechanisms induced by nanosecond pulsed lasers at wavelengths of 532 nm and 1064 nm. Initially, typical damage effect data of CMOS components caused by 532-nm and 1064-nm nanosecond pulsed lasers are obtained through a series of experiments. To address the limitations in observing internal thermal and mechanical responses during the experiments, a finite element simulation model was developed to analyze the interaction between the laser and the detector. The simulation enabled visualization of temperature and stress concentration phenomena that are difficult to capture through direct observation, thus providing valuable reference data for damage thresholds. The results from both the experiments and simulations indicate that the dominant damage mechanism is coupled thermo-mechanical failure. The measured multi-stage damage thresholds were 30.06 mJ/cm2, 38.93 mJ/cm2, 56.20 mJ/cm2, and 102.17 mJ/cm2 for 532 nm laser irradiation, and 38.62 mJ/cm2, 50.09 mJ/cm2, 116.31 mJ/cm2, and 137.73 mJ/cm2 for 1064 nm irradiation.

Low-noise wide tuning 1018-nm DBR narrow-linewidth single-frequency fiber laser
YU Long-kun, XIAO Xin, YU Shi-hao, LI Pan, LUO Zi-ren
2025, 18(6): 1289-1297. doi: 10.37188/CO.2025-0071
Abstract:

Addressing the urgent demand for 1018 nm single-frequency seed sources in Rydberg microwave measurements, we have developed a wide tuning 1018 nm single-frequency fiber laser with a linewidth of 810 Hz and a relative intensity noise below −140 dB/Hz. The laser employs a distributed Bragg reflector (DBR) structure with an 8-mm-long ytterbium-doped fiber and incorporates a high-stability active temperature control system and a piezoelectric ceramic (PZT)-based fast frequency tuning device. The temperature control range was from 10 °C to 80 °C, with the temperature fluctuation of the DBR resonance cavity was only ±0.0005 °C within 2 hours at a controlled temperature of 25 °C. Through experimental testing, the laser maintains single-longitudinal-mode output at 25°C, with a linewidth of 810 Hz, a temperature tuning range exceeding 0.9 nm, and a PZT-based fast-tuning range of up to 10 GHz, without any mode-hopping during the tuning process. The relative intensity noise of a single-frequency laser is −150 dB/Hz in the low-frequency band of 1 kHz, and remains below −140 dB/Hz for frequencies greater than 1.5 MHz. This result shows that the laser achieves both low-noise output and wide tuning.

Multispectral line spectral analysis based on cavity ring-down spectroscopy
YUAN Kang-jie, ZHOU Yue-ting, GONG Ting, YAN Xiang, SUN Xiao-cong, QIU Xuan-bing, LI Chuan-liang
2025, 18(6): 1298-1306. doi: 10.37188/CO.2024-0207
Abstract:

Laser absorption spectroscopy (LAS) has been widely applied in atmospheric monitoring, industrial production, medical diagnostics, and other fields due to its high sensitivity, rapid response, and real-time online detection capabilities. However, spectral overlap interference remains a major challenge in LAS. In this study, a multispectral line spectral analysis approach based on cavity ring-down spectroscopy (CRDS) is proposed. A CRDS gas detection system was developed using a custom-designed cage-type Fabry-Pérot cavity, and seven acetylene (C2H2) absorption lines in the range of 6452 cm−1 to 6453 cm−1 were selected for investigation. Experimental results demonstrate that the system is capable of accurately measuring and filling the multi-line absorption spectra of C2H2 with a minimum detection limit of 3.517×10−8 cm−1, corresponding to a minimum detection volume fraction of 4.37 ×10−6. Additionally, the intracavity pressure was precisely measured using a calibrated high-precision vacuum gauge. By analyzing the pressure-broadening effects observed in the absorption spectra, we calculated the pressure-broadening coefficients for three absorption lines, achieving a relative deviation below 0.04. This study provides a novel method for multispectral line spectral analysis in LAS, improving measurement accuracy and broadening its applicability.

Arbitrary curve imaging and its application in polarization detection
MA A-ning, WAN Cheng-long, WANG Yu-rong, LI Guo-jian
2025, 18(6): 1307-1315. doi: 10.37188/CO.2025-0052
Abstract:

In order to investigate the imaging function of metasurface based on geometric phase theory, this article deduces the imaging formulation of arbitrary curve with the theory of geometric phase imaging on metalens, and its feasibility and correctness is verified by scalar diffraction theory. The imaging formulation is further applied in polarization detection of the incident beam. The results show that phase manipulation of metasurface based on geometric phase can achieve the functions of arbitrary curve imaging and polarization detection of the incident beam, which is of great significance in the field of holographic imaging, optical communication and quantum science.

A time-domain diffuse optical imaging system based on differential time-to-digital converter photon-counting technology
LIU Xin-lin, LU Guang-da, QIN Zhuan-ping, GUO Ting-hang, LIU Dong-yuan, GAO Feng
2025, 18(6): 1316-1326. doi: 10.37188/CO.2025-0048
Abstract:

Time-domain diffuse optical imaging (TD-DOI) is an advanced tissue optical imaging technique. Utilizing a time-correlated single-photon counting (TCSPC) system, it enables the quantitative reconstruction of tissue absorption and scattering coefficients. This facilitates the precise assessment of key physiological parameters, such as tissue oxygen metabolism and blood perfusion. However, due to the inherent hardware complexity and high cost of TCSPC systems, it is currently challenging to meet the requirements for scaled, multichannel, dynamic in vivo monitoring in clinical settings. This paper develops a dual-channel differential hybrid trigger and reference signal strategy. By integrating a differential time-to-digital converter (TDC) device with photon counting technology, we construct a stable and reliable time point spread function (TPSF) measurement system. This system achieves sub-nanosecond precision in calibrating the time delay between the laser synchronization signal and emitted photon signals. Experimental validation demonstrates a system temporal resolution of 55 ps. At a photon count rate of 2.3 × 104 photons per second, the TPSF fluctuation coefficient remains below 1.35% (with an integration time of 1 s). Optical parameter inversion tests on tissue-simulating phantoms demonstrate average inversion errors of 5.39% for the absorption coefficient and 4.34% for the reduced scattering coefficient. This technological approach significantly advances the feasibility of multichannel parallel detection for TD-DOI. It is particularly suitable for biomedical applications demanding dynamic monitoring, such as cerebral cortical hemoglobin oxygen saturation, and lays the technical groundwork for developing next-generation wearable optical brain functional imaging devices.

Design of an infrared dual-band cooled zoom focal Offner-type spectral imaging optical system
WANG Qiao-chu, GENG Hai-tao, YU Lin-yao, ZHANG Bao
2025, 18(6): 1327-1343. doi: 10.37188/CO.2025-0080
Abstract:

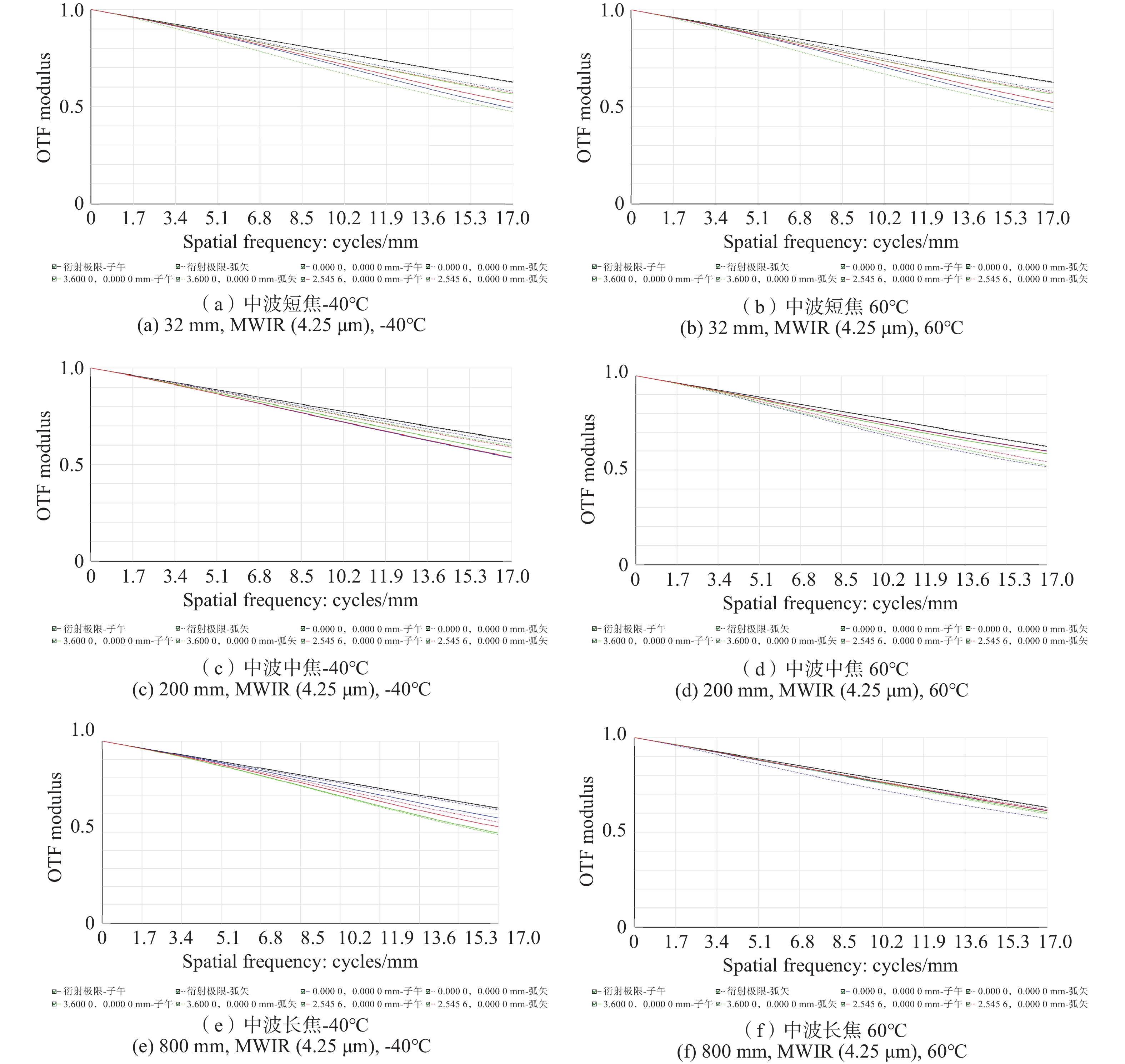
With the breakthrough progress of mid-wave and long-wave infrared hyperspectral imaging technology, the military hyperspectral imaging system, with its unique feature recognition capability and covert reconnaissance advantages, has demonstrated significant strategic value in the field of modern battlefield situational awareness. In this study, a dual-band Offner-type spectral imaging system operating in the mid-wave infrared (3.7−4.8 μm) and long-wave infrared (7.7−9.5 μm) is designed for aerial detection applications based on a 320×240-pixel dual-color cooled infrared detector. The system adopts a hybrid refractive and refractive-reflective optical structure, and realizes a three-field-of-view switching zoom function of 32 mm, 200 mm and 800 mm. The optical system adopts the Offner spectroscopic structure, which effectively suppresses the primary aberration of the system; secondly, through the introduction of the secondary imaging relay system, it achieves 100% cold diaphragm matching and significantly reduces the cold reflection effect. Experimental tests show that the system exhibits excellent imaging performance in all bands and at different focal lengths. At a characteristic frequency of 17 lp/mm, the modulation transfer function approaches the diffraction limit, and temperature changes have little effect on imaging quality, meeting design specifications for optical image quality. The optical system is characterized by wide spectral response, large magnification ratio (25×) and fast field of view switching. The spectral resolution reaches 25 nm, and its imaging quality and spectral resolution meet the technical requirements of aviation photoelectric reconnaissance, which has important application value in military reconnaissance, security monitoring and environmental monitoring.

Clarification on the beam deviation angle formula of a Rochon prism in classical literatures
LI Dong-feng, LI Ru-yi, YANG Chun-wang, ZHOU Jun, LU Shou-xiang
2025, 18(6): 1344-1352. doi: 10.37188/CO.2025-0036
Abstract:

During the research and development process of the scientific research project, it was found that the beam deviation angle formula of a Rochon prism in classical optical literatures (for negative crystals) was incorrect. Therefore, an accurate expression for the beam deviation angle of a Rochon prism was derived (distributed for negative and positive crystals), and the problem of design in the optical systems containing a Rochon prism in the scientific research projects was solved. In response to the problem of small angles between the two output beams of light in general a Rochon prism products, the expressions for the deviation angles of a Rochon prism composed of negative and positive crystals, respectively, were analyzed and derived. In addition, the deviation angles of a Rochon prism composed of different crystal materials were analyzed and the expression was derived. By calculating and comparing with actual data, it is known that the beam deviation angle of a Rochon prism made of different crystal materials is significantly higher than that of a Rochon prism made of the same crystal material. For applications in the ultraviolet band, a specific design example of a large beam deviation angle for a Rochon prism composed of heterogeneous crystal materials is provided. This type of a Rochon prism is composed of heterogeneous crystal materials, and according to the appropriate crystal arrangement order, a relatively large beam deviation angle can be obtained under the limitation of reasonable crystal thickness, which is obviously beneficial for the structural design of the polarization instruments and equipments.

Multi-robot collaborative optical processing
SHI Feng-hua, LI Long-xiang, LIU Xi-ming, PENG Li-rong, CHEN Hao, LI Xing-chang, CHENG Qiang, ZHANG Xue-jun
2025, 18(6): 1353-1364. doi: 10.37188/CO.2025-0020
Abstract:

To improve the processing efficiency of large-aperture optical components, a multi-robot, multi-tool collaborative processing method was proposed. A collaborative layout that has been tailored to the optical components was designed, and three feasible trajectories were simulated for analysis. The discrete simulation results were then used to establish principles for selecting trajectory parameters. To address the limitation of discrete simulation in capturing the influence of trajectory continuity on the surface map, an integral removal function model adapted to the motion mode was introduced. Furthermore, a collaborative machining obstacle avoidance strategy was developed. The experimental results obtained using the optimal trajectory demonstrated that for an optical component with an initial surface shape of PV=18.310λ (λ=632.8 nm) and RMS=1.788λ, the final surface achieved PV=4.873λ and RMS=1.113λ. In addition, within the effective range of 120 mm diameter, PV=4.661λ and RMS=0.857λ converged to PV=2.465λ and RMS=0.622λ after processing. The total execution time was 3.943 h, with the maximum execution time for a single processing unit being 2.041 h, representing a 1.93-fold improvement over single-tool processing. This method significantly enhances processing efficiency, ensures surface shape accuracy, and holds great potential for the manufacturing of large-aperture optical components.

Nonlinear error active coding optimal estimation correction method for fringe projection
LI Mao-yue, XU Jing-zhi, LIU Ze-long, HUANG Si-qi
2025, 18(6): 1365-1375. doi: 10.37188/CO.2024-0167
Abstract:

Stripe projection technology is widely used in 3D measurement and surface morphology reconstruction, where phase quality is a critical determinant of measurement accuracy. However, the nonlinear relationship between input and output light intensity is a major source of phase error. To address this issue, this paper introduces a novel system nonlinear active correction method. This method captures the variation pattern between input and output light intensity by projecting a small number of uniform gray-scale images onto a standard plane. This pattern is then integrated with active system nonlinear correction to construct a system nonlinear model based on the input-output light intensity variation. Genetic algorithms are used to optimize the coding values, which are then used to actively correct the projected fringes via fringe coding. The corrected fringes effectively reduce the influence of nonlinear effects, thereby significantly improving the quality of phase acquisition. To validate the proposed method, computer simulations were performed using three-step phase shifting. The results showed an 88% reduction in the standard error and an 85.5% reduction in the maximum error. In actual standard plane experiments, the corrected standard phase error decreased from 0.0706 rad to 0.0168 rad, and the maximum phase error decreased from 0.4129 rad to 0.0960 rad. In the face plaster model experiments, the corrected standard phase error decreased from 0.0472 rad to 0.0102 rad, and the maximum phase error decreased from 0.2990 rad to 0.2408 rad. In 3D reconstruction of complex morphology plaster models of human faces, the surface quality was significantly improved, and the water ripple effect, which affects the phase quality, was significantly reduced. Compared with existing large-step phase-shifting methods, the proposed method not only achieves high phase acquisition accuracy, but also offers significant advantages in terms of required data volume and operational convenience, demonstrating broad application potential.

Intelligent recognition and 3D reconstruction method for satellite key components
TENG Jia-wei, TIAN Lei, JIANG Shan, SUN Hai-jiang, WANG Rui, YU Zheng-lei
2025, 18(6): 1376-1387. doi: 10.37188/CO.2025-0091
Abstract:

To achieve the recognition and 3D reconstruction of space target components in complex, low-texture environments for space situational awareness tasks, we propose an end-to-end intelligent perception framework for space targets based on deep learning. This framework enables intelligent recognition and high-precision 3D reconstruction of key space target components. First, based on the lightweight YOLOv11s network, an attention mechanism is introduced to focus features, achieving precise localization and recognition of space targets and their key components while ensuring real-time performance. This facilitates the extraction of target regions for accurate 3D reconstruction. Subsequently, a novel 3D reconstruction algorithm named Sat-TransMVSNet, specifically designed for low-texture space targets, is proposed. This algorithm employs a multi-scale feature enhancement network for feature extraction and utilizes a novel cost volume regularization method to strengthen geometric constraints at space target edges. It incorporates a background-suppression and foreground-enhancement module, combined with a dynamic depth sampling strategy, to accurately reconstruct space targets. Finally, the overall framework is tested using a self-built multi-angle space target dataset comprising various types. Experimental results indicate that the component recognition algorithm achieves an mAP50 of 0.95, and the comprehensive 3D reconstruction error is 0.2886 mm. This demonstrates the framework’s capability to meet the requirements for high-precision 3D reconstruction of space targets and intelligent recognition of key components.

Athermal design of a space camera using a single lens material over a wide temperature range
LI En-ze, PAN Yu, GU Guo-chao, JIANG Xue, LIN Guan-yu, LI Bo
2025, 18(6): 1388-1398. doi: 10.37188/CO.2025-0065
Abstract:

Catadioptric space cameras are widely used in space exploration. However, temperature variations can degrade their imaging performance. To address this issue, we present an athermal design for a catadioptric space camera operating over a wide temperature range. Initially, the temperature effects on optical elements, mechanical structures, and other components were analyzed, and convenient methods for thermal aberration compensation are summarized. Subsequently, taking a camera with a spectral range of 400–1000 nm, a focal length of 525 mm, and an F-number of 3.5 as the design case, an athermal solution is developed. By selecting appropriate materials for the mirror substrates and support structures, and using fused silica as the single lens material to correct aberrations, the optical system maintains stable performance in space environments. Final simulation results confirm that the optimized camera maintains a Modulation Transfer Function (MTF) value above 0.4 at 77 lp/mm (Nyquist frequency) over a temperature range of –60 °C to 150 °C. The camera exhibits stable material properties, excellent imaging quality, and consistent performance under extreme temperatures. This design demonstrates significant potential for applications in space exploration and related fields.

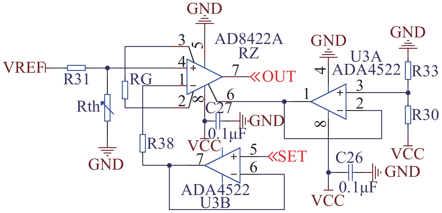
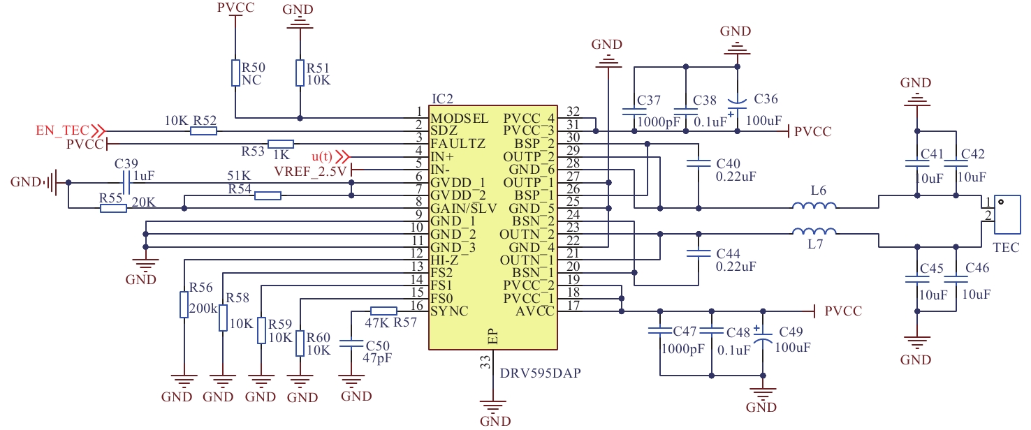
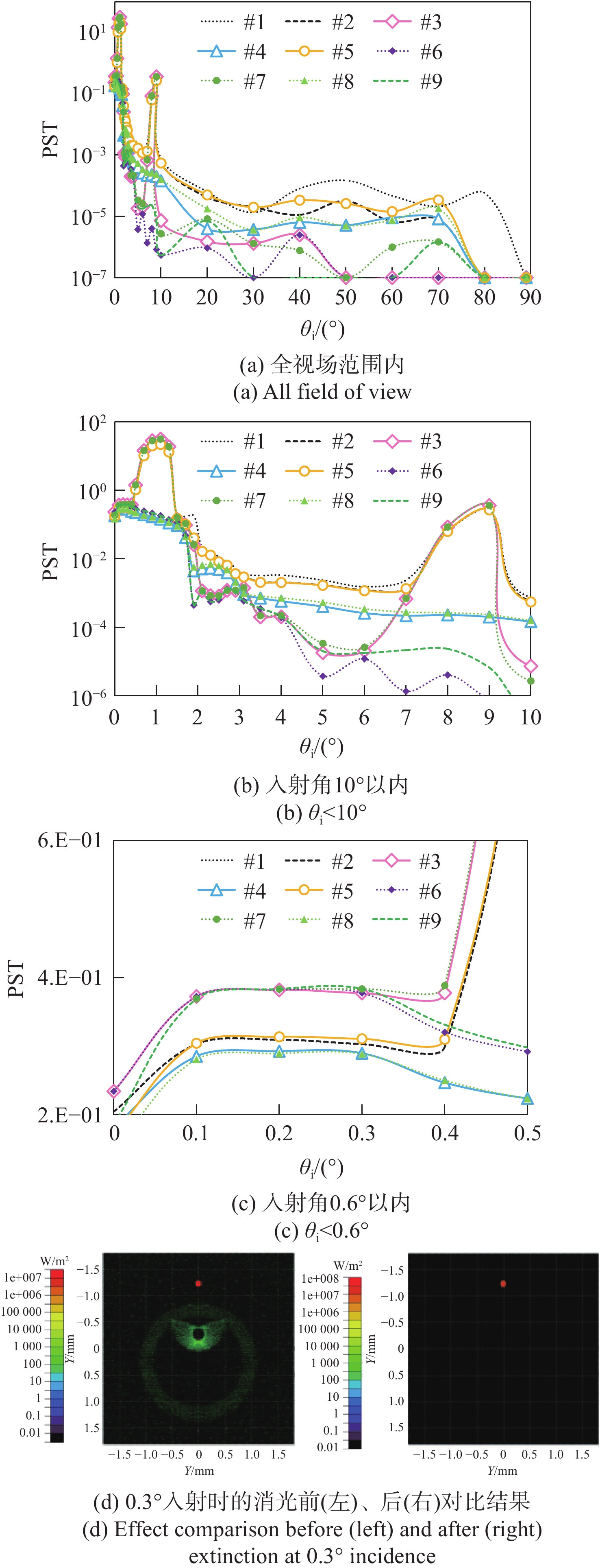
Stray light suppression model of vehicle LiDAR lens based on key parameter priors
ZHANG Li-zhi, LU Qiu-ping, DUAN Fan-lin, DAI Xing, QIAO Da-yong
2025, 18(6): 1399-1408. doi: 10.37188/CO.2025-0074
Abstract:

Stray light interference in vehicular LiDAR systems can reduce the signal-to-noise ratio and degrade detection efficiency. To mitigate this issue, this paper proposed a surface scattering modeling method based on the spectral power density function and total integrated scattering, which fits the bidirectional reflectance distribution function (BRDF) for various material surfaces. The model calculation results were highly consistent with the measured BRDF data, verifying the effectiveness of the method. Based on this model, the study systematically analyzed the sources and propagation paths of stray light in the long-focal-length receiving optics of vehicular LiDAR, with specific attention to scattering from the housing's inner walls, lens edges, and spacer ring surfaces. According to the simulation results, we put forward a number of stray light suppression measures, such as using structural components made of low-scattering materials, coating anti-reflection films on lens surfaces, and applying light-absorbing ink to the non-optical areas of lenses, etc. Furthermore, from optical design, signal processing and engineering optimization, the stray light suppression level of this LiDAR receiving optical system was evaluated in multiple dimensions. The experiment results showed that the level of stray radiation in the optimized system was significantly reduced. The point source transmittance (PST) outside the imaging field of view was reduced from 1×100 to 1×10−5, the PST in the field of view was reduced from 1×102 to 1×10−1, and the stray light contrast with the target signal was controlled below 1×10−4. Additionally, the intensity of the detected echo signal is significantly improved, thereby effectively enhancing the detection performance of the LiDAR. This study provides a theoretical model and practical solutions for stray light suppression in vehicle-mounted LiDAR, offering valuable references for the design and optimization of high-sensitivity optical systems.

Intense light interference suppression technology based on regional flipping of digital micromirror device
TANG Zuo, WANG Xiao-heng, MAO Ye-fei, ZHAO Ruo-chen, ZHAO Bao-zhen, CHANG Hui-cong, YANG Chang, XIAO Lin
2025, 18(6): 1409-1419. doi: 10.37188/CO.2025-0095
Abstract:

To address the interference and dazzling threats posed by high-power lasers to the imaging performance photoelectric of detectors, this paper proposes and validates a dynamic laser interference suppression method based on regional flipping of digital micromirror device (DMD). This method employs a secondary imaging optical path, placing the DMD at the primary image plane. Through real-time identification and flipping of micromirrors corresponding to the laser interference region, high-power interference energy is deflected out of the main optical path, thereby protecting the detector while retaining effective image information of most of the field of view. First, we verified the feasibility of this scheme through optical simulations, and subsequently built an experimental platform for systematic testing. Furthermore, this study quantitavily analyzes the influence of the mask radius, which controls the flipping of the DMD, on the suppression effect. It verifies that the optimal suppression effect is achieved when the flipped region is larger than the interference spot. Experimental results demonstrate that DMD regional flipping nethod can effectively suppress laser interference with different laser powers and incident angles. Compared with the scenario without suppression, the interference power received by the detector is significantly reduced: when the laser is incident off-axis, the laser interference resistance threshold is increased by more than 28.5 dB; when the laser interference is incident parallel to the optical axis, the laser interference resistance threshold can be enhanced by over 30 dB. In comparison with traditional image processing methods, this method can retain as much image information as possible under scenarios of strong light interference. This technology provides an efficient and concise solution for photoelectric systems to maintain stable imaging in strong light interference environments.

Design of an ultra-compact wide-field lens incorporating a curved image surface
BI Shi-wen, ZHANG Xing-xiang, CHEN Li, LIU Jun-hao, FAN Shi-jie, FU Tian-jiao
2025, 18(6): 1420-1430. doi: 10.37188/CO.2025-0076
Abstract:

To address the demand for large field-of-view and high compactness in lightweight AR glasses equipped with cameras, this study proposes an optical design method incorporating a curved image plane. First, the curved image plane imaging system is theoretically analyzed according to Gaussian optics theory. The Petzval surface curvature characteristics of various optical configurations are derived, and the performance advantages of the curved image plane are highlighted through comparative simulations of dual systems. Then, a wide-field and compact optical system is designed using a segmented multi-objective optimization strategy. Finally, image quality evaluation and tolerance analysis are performed on the designed system. The compact optical system comprises five aspheric plastic lenses and a rear-mounted filter. It features a focal length of 3.1 mm, a field of view (FOV) up to 80°, and a total system length of only 4.07 mm. The design results show that the modulation transfer function (MTF) exceeds 0.32 across all fields. The maximum RMS spot radius is 2.41 μm, with a distortion of only 2.5%, and the relative illumination remains above 45% across the entire field at 223 lp/mm. This work lays a foundation for the application of curved sensors and offers a technical reference for the design of wide-field compact lenses.

Design of a lightweight semi-active laser guided optical system
JIANG Yang, MU Quan-quan, ZHAO Dong-xu, SHI Yi-jun, HUO Dong-yang
2025, 18(6): 1431-1438. doi: 10.37188/CO.2024-0229
Abstract:

In order to minimize misalignment angle errors in laser-guided seekers, it is necessary to optimize the quality of energy signals through advanced optical design techniques. The initial design parameters were obtained through the integration of aberration theory and state-of-the-art optical design software. The optical system is progressively designed through iterative processes from the perspectives of the optical structural forms and optimization of aberration balancing. To enhance angular measurement precision, we improved the symmetry of the light spot by carefully controlling the image-side telecentric condition. Furthermore, a comprehensive performance analysis of optical plastic materials demonstrated the viability of using these materials in the manufacture of the seeker’s optical structure. Our final optical system design boasts a focal length of 71.6 mm and an F/# of 1, with the edge field chief ray telecentric maintained below 6 mrad. In the operating temperature range, the stability of spot size is better than 0.4% and the maximum distortion of the full field of view is less than 0.5%. Notably, within a ±2° field of view, both the light spot linearity and energy response consistency meet the stringent requirements for precision guidance. The structural design methodology we employed, which focuses on minimizing primary aberrations, can be effectively applied to the optimization of catadioptric systems, thus serving as a valuable reference for the optical structure design of similar seekers.

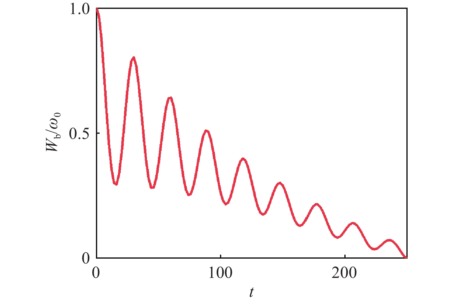
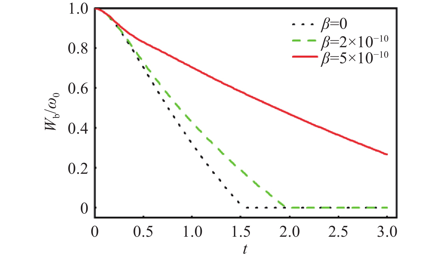
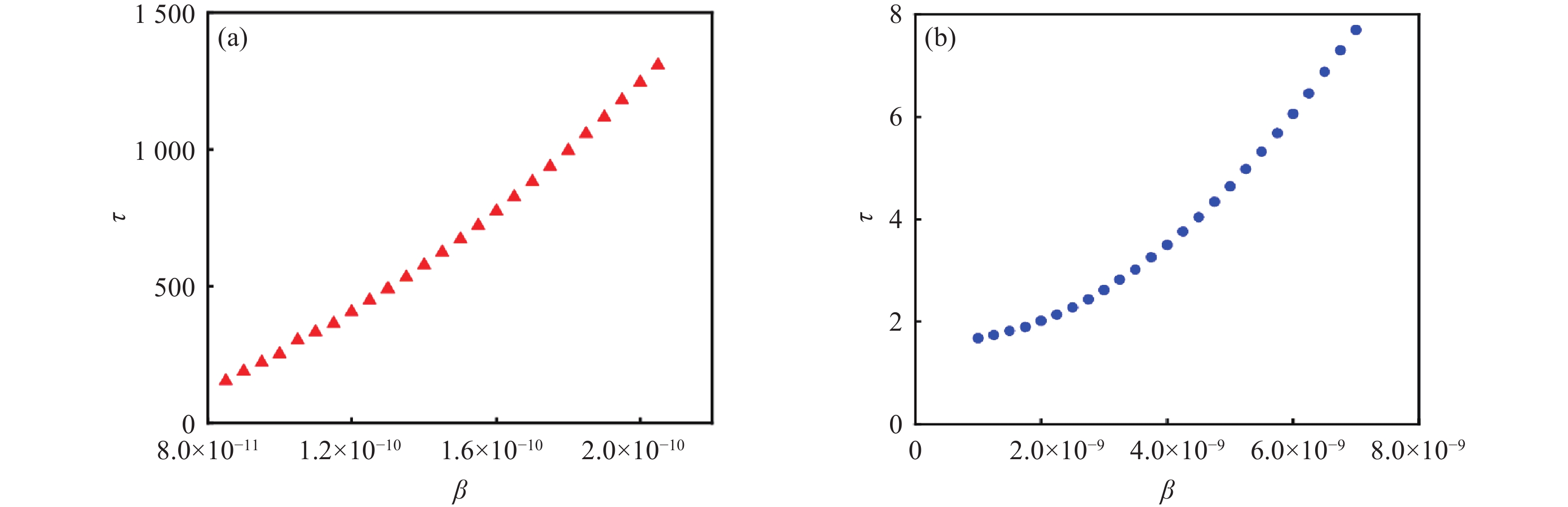
Energy preservation of a motion-assisted quantum battery in a lossy cavity
REN Tian-Xi, CHEN Yan, TAN Jia, CAO Zhao-Liang, HAO Xiang
2025, 18(6): 1439-1448. doi: 10.37188/CO.EN-2025-0015
Abstract:

As a potential alternative energy source in the quantum regime, a quantum battery inevitably experiences a process where the extracted work decreases due to the environmental decoherence. To inhibit the energy dissipation, we have put forward a scheme of a moving atom battery in a lossy cavity coupled to a structured environment. We investigate the dynamics of the maximally extracted work called the ergotropy by the open quantum system approach. It is found out that the decay of quantum work is significantly retarded in the non-Markovian environment. In contrast to the static case, the storage performance of the quantum battery is improved when the atom is in motion. The effect of energy preservation becomes more pronounced at higher velocities. Both the momery effect and motion control can play a positive role in extending the discharge lifetime. In addition, we have investigated the effects of environmental temperature, random noises, and quantum entanglement. These present results provides a feasible protocol for the open quantum battery.

3-D morphological feature measurement and reconstruction of wear particles using multi-view polarized optical coherence tomography
MENG Yi-ru, LV Jin-guang, ZHENG Kai-feng, ZHAO Bai-xuan, QIN Yu-xin, CHEN Yu-peng, ZHAO Ying-ze, NIE Hai-tao, WANG Wei-biao, XU Jing-jiang, LAN Gong-pu, LIANG Jing-qiu
2025, 18(6): 1449-1462. doi: 10.37188/CO.EN-2025-0018
Abstract:

The morphological description of wear particles in lubricating oil is crucial for wear state monitoring and fault diagnosis in aero-engines. Accurately and comprehensively acquiring three-dimensional (3D) morphological data of these particles has became a key focus in wear debris analysis. Herein, we develop a novel multi-view polarization-sensitive optical coherence tomography (PS-OCT) method to achieve accurate 3D morphology detection and reconstruction of aero-engine lubricant wear particles, effectively resolving occlusion-induced information loss while enabling material-specific characterization. The particle morphology is captured by multi-view imaging, followed by filtering, sharpening, and contour recognition. The method integrates advanced registration algorithms with Poisson reconstruction to generate high-precision 3D models. This approach not only provides accurate 3D morphological reconstruction but also mitigates information loss caused by particle occlusion, ensuring model completeness. Furthermore, by collecting polarization characteristics of typical metals and their oxides in aero-engine lubricants, this work comprehensively characterizes and comparatively analyzes particle polarization properties using Stokes vectors, polarization uniformity, and cumulative phase retardation, and obtains a three-dimensional model containing polarization information. Ultimately, the proposed method enables multidimensional information acquisition for the reliable identification of abrasive particle types.

Demodulation of Vernier-effect-based optical fiber strain sensor by using improved cross-correlation algorithm
LIU Bin, CAO Zhi-gang, WANG Xing-yun, LIN Zi-han, CHENG Rui, LIU Jun, SUN Yu-han, ZHENG Shu-jun, ZUO Cheng, LIN Ji-ping
2025, 18(6): 1463-1474. doi: 10.37188/CO.EN-2025-0024
Abstract:

The improved cross-correlation algorithm for the strain demodulation of Vernier-effect-based optical fiber sensor (VE-OFS) is proposed in this article. The algorithm identifies the most similar spectrum to the measured one from the database of the collected spectra by employing the cross-correlation operation, subsequently deriving the predicted value via weighted calculation. As the algorithm uses the complete information in the measured raw spectrum, more accurate results and larger measurement range can be obtained. Additionally, the improved cross-correlation algorithm also has the potential to improve the measurement speed compared to current standards due to the possibility for the collection using low sampling rate. This work presents an important algorithm towards a simpler, faster way to improve the demodulation performance of VE-OFS.

Design of broadband achromatic far-infrared metalens based on chalcogenide glass using parameterized topology optimization
ZHOU Yun-fei, ZOU Lin-er, CHENG Yang-bing, SHEN Yun
2025, 18(6): 1475-1483. doi: 10.37188/CO.EN-2025-0003
Abstract:

Metalens technology has been applied extensively in miniaturized and integrated infrared imaging systems. However, due to the high phase dispersion of unit structures, metalens often exhibits chromatic aberration, making broadband achromatic infrared imaging challenging to achieve. In this paper, six different unit structures based on chalcogenide glass are constructed, and their phase-dispersion parameters are analyzed to establish a database. On this basis, using chromatic aberration compensation and parameterized adjoint topology optimization, a broadband achromatic metalens with a numerical aperture of 0.5 is designed by arranging these six unit structures in the far-infrared band. Simulation results show that the metalens achieves near diffraction-limited focusing within the operating wavelength range of 9−11 µm, demonstrating the good performance of achromatic aberration with flat focusing efficiency of 54%−58% across all wavelengths.

Multi-Fano resonances sensing based on a non-through metal-insulator-metal waveguide coupling D-shaped cavity
ZHAO Xiao-long, CHANG Xu-yan, LIU Yan-li, ZHANG Yan-Jun, ZHANG Zhi-dong
2025, 18(6): 1484-1494. doi: 10.37188/CO.EN-2025-0017
Abstract:

A plasmonics waveguide structure that consist of a non-through metal–insulator–metal (MIM) waveguide coupled with a D-shaped cavity was designed. And the transmission properties, magnetic field distribution, and refractive index sensing functionality were simulated using the finite element method (FEM). A multi-Fano resonance phenomenon was clearly observable in the transmission spectra. The Fano resonances observed in the proposed structure arise from the interaction between the discrete states of the D-shaped resonant cavity and the continuum state of the non-through MIM waveguide. The influence of structural parameters on Fano resonance modulation was investigated through systematic parameter adjustments. Additionally, the refractive index sensing properties, based on the Fano resonance, were investigated by varying the refractive index of the MIM waveguide's insulator layer. A maximum sensitivity and FOM of 1155 RIU/nm and 40 were achieved, respectively. This research opens up new possibilities for designing and exploring high-sensitivity photonic devices, micro-sensors, and innovative on-chip sensing architectures for future applications.

Broadband tunable operation of compact Yb:CGYA disordered crystal laser
WANG Kang, WU Wen-jie, ZHANG Pei-xiong, YIN Hao, ZHU Si-qi, LI Zhen, CHEN Zhen-qiang
2025, 18(6): 1495-1505. doi: 10.37188/CO.EN-2025-0029
Abstract:

A Yb:CaGd0.33Y0.625AlO4 (Yb:CGYA) laser crystal of high optical quality has been successfully synthesized via the Czochralski method. The introduction of Gd3+ ions preserves the original structure and efficiently generates inhomogeneous broadening of the Yb3+ ion emission spectra. The fluorescence emission peak wavelength of the Yb:CGYA crystal is 1053 nm, and the corresponding measured full width at half-maximum is 93 nm. A tunable laser output ranging from 1017 nm to 1073 nm is achieved by using a birefringent filter, which represents the broadest tuning range reported in a short cavity to date. The compact laser offers significant advantages for its applications around the 1 μm wavelength band.

High anti-icing performance of coating-free superhydrophobic metal surfaces via femtosecond laser processing
CUI Lin-kun, YAN Dan-dan, ZOU Ting-ting, XU Jia-pei, ZHANG Bo, LI Lin, ZHANG Hao, XU Cai-xue, YANG Jian-jun
2025, 18(6): 1506-1515. doi: 10.37188/CO.EN-2025-0013
Abstract:

As an efficient passive anti-icing method, the superhydrophobic surface can reduce icing process on metals in low temperatures. However, the usual organic low-surface-energy decorations are often prone to age especially in harsh environments, leading to a decrease or complete failure of the anti-icing performance. Here, we adopt a fabrication method of femtosecond laser element-doping microstructuring to achieve inorganic superhydrophobic aluminum alloys surfaces through simultaneously modifying the surface profile and compositions of aluminum alloys. The obtained bionic anthill tribe structure with the low thermal conductivity, exhibits the superior delayed freezing time (803.3 s) and the low ice adhesion (16 μN) in comparison to the fluorosilane modified and bare Al surfaces. Moreover, such an inherently superhydrophobic metal surface also shows the exceptional environmental durability in anti-icing performance, which confirms the effectiveness of our superhydrophobic surface without the need for organic coatings.