留言板

尊敬的读者、作者、审稿人, 关于本刊的投稿、审稿、编辑和出版的任何问题, 您可以本页添加留言。我们将尽快给您答复。谢谢您的支持!

姓名
邮箱
手机号码
标题
留言内容
验证码

2026年  19卷  第1期

原创文章
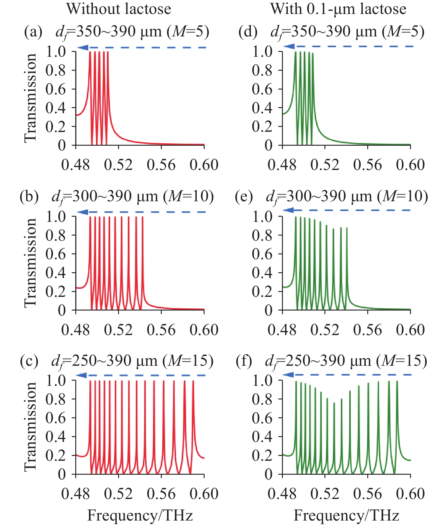
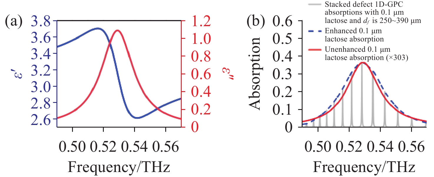
一维光子晶体缺陷腔堆叠的太赫兹吸收谱增强
徐泽堃, 李向军, 严德贤
2026, 19(1): 1-9. doi: 10.37188/CO.2025-0106
摘要:

太赫兹(THz)光谱技术已被证明在有机及生物大分子检测领域具有巨大应用价值。然而,传统样品压片法在实际痕量待测物检测中无法应用,需要额外结构增强待测物与太赫兹波的相互作用。为了解决该问题,本文提出一种一维光子晶体(One-dimensional photonic crystals,1D-PCs)缺陷腔堆叠的太赫兹吸收谱增强结构。该结构采用多层金属平行平板波导分隔一系列缺陷腔宽度不同的一维光子晶体,并将样品薄膜涂敷在贯穿所有缺陷腔的衬底上。入射的宽带太赫兹波可同时激发不同层内光子晶体缺陷腔对应的多个不同频率的谐振峰,通过连接这些共振吸收峰组成包络得到增强的待测物太赫兹吸收光谱。仿真结果表明,0.1 μm厚的α-乳糖样品在0.49~0.57 THz频段内可实现约303倍的吸收增强因子。该方法测量速度快,并且样品量用量小,为太赫兹吸收光谱应用于痕量分析物的高灵敏度检测提供了有效解决方案。

全介质聚焦超构表面天线设计与优化
付宗涛, 杨帆, 王少娜, 李凯, 蒋悦, 郭翠娟, 牛萍娟, 姚建铨, 石嘉
2026, 19(1): 10-18. doi: 10.37188/CO.2025-0094
摘要:

传统微波天线的空间分辨率受限于衍射极限,难以突破波长量级的约束,限制了其在高分辨率微波传感与检测中的应用。为克服这一问题,本文设计了一种全介质超衍射极限聚焦天线。首先,基于广义斯涅尔定律,利用非对称散射超构光栅阵列对天线表面功能化,通过调控电磁波前实现亚波长尺度高效光束聚焦。然后,对超构光栅的几何结构设计进行优化,实现高调控效率。最后,分析超构天线所生成焦斑的电场强度分布以及尺寸。仿真结果表明:超构天线调控效率达到98.50%,衍射效率为72.56%,且焦斑最小尺寸小于0.73λ,焦深约为15.11λ。本文设计的超构天线兼具长焦深与高效率特性,其亚波长聚焦特性显著提升了空间分辨率,为微波成像及无损检测等领域的高精度传感检测提供了新的解决方案,具有潜在的应用价值。

非富勒烯掺杂对平面异质结有机光电探测器的光电特性影响
单正叶, 刘頔, 张侃, 倪程鹏, 孙金芳, 程斌
2026, 19(1): 19-28. doi: 10.37188/CO.2025-0114
摘要:

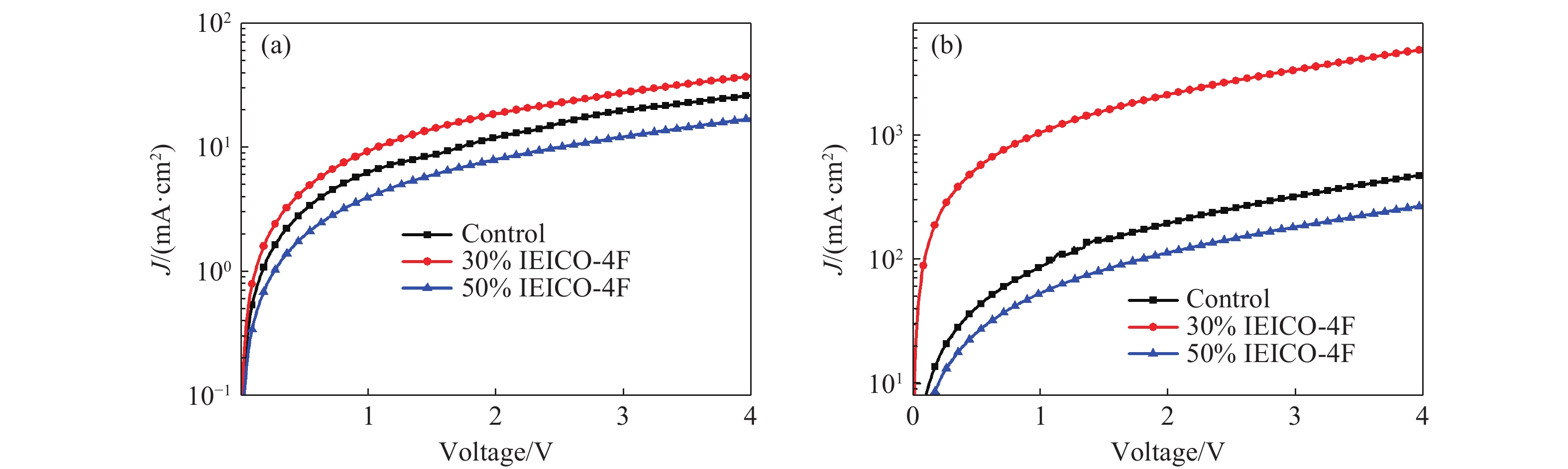
研究了在P3HT : PC71BM 的平面异质结有机光电探测器体系中掺杂非富勒烯小分子IEICO-4F到受体部分对该器件光电特性的影响。采用溶液法制备不同掺杂比例的活性层薄膜,通过电流-电压特性、外量子效率、紫外-可见-近红外吸收光谱及光致发光光谱等表征手段,结合原子力显微镜分析形貌演变规律。实验结果表明,IEICO-4F 的引入显著拓宽活性层吸收光谱,拓宽至近红外区域(700~900 nm),并通过互补吸收光谱提升光量子捕获效率。当优化掺杂比例为30% 时,器件的光电流密度从19.17 mA/cm2提升至27.25 mA/cm2,比探测率从0.78×1012 Jones 提升到1.45×1012 Jones。形貌分析证实 IEICO-4F 优化了 PC71BM 的相分布,形成更精细的互穿网络结构,促进电荷转移并降低串联电阻,研究同时发现过量掺杂会破坏相分离平衡,影响载流子分离和流入,导致电子-空穴的传输不平衡。该工作揭示了非富勒烯受体掺杂对传统聚合物——富勒烯体系的多重调控作用。研究发现通过光谱拓宽与形貌优化的协同机制可有效提升器件光电性能,为有机光电探测材料体系的设计提供了新思路。

超快光纤激光相干合成中的脉冲压缩技术
李灿, 任博, 张嘉怡, 王涛, 唐振强, 贺志文, 周毅, 冷进勇, 周朴
2026, 19(1): 29-38. doi: 10.37188/CO.2025-0100
摘要:

近年来,超快光纤激光相干合成技术得到快速发展,成为超快超强激光平均功率提升的重要技术手段。然而,受到单路光纤放大器中光谱增益窄化以及高阶色散失配等因素影响,高功率超快光纤激光相干合成系统的输出脉冲宽度与块状固体激光系统相比通常较宽,导致其峰值功率提升严重受限。本文从超快光纤激光相干合成中脉冲压缩的视角,分别针对基于光纤啁啾脉冲放大的脉冲整形技术、基于光纤非线性光谱展宽的合成技术、以及基于部分光谱干涉的相干光谱合成技术三个方面进行了系统的梳理分析,并对超短脉冲光纤激光相干合成的后续发展进行了展望。

利用离焦诱导的弥散圆进行镜面颗粒尺寸测量
路洪腾, 宫平, 卢鑫磊, 韶莉霞, 马辰昊
2026, 19(1): 39-48. doi: 10.37188/CO.2025-0108
摘要:

光学表面颗粒污染检测是保障空间望远镜成像性能的重要措施。传统颗粒污染检测常使用暗场散射显微镜拍摄颗粒图像,再对图像中颗粒外轮廓作外接圆计算颗粒尺寸。该方法要求拍摄过程严格对焦,对不规则形状的颗粒尺寸检测结果误差较大。为了提高检测镜面上微小颗粒尺寸的精度,消除对焦不准和颗粒形状差异带来的误差。本文提出利用离焦诱导的弥散圆检测颗粒尺寸的方法。利用颗粒尺寸与颗粒散射能量的对应关系,通过离焦将颗粒的暗场散射图像变成弥散圆。最后分析颗粒离焦弥散圆特征来测量颗粒的真实尺寸。该方法可以规避颗粒形状以及系统对焦程度对检测结果的干扰。实验结果表明:利用离焦弥散圆检测颗粒尺寸的方法在不同离焦量下都有较高的检测精度,相较于传统的使用暗场散射显微镜的方法,对于不规则形状颗粒尺寸的检测误差从平均58%降低到10.3%。验证了离焦弥散圆检测颗粒尺寸方法的可行性,并可以有效提高检测不规则颗粒尺寸的精度。

激光清洗技术在芯片封装模具中的应用
杨金芳, 何涛涛, 安浦瑞, 杨沛年, 袁诗超, 毕超, 田新叶, 汪满, 张进兵, 李泽靖, 令维军
2026, 19(1): 49-59. doi: 10.37188/CO.2025-0122
摘要:

激光清洗技术作为一种高效、环保的表面处理手段,在芯片封装模具清洗领域具有重要的应用潜力。本文系统探究了激光参数(脉冲宽度、重复频率、平均功率)对基材为 P20 合金和 ASP23 合金镀铬的模具表面环氧塑封料 (EMC) 污染物的清洗效果影响。实验采用1064 nm掺钕脉冲激光器,将高斯光束整形为平顶光束,结合振镜"弓"字扫描路径,以单一变量法优化工艺参数。实验结果表明,激光能量密度为 0.55−0.77 J/cm2 时,需协同调节脉冲宽度与重复频率,以平衡热输入,可实现污染物完全去除且基材零损伤。参数敏感性分析显示,最佳占空比范围为 0.8%~1.0%。此外,功率超过阈值(150 ns,50%或200 ns,50%)会导致基材损伤,表明参数匹配对清洗效果与材料保护至关重要。本研究为芯片封装模具提供了一种高精度、非接触的绿色清洗方案,验证了激光清洗技术在集成电路领域的可行性。

C点偶极子通过海洋湍流的演化
陈海涛, 李强, 高曾辉
2026, 19(1): 60-68. doi: 10.37188/CO.2025-0107
摘要:

为探究寄存于部分相干矢量光束的C点偶极子在海洋湍流中的演化规律,构建了C点偶极子的高斯-谢尔模涡旋(GSMV)光束,并据此对C点偶极子在海洋湍流中的演化行为进行研究。根据部分相干矢量光束偏振奇点概念,构造了GSMV光束,实现部分相干光束携带一对带相反拓扑电荷的C点偶极子。再根据扩展惠更斯-菲涅耳原理,推导出携带C点偶极子的GSMV光束通过海洋湍流的谱密度表示式。最后,运用该表达式以及复斯托克斯场S12 = S1 + iS2等相位图,模拟计算并分析讨论光束传播距离z、光束初始离轴参数s与相干长度δ对C点偶极子海洋湍流中演化行为的影响。当GSMV光束传输时,构成偶极子的C点位置和偏振度均会发生变化。当参数sδz变化时,虽然有新的C点产生,也有带相反拓扑电荷的C点发生湮没,但光场中偏振奇点总的拓扑电荷保持守恒。携带C点偶极子的部分相干矢量光束在海洋湍流中传输时,该光束的离轴参数、相干长度、湍流强度或传输距离对C点偶极子演化均有影响。

基于前向光线追迹技术的单光场相机空间分辨率研究
田杏, 曹丽霞
2026, 19(1): 69-84. doi: 10.37188/CO.2025-0119
摘要:

在三维场景重建过程中,光场相机的空间分辨率会影响可恢复的空间细节和深度分辨率,从而影响三维重建的准确性。因此,对光场相机的空间分辨率进行计算与分析,对于高分辨率和低分辨率区域的识别十分重要。本文利用前向光线追迹技术的高精度优点,研究了一种基于前向光线追迹技术的光场相机空间分辨率计算方法。对不同微透镜阵列排列方式下的光场相机1.0和2.0的空间分辨率进行了定量计算和比较。进一步研究了不同的主镜头逆放大率(Ml)对光场相机深度分辨率的影响。结果表明,光场相机在物平面与光轴交点附近以外的区域具有较高的深度分辨率。光场相机2.0在(0,0,0)附近区域的深度分辨率优于光场相机1.0。对于正方形排列的微透镜阵列,光场相机2.0的横向分辨率较光场相机1.0略有提升。光场相机1.0的深度分辨率随着Ml的增大而逐渐降低。

Mie-T矩阵耦合的沙尘多次散射效应表征与Monte Carlo验证
汤牧云, 朝克夫, 华文成, 崔存森
2026, 19(1): 85-95. doi: 10.37188/CO.2025-0126
摘要:

为精确量化沙尘天气对城市光电系统可见光传输的衰减影响,本研究以呼和浩特地区为例,构建了融合非球形粒子修正的光传输预测模型。基于Mie散射理论,结合本地沙尘样品的扫描电镜与能谱分析数据,计算三基色红绿蓝波段的沙尘粒子消光特性;进而采用T矩阵法对非球形粒子的散射参数进行修正,并利用Monte Carlo方法模拟光子的多次散射过程,系统比较单次与多次散射模型下的衰减率差异。结果表明,单次散射模型会系统性高估衰减率,蓝光波段最大误差达18.3%;经多次散射修正后,衰减率平均降低12.4%。在本例中,能见度为400 m,蓝光衰减率约为95 dB/km,显著高于红光的衰减率(约70 dB/km)。本研究构建的混合模型显著提升了沙尘环境下可见光衰减的预测精度,明确多次散射效应的关键影响,为城市光电系统在沙尘天气下的可见光传输提供了可靠的理论依据与数据支持。

成像式光体积描记术信号去噪
李文通, 张起起, 刘隆鑫, 马真龙, 孙运杰, 嵇晓强
2026, 19(1): 96-108. doi: 10.37188/CO.2025-0103
摘要:

针对成像式光体积描记术(Image Photoplethysmography, IPPG)信号采集过程中易受到噪声干扰的问题,本文提出了一种针对IPPG噪声分布特性的去噪扩散概率模型(Denoising Diffusion Probability Model for IPPG, DDPM-IPPG),通过扩散和逆扩散阶段消除基线漂移与噪声,提升信号的信噪比和后续心率指标的准确性。首先,在扩散阶段对光体积描记术(Photoplethysmography, PPG)信号逐步添加高斯噪声,构建噪声序列,训练基于非线性交融模块和桥接模块的噪声预测器。其次,在逆扩散阶段利用训练完善的噪声预测器对初步提取的IPPG信号进行逐步去噪,恢复出形态相似于PPG的IPPG信号。最后,将本文提出的模型与当前主流模型在PURE、UBFC-IPPG、UBFC-Phys和MMPD数据集上进行验证和对比分析。实验结果表明:与现有最高精度提取方法相比,DDPM-IPPG在PURE数据集上,信噪比提升1.06 dB,心率的平均绝对误差下降0.24 bpm,均方根误差下降0.41 bpm;在UBFC-IPPG数据集上信噪比提升1.50 dB。本文提出的DDPM-IPPG模型在IPPG信号消除基线漂移与噪声方面达到了先进水平,能够更精确地逼近真实信号,为生理健康评估与远程医疗监测提供了更加可靠的数据基础。

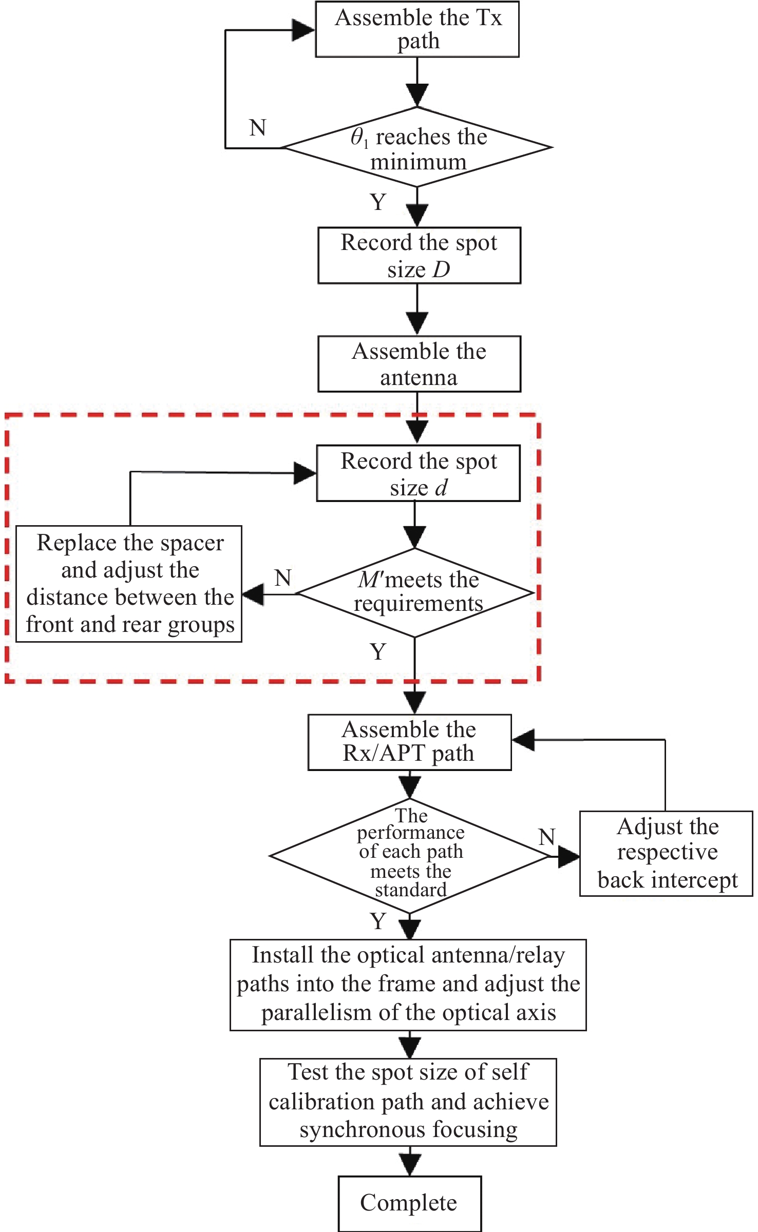
星间激光通信载荷光学天线批产化装调方法
杨成龙, 冯佳时, 李宇, 姚文凯, 李艳杰, 钟兴
2026, 19(1): 109-122. doi: 10.37188/CO.2025-0092
摘要:

随着空间激光通信技术的快速发展,高速星间链路组网需求日益强烈。然而,国内现阶段对星间激光通信载荷的研究仍以试验验证性质为主,光学系统设计复杂,加工、装调、检测时间长且成本高,不利于激光终端的低成本快速批产。为解决这一问题,本文提出了一种单波段消色差的透射式光学天线,以及基于平行光管检测光学天线放大倍率的快速装调方法。通过减小色差校正范围,使得光学天线的长度缩短了15.83%,透镜数量从6片减少到4片,降低了加工成本。仿真模拟给出放大倍率的装调范围为4.37~5.08。实际装调后,放大倍率实测值为4.82,信号发射光路的发散角为67.53 μrad,信号接收光路的耦合效率为51.42%,自标校光斑尺寸在12 pixel×12pixel以内。同时还进行了对照试验,结果显示所提方法的装调时间还未到干涉仪法的10%。装调测试结果表明,本方法既可在设计上实现光学天线的轻小型化设计,也可大幅度降低装调检测时间,并实现信号收发、捕跟探测与自标校光路的同步合焦。

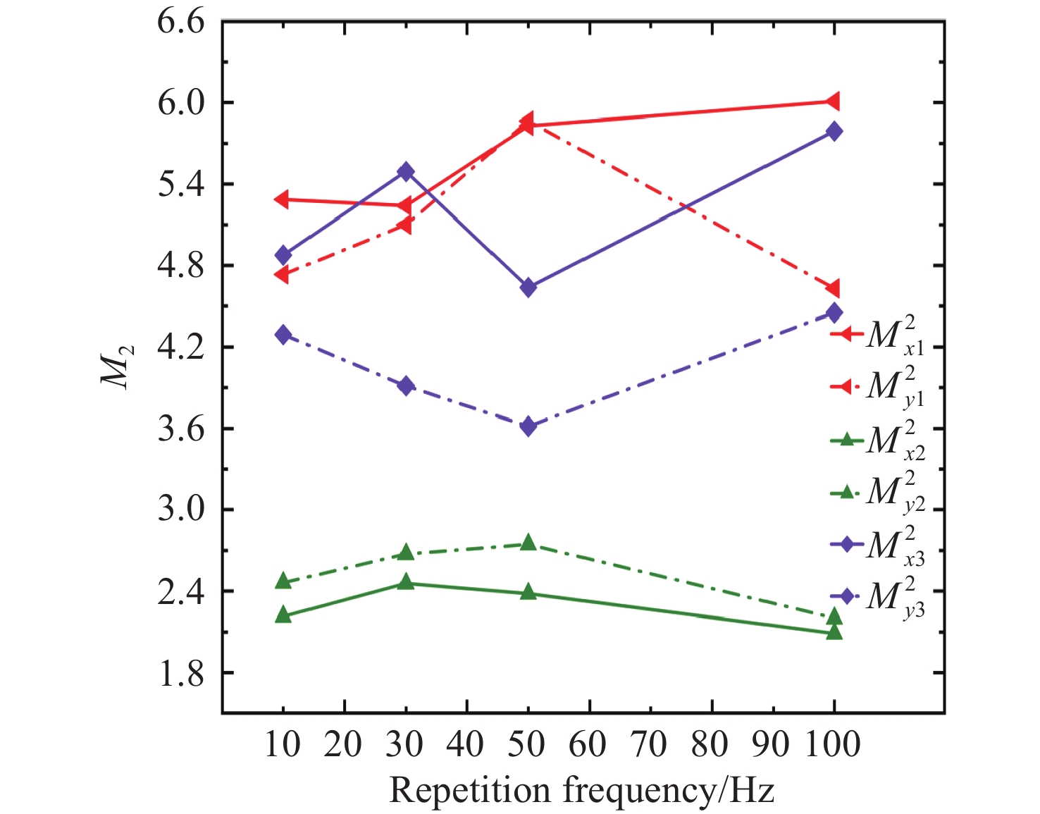
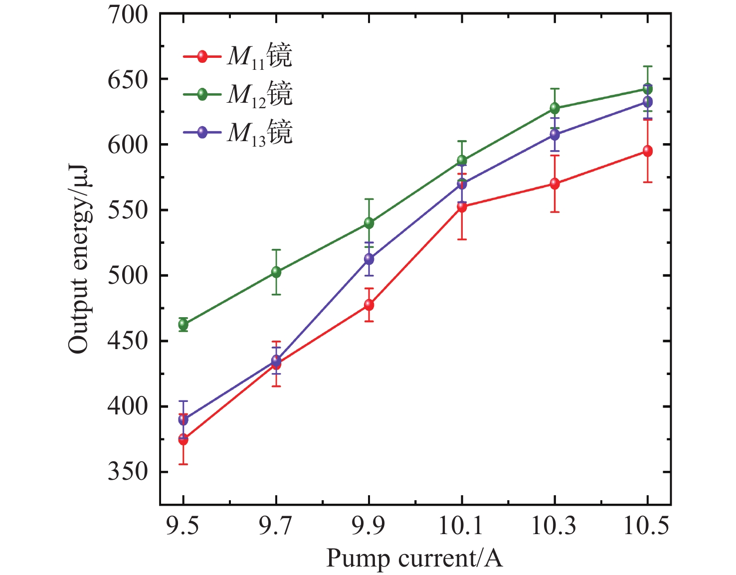
高斯非稳腔参数优化及其激光输出特性
翟怡林, 辛事成, 孙佳泽, 李照昱, 崔建丰, 岱钦
2026, 19(1): 123-132. doi: 10.37188/CO.2025-0110
摘要:

为实现LD侧面泵浦固体激光器的高功率、高光束质量激光输出,研究了高斯镜非稳腔激光器。采用边界有限元法分析了谐振腔腔长、高斯镜膜斑半径及曲率半径参数变化对于高阶模的抑制效果。利用模式损耗差泛函理论分析了高斯镜膜斑半径模式匹配范围及最优参数区间。通过建立输出功率模型,讨论了补偿损耗功率的最佳中心透过率理论值。基于理论仿真结果对激光器结构参数进行优化,分别测量了在不同高斯输出镜下输出光束的模式分布及光束质量。在谐振腔长为400 mm、泵浦电流为7.3 A、重复频率为100 Hz的实验条件下,采用膜斑半径为3 mm、曲率半径为1.5 m、中心透过率为17%的高斯输出镜,获得光束质量Mx2=2.09、My2=2.20的1064 nm高光束质量激光输出。

三波段大口径宽角度红外反射镜的研制
张静, 王鹤, 付秀华, 潘永刚, 林兆文, 魏乃光, 李冬旭, 刘泽钰, 杨飞
2026, 19(1): 133-142. doi: 10.37188/CO.2025-0101
摘要:

多波段红外探测器可同步获取多波段辐射信息,在目标识别、分类、测温及信息提取等方面显著优于单波段红外探测器,因而成为红外探测器核心研究方向之一。三波段大口径宽角度红外反射镜作为多波段红外探测器的关键光学元件,其性能优劣直接决定探测精度。在设计阶段,本文选用Ge、ZnS和YbF3三种材料,基于高反射膜的设计理论,通过光谱叠加法结合TFCalc软件优化获得结构合理的红外反射镜膜系。在制备阶段,采用离子源辅助沉积,通过优化沉积工艺解决了膜层脱落的问题。在光谱测试阶段,通过膜厚误差实验和YbF3工艺实验解决了样品光谱漂移的现象。测试结果表明,该红外反射镜在45°入射时,3~5 µm波段平均反射率为96.93%;8~12 µm波段平均反射率为96.54%;1.064 µm反射率为94.64%;在270 mm×270 mm口径内3~5 µm、8~12 µm波段的光谱非均匀性为4.83%。参照国标GJB 2485A-2019作为环境测试标准,所制备样品成功通过附着力测试和高低温测试,满足多波段红外探测器的使用要求。

小F数光学系统宽温域无热化设计
陈硕, 潘宇, 李泓洋, 张砚冬, 李博, 李寒霜, 顾国超, 范纪泽, 张旭
2026, 19(1): 143-150. doi: 10.37188/CO.2025-0102
摘要:

在宽温域应用场景中,传统光学系统往往难以维持稳定的成像质量,其主要原因在于常规无热化设计方法未能充分考虑玻璃材料在高温与低温下线胀系数与折射率温度系数的差异。针对这一问题,本文提出了一种面向宽温域的无热化设计方法,通过重建热像差建模过程,准确表征热像差随温度变化的非线性响应,进而筛选出在宽温域内综合热光焦度最小的玻璃材料组合,并结合镜筒材料热膨胀特性,有效抑制系统焦点漂移。设计验证中,构建了一套焦距为100 mm、F 数为2.2、视场角为 7°的光学系统。结果表明,在−30 °C至270 °C的温度范围内,该系统始终保持优异的成像性能:在全视场和全温度条件下,MTF(@56 lp/mm)均大于 0.5,弥散斑直径小于9 μm,且90%以上的能量聚焦在直径18 μm的包围圆内。上述结果充分验证了所提方法的有效性,为宽温域光学系统的无热化设计提供了有力支撑。同时,该方法具备良好的工程适应性,在复杂环境下的成像系统设计中展现出广阔的应用前景。

空间相机光学系统设计及热稳定性分析
陈力, 刘俊豪, 毕诗文, 吴北辰, 付天骄, 张星祥
2026, 19(1): 151-163. doi: 10.37188/CO.2025-0097
摘要:

离轴反射式光学系统可用于对地遥感与测绘,因此要求光学系统兼具大视场、高像质与稳定内方位元素。针对传统消像差法所得初始结构轴外像质量差、相机成像过程中存在指向热漂移等问题,本文推导了孔径光阑在次镜处、主镜和三镜沿光轴等距分布条件下三反光学系统结构像差系数,并引入主、三镜四次非球面项像差,增加优化变量,构建像质评价函数,结合远心约束条件,利用GA-SQP算法得到视场离轴下准远心的三反初始结构。进一步优化得到一款焦距为260 mm、F数为10,视场为7°×30°准远心离轴三反光学系统。其MTF在77 lp/mm处大于0.25,最大畸变为2%,最大主光线倾角为2.3°。针对该设计,采用微晶玻璃为基底,钛合金为结构材料,对系统进行有限元热分析。基于TRIAD算法,定量分析系统光轴在6.8 °C温差条件下绕相机坐标系X/Y/Z三轴旋转变化为绕X轴−1.3″,绕Y轴−11.9″,绕Z轴−0.004″,结果表明光学系统具有较高热稳定性的同时也对无控条件下在轨测绘数据误差修正具有重要意义。

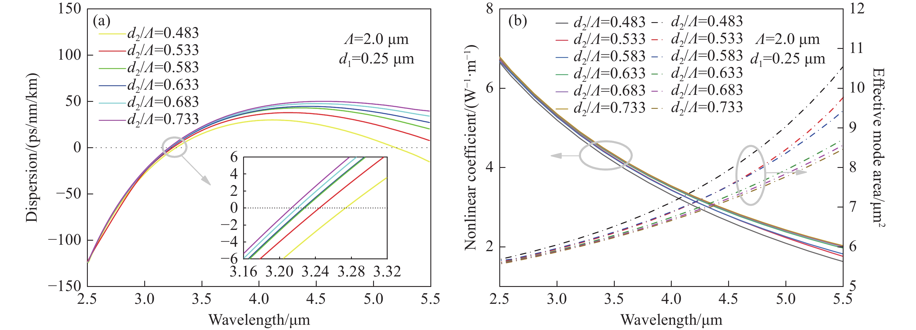
Al0.24Ga0.76As光子晶体光纤中的宽带高相干性超连续谱
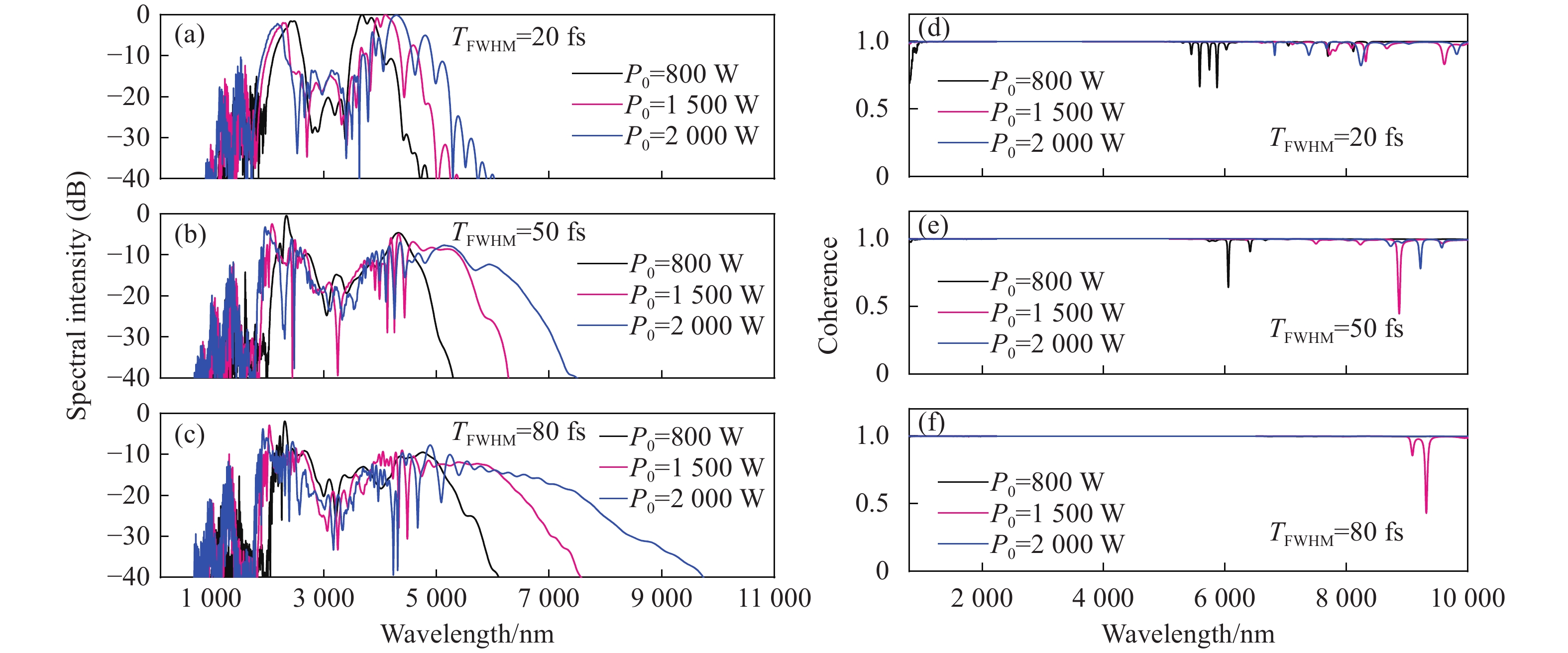
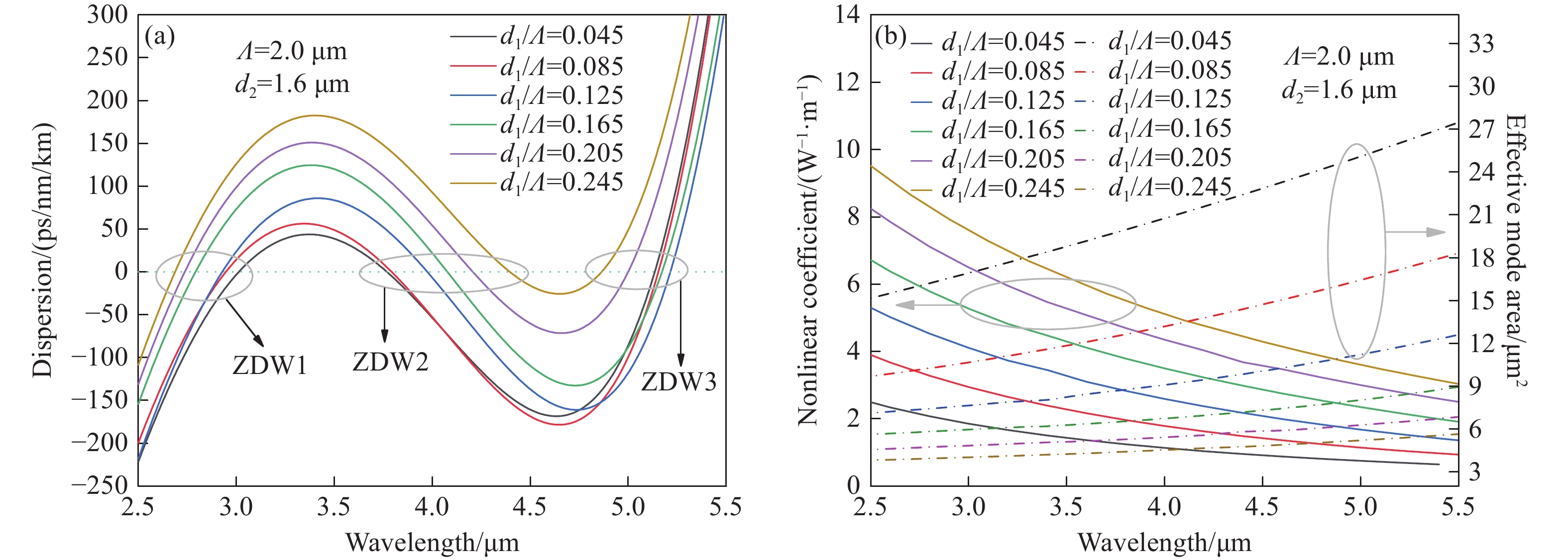
夏镛涛, 侯尚林, 冯云龙, 谢彩健, 雷景丽, 武刚, 晏祖勇
2026, 19(1): 164-178. doi: 10.37188/CO.EN-2025-0011
摘要:

本文提出一种可替代的椭圆形和圆形空气孔辅助型Al0.24Ga0.76As光子晶体光纤以产生宽带高相干性中红外超连续谱,利用有限元法对其色散、有效模场面积和非线性系数进行研究,模拟光脉冲沿光纤的演化过程,分析和评估了不同泵浦条件下的超连续谱及其相干性。结果表明:当光纤占空比d1/Λ为0.125、d2/Λ为0.583并且零色散波长为3.228 μm时,通过在3.3 μm处以峰值功率800 W、半高全宽20 fs的高斯脉冲泵浦10 mm光纤,可获得谱宽为4.852 μm的超连续谱。在反常色散区泵浦脉冲波长为4.0 μm、峰值功率为2000 W、半高全宽为80 fs时,调制不稳定性效应被明显抑制,可获得从1.1 μm扩展到8.99 μm的宽带高相干性超连续谱。在正常色散区2.8 μm处泵浦该光纤,可使部分脉冲能量转移到反常色散区,可在10 mm光纤输出端得到从0.8 μm扩展到9.8 μm的宽带高相干性超连续谱。本文在Al0.24Ga0.76As光子晶体光纤中引入了椭圆气孔,为调整超连续谱的性能增加了灵活度,用最短的光纤获得了最宽的超连续谱。

基于主成分分析和SG滤波的光腔衰荡光谱CO气体传感器
郭紫龙, 石程睿, 董媛媛, 张磊, 孙晓园, 孙静静, 周胜
2026, 19(1): 179-189. doi: 10.37188/CO.EN-2025-0032
摘要:

Savitzky-Golay (SG)滤波器采用多项式最小二乘近似来平滑数据并估计导数,被广泛用于处理含噪声数据。然而,SG滤波器在数据边界以及对于高频段的噪声抑制能力有限,导致信噪比(SNR)明显降低。为解决该问题,本文提出了一种将主成分分析法(PCA)与 SG滤波协同集成的新方法。这种方法避免了SG滤波较大窗口尺寸带来的过度平滑问题。所提出的PCA-SG滤波算法被应用于基于光腔衰荡光谱(CRDS)的CO气体传感系统。通过与移动平均滤波(MAF)、小波变换(WT)、卡尔曼滤波(KF)和SG滤波等算法进行对比,验证了PCA-SG滤波算法的性能。结果表明,与所评估的其他算法相比,该算法表现出更优异的降噪能力。衰荡信号的信噪比从11.8612 dB提升至29.0913 dB,提取的衰荡时间常数的标准差从0.037 µs降低至0.018 µs。这些结果表明,所提出的PCA-SG滤波算法有效提高了衰荡曲线数据的平滑度,证明了其可行性。

基于人工智能的高精度菌落提取与分离系统
赵旭峰, 贾志强, 陈维学, 胡鹏涛, 苏新然, 李俊霖, 葛明锋, 董文飞
2026, 19(1): 190-204. doi: 10.37188/CO.EN-2025-0025
摘要:

标准菌悬液在微生物诊断中具有重要意义。传统制备方法依赖人工操作,存在重复性差、效率低及生物安全隐患等问题。本研究提出一种融合大视野成像与人工智能技术的高精度自动化菌落提取分选系统,实现菌落智能筛查与定位。首先,开发了大视野成像系统,可采集90 mm培养皿高分辨图像,物理分辨率达13.2 μm,成像速度为13帧/秒;其次,应用人工智能技术实现菌落自动识别与定位,支持筛选直径为1.9~2.3 mm的目标菌落;接着设计三轴运动控制平台,配合路径规划算法实现菌落高效提取,采用电动移液器进行精准菌落采集;同时开发菌悬液浓度测量模块,以650 nm激光二极管为光源,实现0.01麦氏浓度(MCF)的测量精度。最终通过大肠杆菌悬液制备验证系统性能,具体为:经17小时培养后分4次提取大肠杆菌,达到系统设定目标浓度。该工作有望实现微生物样本的快速精准制备,显著缩短检测周期,减轻医务人员工作负担。

基于扩展杨氏干涉结合Vision Transformer的拼接镜共相误差检测方法
刘银岭, 姚迟, 欧阳尚韬, 万亿镕, 陈莫, 李斌
2026, 19(1): 205-218. doi: 10.37188/CO.EN-2025-0030
摘要:

由于单块镜难以达到10 m级水平,拼接镜已成为现代天文研究中不可或缺的工具。然而,为了达到单块镜的成像能力,拼接子镜之间必须保持高度共相,piston误差作为影响分段镜成像质量的关键因素,亟需进行高效、精确的检测。针对目前圆孔衍射结合双波长算法易受偏心误差干扰,传统卷积神经网络(CNN)局部感受野难以捕捉大量程误差下全局特征的问题,本文提出了一种融合扩展杨氏干涉原理与Vision Transformer(ViT)的平移误差检测新方法。通过双孔对称布局抑制偏心误差的干扰,结合589 nm和600 nm的双波长消模糊算法将检测量程扩展至±7.95 μm,并基于ViT的自注意力机制建模干涉条纹的全局特征,相较于CNN依赖局部卷积核的局限性,ViT 显著提高了对干涉图中周期性变化的灵敏度。仿真结果表明,该方法在高斯噪声(SNR≥15 dB)、泊松噪声(λ≥9 photons/pixel)及子镜间隙误差(Egap≤ 0.2)干扰下能够在[−7.95 μm, 7.95 μm]范围内实现5 nm的检测精度,同时保持95%以上的准确率,相较于互相关算法检测速度有较大提升。本研究为拼接镜误差检测提供了一种高精度、高鲁棒性的创新技术路线,为高精度天文观测提供了理论支持。

共路双波长像面数字全息远距离形貌测量
丁梦雨, 袁铭嘉, 张磊
2026, 19(1): 219-227. doi: 10.37188/CO.EN-2025-0008
摘要:

双波长像面数字全息术可实现远距离形貌测量,未来有望应用于实验先进超导托卡马克(EAST)偏滤器表面测量。照明与成像光束共路的设计适用于托卡马克装置的上部诊断通道。通过选择波长间隔为1.02 nm的两个波长,系统测量范围扩展到276.87 μm,可测量高度变化138.44 μm的表面。实验结果表明,系统对标称80 μm的台阶测量误差为7.00%,最小可测高度变化为10 μm的表面。对系统远距离的测量能力进行了验证,并对托卡马克装置拆除的偏滤器进行离线测量。结果证实,该系统有望用于偏滤器的形貌测量。

基于相移轮廓术的三维形貌与颜色纹理的同步捕获
王素珍, 仵苇, 季怡心, 张龙祥, 王建华
2026, 19(1): 228-238. doi: 10.37188/CO.EN-2025-0014
摘要:

近年来,文化遗产保护、医疗等多个领域对物体三维(3D)形貌与颜色纹理同步获取的需求持续攀升。为响应当前技术需求,本文提出了一种三维形貌与颜色纹理同步捕获的新方法,首先构建了相机曝光时间与灰度值关联的线性模型;随后通过曝光时间校准,使投影红绿蓝(RGB)光与单色相机捕获的白光灰度值趋于一致;接着向物体投射三组彩色条纹,以筛选适用于3D重建的最优像素;同时投射三张纯色图像,通过图像合成获得颜色纹理。实验结果表明,该方法能够有效实现三维形貌与颜色纹理的同步获取,且测量速度快,精度高,同时使用黑白相机避免了彩色物体三维重建过程中常见的颜色串扰等问题的干扰。

可见/近红外多波段激光滤光膜的研制
辛亚武, 彭永超, 张宇翔, 曹兴宇, 韩阳, 郭洪玲, 熊仕富, 胡章贵
2026, 19(1): 239-249. doi: 10.37188/CO.EN-2025-0031
摘要:

滤光片作为光电探测系统中的关键部件,能够简化光学系统并提高探测效率。根据使用需求,需要设计并制备出一种多达5个波段的可见/近红外滤光膜,同时满足2个波段高反射和3个波段高透过的要求。因此,本文对膜系设计、薄膜制备工艺以及膜层厚度的控制精度进行了系统研究。在本工作中,将短波通膜系与长波通膜系进行叠加,并调整膜系的周期数和匹配系数,以满足截止波段的要求。此外,运用Smith方法优化带通膜系透过波段,从而完成可见/近红外多波段激光滤光膜的设计。在制备过程中,结合膜层的灵敏度,通过反演分析各光学监控片所监控的膜层。对监控过程中光信号较弱的光学监控方案进行模拟和修正,并匹配光信号较强的监控波长,进而提高了膜层厚度的控制精度以及在指定波长范围内的透过率。最终,制备的滤光膜实际物理厚度为9.66 μm,与理论设计厚度的误差小于0.4%,且3个透过波段的透过率均超过99%。在455~500 nm和910~1000 nm波段的平均透过率分别为0.45%和0.16%。