留言板

尊敬的读者、作者、审稿人, 关于本刊的投稿、审稿、编辑和出版的任何问题, 您可以本页添加留言。我们将尽快给您答复。谢谢您的支持!

姓名
邮箱
手机号码
标题
留言内容
验证码

三波段大口径宽角度红外反射镜的研制

张静 王鹤 付秀华 潘永刚 林兆文 魏乃光 李冬旭 刘泽钰 杨飞

张静, 王鹤, 付秀华, 潘永刚, 林兆文, 魏乃光, 李冬旭, 刘泽钰, 杨飞. 三波段大口径宽角度红外反射镜的研制[J]. 中国光学(中英文), 2026, 19(1): 133-142. doi: 10.37188/CO.2025-0101
引用本文: 张静, 王鹤, 付秀华, 潘永刚, 林兆文, 魏乃光, 李冬旭, 刘泽钰, 杨飞. 三波段大口径宽角度红外反射镜的研制[J]. 中国光学(中英文), 2026, 19(1): 133-142. doi: 10.37188/CO.2025-0101
ZHANG Jing, WANG He, FU Xiu-hua, PAN Yong-gang, LIN Zhao-wen, WEI Nai-guang, LI Dong-xu, LIU Ze-yu, YANG Fei. Development of a triple-band infrared reflector with large aperture and wide angle[J]. Chinese Optics, 2026, 19(1): 133-142. doi: 10.37188/CO.2025-0101
Citation: ZHANG Jing, WANG He, FU Xiu-hua, PAN Yong-gang, LIN Zhao-wen, WEI Nai-guang, LI Dong-xu, LIU Ze-yu, YANG Fei. Development of a triple-band infrared reflector with large aperture and wide angle[J]. Chinese Optics, 2026, 19(1): 133-142. doi: 10.37188/CO.2025-0101

三波段大口径宽角度红外反射镜的研制

cstr: 32171.14.CO.2025-0101
基金项目: 中山市引进创新团队项目(No. CXTD2023008);德州市重大科技创新工程项目(高分辨率红外热成像用CVD ZnSe制备关键技术研究);吉林省科技发展计划项目资助(No. 20230101008JC)
详细信息
    作者简介:

    张 静(1984—),女,吉林长春人,博士,副教授,硕士生导师,2015年于长春理工大学获得博士学位,主要从事光学薄膜、光学工艺等方面的研究。E-mail:465589960@qq.com

    王 鹤(1999—),男,河南新乡人,长春理工大学硕士研究生,主要从事光学薄膜方面的研究。E-mail:1658707501@qq.com

  • 中图分类号: O484

Development of a triple-band infrared reflector with large aperture and wide angle

Funds: Supported by Introducing Innovative New Team Projects in Zhongshan City (No. CXTD2023008); Dezhou City Major Scientific and Technological Innovation Project (Research on Key Preparation Technologies of CVD ZnSe for High-Resolution Infrared Thermal Imaging); Jilin Provincial Science and Technology Development Program Project Funding (No. 20230101008JC)
More Information
  • 摘要:

    多波段红外探测器可同步获取多波段辐射信息,在目标识别、分类、测温及信息提取等方面显著优于单波段红外探测器,因而成为红外探测器核心研究方向之一。三波段大口径宽角度红外反射镜作为多波段红外探测器的关键光学元件,其性能优劣直接决定探测精度。在设计阶段,本文选用Ge、ZnS和YbF3三种材料,基于高反射膜的设计理论,通过光谱叠加法结合TFCalc软件优化获得结构合理的红外反射镜膜系。在制备阶段,采用离子源辅助沉积,通过优化沉积工艺解决了膜层脱落的问题。在光谱测试阶段,通过膜厚误差实验和YbF3工艺实验解决了样品光谱漂移的现象。测试结果表明,该红外反射镜在45°入射时,3~5 µm波段平均反射率为96.93%;8~12 µm波段平均反射率为96.54%;1.064 µm反射率为94.64%;在270 mm×270 mm口径内3~5 µm、8~12 µm波段的光谱非均匀性为4.83%。参照国标GJB 2485A-2019作为环境测试标准,所制备样品成功通过附着力测试和高低温测试,满足多波段红外探测器的使用要求。

     

  • 图 1  膜系结构示意图

    Figure 1.  Schematic diagram of film system structure

    图 2  膜层结构示意图

    Figure 2.  Schematic diagram of film layer structure

    图 3  红外反射镜理论设计图

    Figure 3.  Theoretical design diagram of infrared reflector

    图 4  基板镀膜前和脱膜后光谱对比

    Figure 4.  Comparison of spectral before coating and after coating removal of the substrate

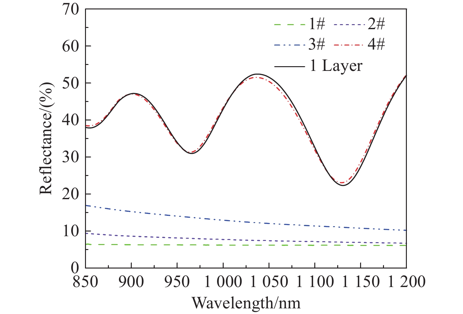
    图 5  拉膜后各样品光谱与第一层设计光谱对比

    Figure 5.  Comparison of spectra for each sample after pulling film and the designed spectrum of the first layer

    图 6  拉膜后样品光谱与前32层设计光谱对比图

    Figure 6.  Comparison of spectra for sample after pulling film and the designed spectrum of the first 32 layers

    图 7  设计与测试光谱对比

    Figure 7.  Comparison of the design spectrum and the test spectrum

    图 8  水煮实验前后1.064 μm光谱对比

    Figure 8.  Comparison of 1.064 μm spectra before and after boiling treatment

    图 9  Ge-ZnS膜层设计与测试光谱对比

    Figure 9.  Comparison of the design and test spectra for Ge-ZnS film

    图 10  ZnS-YbF3膜层设计与测试对比

    Figure 10.  Comparison of the design and test spectra for ZnS-YbF3 film

    图 11  Ge-ZnS水煮实验前后光谱对比

    Figure 11.  Comparison of spectra before and after boiling experiment for Ge-ZnS film

    图 12  ZnS-YbF3水煮实验前后光谱对比

    Figure 12.  Comparison of spectra before and after boiling experiment for ZnS-YbF3 film

    图 13  YbF3膜层水煮实验前后光谱

    Figure 13.  Comparison of spectra before and after boiling experiment for YbF3 film

    图 14  红外反射镜样品测试与设计对比图

    Figure 14.  Comparison of infrared mirror sample for testing and design

    图 15  1.064 μm水煮实验前后光谱对比图

    Figure 15.  Comparison of the 1.064 μm spectrum before and after boiling experiment

    图 16  公件夹具示意图

    Figure 16.  Schematic diagram of workpiece fixture

    图 17  测试片反射率光谱图

    Figure 17.  Reflectance spectral of test sample

    图 18  环境测试后样品图

    Figure 18.  Sample image after environmental testing

    表  1  红外反射镜的技术指标

    Table  1.   Technical specifications of infrared mirror

    参数规格
    入射角30°~60°30°~60°30°~60°
    波长范围1.064 μm3~5 μm8~12 μm
    反射率>93%>93%>93%
    非均匀性-5%5%
    下载: 导出CSV

    表  2  Ge、ZnS和YbF3沉积工艺参数

    Table  2.   Deposition process parameters of Ge, ZnS and YbF3

    材料 沉积速率
    /(nm∙s−1)
    本底真空
    /(×10−4Pa)
    转速
    /(rad∙min−1)
    沉积温度
    /°C
    Ge 0.4 5 25 150
    ZnS 1.5 5 25 150
    YbF3 0.5 5 25 150
    下载: 导出CSV

    表  3  第一层离子源工艺参数表

    Table  3.   Process parameters of first-layer ion source

    样品编号膜层阳极电压/V离子束电流/A
    1#Ge800.4
    2#1000.5
    3#1200.4
    4#1500.5
    下载: 导出CSV

    表  4  YbF3材料离子源工艺参数

    Table  4.   Process parameters of ion source for YbF3 material

    样品编号材料阳极电压/V离子束电流/A
    1#YbF31001
    2#1502
    3#2003
    下载: 导出CSV
  • [1] 唐利孬, 聂志强, 任丽, 等. 激光/可见光双波段复合光电制导组件共口径光学系统设计[J]. 光子学报, 2025, 54(6): 0622001. doi: 10.3788/gzxb20255406.0622001

    TANG L N, NIE Z Q, REN L, et al. Optical design of common aperture laser/visible light dual-band composite photoelectric guidance component[J]. Acta Photonica Sinica, 2025, 54(6): 0622001. (in Chinese). doi: 10.3788/gzxb20255406.0622001
    [2] 耿海涛, 虞林瑶, 张葆. 大变倍比制冷型红外双波段变焦光学系统设计[J]. 中国光学(中英文), 2024, 17(6): 1431-1441. doi: 10.37188/CO.2024-0007

    GENG H T, YU L Y, ZHANG B. Design of cooled infrared dual-band zoom optical system with large-magnification-ratio[J]. Chinese Optics, 2024, 17(6): 1431-1441. (in Chinese). doi: 10.37188/CO.2024-0007
    [3] 张璐, 李冬冰, 付志凯. 多谱段红外探测器组件的光学工程化设计[J]. 红外, 2025, 46(4): 20-26.

    ZHANG L, LI D B, FU ZH K. Optical engineering design of multispectral infrared detector assembly[J]. Infrared, 2025, 46(4): 20-26. (in Chinese).
    [4] 徐旭. 大口径主镜薄膜制备及其特性研究[D]. 成都: 中国科学院大学(中国科学院光电技术研究所), 2018.

    XU X. Study on preparation and characterization of optical coatings for large-aperture primary mirrors[D]. Chengdu: University of Chinese Academy of Sciences (Institute of Optics and Electronics, Chinese Academy of Sciences), 2018. (in Chinese).
    [5] FIELD E S, KLETECKA D E. Impact of contamination and aging effects on the long-term laser damage resistance of SiO2/HfO2/TiO2 high reflection coatings for 1054 nm[J]. Optical Engineering, 2019, 58(10): 105105.
    [6] 游道明, 谭满清, 郭文涛, 等. 光纤光栅外腔激光器光学薄膜的研制[J]. 中国光学(中英文), 2023, 16(2): 447-457. doi: 10.37188/CO.EN.2022-0010

    YOU D M, TAN M Q, GUO W T, et al. Design and fabrication of an optical film for fiber bragg grating external cavity diode lasers[J]. Chinese Optics, 2023, 16(2): 447-457. (in Chinese). doi: 10.37188/CO.EN.2022-0010
    [7] 冯琛, 许卫东, 刘珩, 等. 红外-激光兼容一维光子晶体伪装性能研究[J]. 激光与光电子学进展, 2026, 63(7): 2.

    FENG C, XU W D, LIU H, et al. Research on infrared-laser compatible stealth performance of one-dimensional photonic crystals[J]. Laser & Optoelectronics Progress, 2026, 63(7): 2. (in Chinese).
    [8] HAO K Z, WANG X, ZHOU L, et al. Design of one-dimensional composite photonic crystal with high infrared reflectivity and low microwave reflectivity[J]. Optik, 2020, 216: 164794. doi: 10.1016/j.ijleo.2020.164794
    [9] 王雅颖, 鲍学聪, 王长昊, 等. Ge/ZnSe一维光子晶体设计及其可见/红外反射光谱调控[J]. 有色金属工程, 2024, 14(11): 35-40, 48.

    WANG Y Y, BAO X C, WANG CH H, et al. Design of Ge/ZnSe one-dimensional photonic crystal and visible/infrared reflectance spectroscopy control[J]. Nonferrous Metals Engineering, 2024, 14(11): 35-40, 48. (in Chinese).
    [10] 唐晋发, 顾培夫, 刘旭, 等. 现代光学薄膜技术[M]. 杭州: 浙江大学出版社, 2006: 107-112.

    TANG J F, GU P F, LIU X, et al. Modern Optical Thin Film Technology[M]. Hangzhou: Zhejiang University Press, 2006: 107-112. (in Chinese).
    [11] 孟阳, 陶海军, 刘华松, 等. 厚度对ZnS薄膜光学特性与力学特性的影响[J]. 红外与激光工程, 2025, 54(3): 20240515. doi: 10.3788/IRLA20240515

    MENG Y, TAO H J, LIU H S, et al. Effect of thickness on the optical and mechanical properties of ZnS thin films[J]. Infrared and Laser Engineering, 2025, 54(3): 20240515. (in Chinese). doi: 10.3788/IRLA20240515
    [12] 赵广宇, 徐莉, 范杰, 等. 衬底温度对电子束沉积ZnSe薄膜性能影响研究[J]. 光子学报, 2021, 50(6): 0631001.

    ZHAO G Y, XU L, FAN J, et al. Influence of substrate temperature on properties of ZnSe thin films deposited by electron-beam evaporation[J]. Acta Photonica Sinica, 2021, 50(6): 0631001. (in Chinese).
    [13] 马秋静, 段微波, 于天燕, 等. 组分掺杂对YbF3薄膜材料光学和理化特性的影响及其在红外光学薄膜元件制备中的应用[J]. 红外与毫米波学报, 2025, 44(1): 86-96.

    MA Q J, DUAN W B, YU T Y, et al. The effect of doping on the optical and physicochemical properties of YbF3 and its application in infrared coatings[J]. Journal of Infrared and Millimeter Waves, 2025, 44(1): 86-96. (in Chinese).
    [14] 付秀华, 刘瑞奇, 朱忠尧, 等. 大角度双波段探测成像分光器件的研制[J]. 中国激光, 2023, 50(14): 1403101. doi: 10.3788/CJL221490

    FU X H, LIU R Q, ZHU ZH Y, et al. Fabrication of large-angle dual-band detection imaging splitter[J]. Chinese Journal of Lasers, 2023, 50(14): 1403101. (in Chinese). doi: 10.3788/CJL221490
    [15] 师云云, 徐均琪, 刘政, 等. 多波段大口径全介质高反膜的设计与制备[J]. 表面技术, 2022, 51(4): 335-341.

    SHI Y Y, XU J Q, LIU ZH, et al. Design and preparation of large aperture high reflective films composed entirely of dielectric materials for multi-band application[J]. Surface Technology, 2022, 51(4): 335-341. (in Chinese).
    [16] 付秀华, 任开发, 王奔, 等. 用于地表温度探测10μm~11μm带通滤波器的研制[J]. 应用光学, 2024, 45(6): 1138-1146. doi: 10.5768/JAO202445.0601005

    FU X H, REN K F, WANG B, et al. Development of 10 μm~11 μm bandpass filter for surface temperature detection[J]. Journal of Applied Optics, 2024, 45(6): 1138-1146. (in Chinese). doi: 10.5768/JAO202445.0601005
    [17] 肖定全, 朱建国, 朱基亮, 等. 薄膜物理与器件[M]. 北京: 国防工业出版社, 2011: 196-198.

    XIAO D Q, ZHU J G, ZHU J L, et al. Thin Film Physics and Devices[M]. Beijing: National Defense Industry Press, 2011: 196-198. (in Chinese).
    [18] FU X H, FU G Y, DONG S T, et al. Development of low-stress double-pass filter device for methane and ethane flammable gas detection system[J]. Applied Sciences, 2024, 14(21): 9902. doi: 10.3390/app14219902
  • 加载中
图(18) / 表(4)
计量
  • 文章访问数:  297
  • HTML全文浏览量:  242
  • PDF下载量:  25
  • 被引次数: 0
出版历程
  • 收稿日期:  2025-07-28
  • 修回日期:  2025-08-29
  • 网络出版日期:  2025-10-11

目录

    /

    返回文章
    返回