Parameter optimization of Gaussian unstable resonator and research on laser output characteristic
-
摘要:
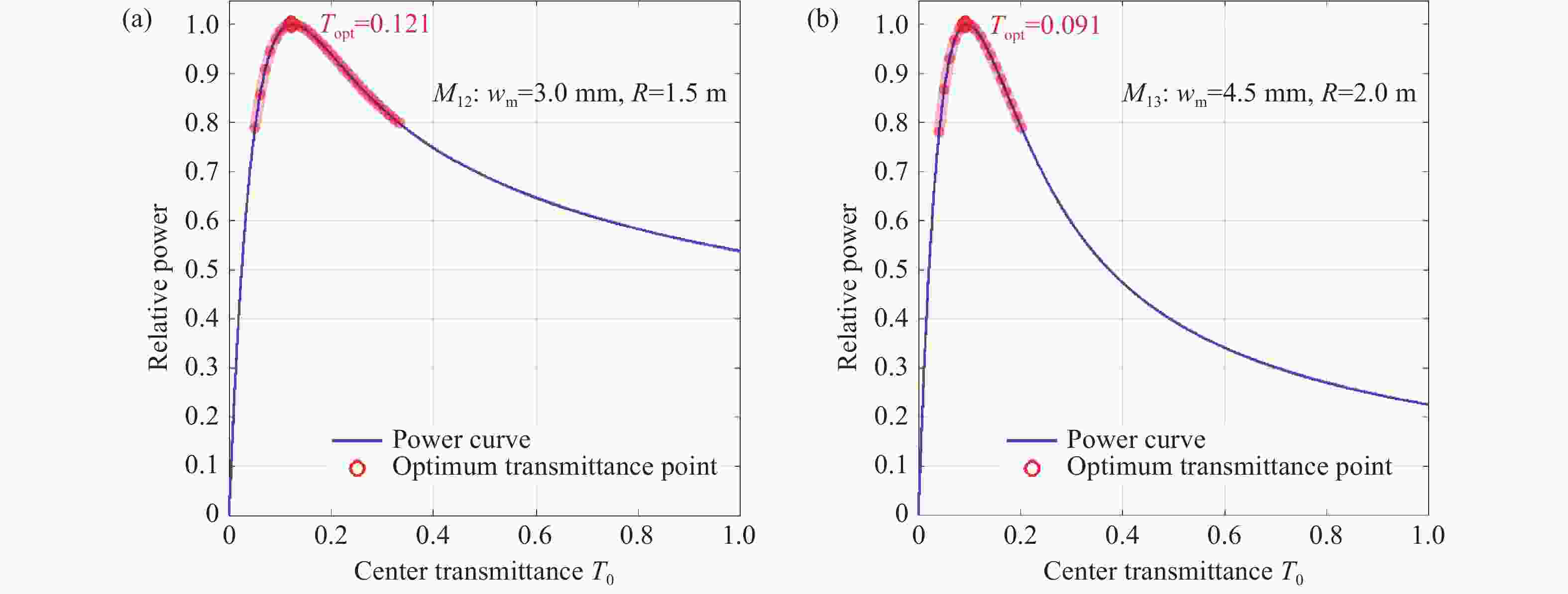
为实现LD侧面泵浦固体激光器的高功率、高光束质量激光输出,研究了高斯镜非稳腔激光器。采用边界有限元法分析了谐振腔腔长、高斯镜膜斑半径及曲率半径参数变化对于高阶模的抑制效果。利用模式损耗差泛函理论分析了高斯镜膜斑半径模式匹配范围及最优参数区间。通过建立输出功率模型,讨论了补偿损耗功率的最佳中心透过率理论值。基于理论仿真结果对激光器结构参数进行优化,分别测量了在不同高斯输出镜下输出光束的模式分布及光束质量。在谐振腔长为400 mm、泵浦电流为7.3 A、重复频率为100 Hz的实验条件下,采用膜斑半径为3 mm、曲率半径为1.5 m、中心透过率为17%的高斯输出镜,获得光束质量
M x 2=2.09、M y 2=2.20的1064 nm高光束质量激光输出。Abstract:To achieve high-power and high-beam-quality laser output from a laser-diode (LD) side-pumped solid-state laser, we investigate an unstable resonator incorporating a Gaussian output mirror. The boundary finite element method was utilized to analyze the effects of the resonant cavity length, Gaussian mirror membrane spot radius, and curvature radius on high-order mode suppression. The functional theory of mode loss difference was applied to determine the mode-matching range and the optimal parameters for the spot radius. Furthermore, an output power model was established to derive the theoretical optimal central transmittance for compensating loss. Based on the theoretical and simulation results, the resonator parameters were optimized, and the output beam’s mode distribution and quality were experimentally characterized using different Gaussian mirrors. Under the operational conditions of a 400 mm resonator length, 7.3 A pump current, and 100 Hz repetition frequency, the implementation of a Gaussian mirror with a 3 mm spot radius, 1.5 m curvature radius, and 17% central transmittance produced a high-quality
1064 nm laser output with beam quality factors ofM x 2=2.09 andM y 2=2.20.-
Key words:
- solid-state laser /
- unstable resonator /
- mode distribution /
- beam quality /
- transmittance
-
表 1 输出耦合镜
${M_{1i}}$ 相关参数Table 1. Parameters of the output coupling mirror
${M_{1i}}$ Parameter ${M_{{\text{11}}}}$ ${M_{{\text{12}}}}$ ${M_{{\text{13}}}}$ ${T_{\text{0}}}$ 16% 17% 18% ${w_m}$ 5 mm 3 mm 4.5 mm $R$ $\infty $ 1.5 m 2 m -
[1] QIAO SH D, HE Y, SUN H Y, et al. Ultra-highly sensitive dual gases detection based on photoacoustic spectroscopy by exploiting a long-wave, high-power, wide-tunable, single-longitudinal-mode solid-state laser[J]. Light: Science & Applications, 2024, 13(1): 100. [2] LIANG M ZH, MINASSIAN A, DAMZEN M J. High-energy acousto-optic Q-switched alexandrite laser with wavelength tunable fundamental and UV second harmonic generation[J]. Optics Express, 2023, 31(25): 42428-42438. doi: 10.1364/OE.505385 [3] SAWRUK N W, BURNS P M, EDWARDS R E, et al. ICESat-2 laser Nd: YVO4 amplifier[J]. Proceedings of SPIE, 2018, 10513: 105130X. [4] SINGH N, LORENZEN J, SINOBAD M, et al. Silicon photonics-based high-energy passively Q-switched laser[J]. Nature Photonics, 2024, 18(5): 485-491. doi: 10.1038/s41566-024-01388-0 [5] 宋骁钊, 朱强, 康惠, 等. 2μm固体激光器多维度调控研究进展[J]. 发光学报, 2025, 46(8): 1468-1484.SONG X ZH, ZHU Q, KANG H, et al. Research Progress on Multi-dimensional Manipulation of 2 μm Solid-state Lasers[J]. Chinese Journal of Luminescence, 2025, 46(8): 1468-1484. (in Chinese). [6] 王帅坤, 仲莉, 林楠, 等. SESAM锁模全保偏皮秒脉冲光纤激光器输出特性[J]. 发光学报, 2024, 45(1): 149-156.WANG SH K, ZHONG L, LIN N, et al. Output Characteristics of SESAM Mode-locked All-polarization-maintaining (PM) Picosecond Fiber Laser[J]. Chinese Journal of Luminescence, 2024, 45(1): 149-156. (in Chinese). [7] 尚佩瑾. 固体激光器热效应及应用技术研究[D]. 西安: 西安电子科技大学, 2023.SHANG P J. Study on thermal effect and applied technology of solid-state laser[D]. Xi’an: Xidian University, 2023. (in Chinese). [8] PUSHKIN A V, SLOVINSKII I A, POTEMKIN F V. Megawatt-level repetitively pulsed erbium 3-µm laser with strong thermal lens compensation[J]. JETP Letters, 2020, 112(8): 478-484. doi: 10.1134/S0021364020200023 [9] 闫钰锋, 于洋, 白素平, 等. 板条激光器光束质量控制技术研究进展[J]. 中国光学, 2019, 12(4): 767-782. doi: 10.3788/co.20191204.0767YAN Y F, YU Y, BAI S P, et al. Progress on beam quality control technology of slab lasers[J]. Chinese Optics, 2019, 12(4): 767-782. (in Chinese). doi: 10.3788/co.20191204.0767 [10] 阮鹏, 汪玉海, 潘其坤. 内腔式非稳腔DF激光光束质量研究[J]. 中国光学(中英文), 2024, 17(5): 1068-1074. doi: 10.37188/CO.2023-0210RUAN P, WANG Y H, PAN Q K. Study on beam quality of DF laser with inner cavity unstable resonator[J]. Chinese Optics, 2024, 17(5): 1068-1074. (in Chinese). doi: 10.37188/CO.2023-0210 [11] 蒙裴贝, 史文宗, 蒋硕, 等. 高斯镜参数对LD泵浦Nd: YAG激光器的影响[J]. 红外与激光工程, 2021, 50(4): 20200127. doi: 10.3788/IRLA20200127MENG P B, SHI W Z, JIANG SH, et al. Influence of Gaussian mirror parameters on LD-pumped Nd: YAG laser[J]. Infrared and Laser Engineering, 2021, 50(4): 20200127. (in Chinese). doi: 10.3788/IRLA20200127 [12] 岱钦, 张善春, 杨帆, 等. 高光束质量高斯非稳腔固体激光器研究[J]. 中国光学, 2019, 12(3): 559-566. doi: 10.3788/co.20191203.0559DAI Q, ZHANG SH CH, YANG F, et al. Research on the high beam quality of Gaussian unstable resonators in solid state lasers[J]. Chinese Optics, 2019, 12(3): 559-566. (in Chinese). doi: 10.3788/co.20191203.0559 [13] ZHOU Y L, ZHANG X, YE ZH B, et al. Dynamic compensation method of thermal lens effect in unstable resonators with Gaussian reflectivity mirror[J]. Optics & Laser Technology, 2025, 180: 111595. [14] 金宇. 脉冲激光器高斯镜谐振腔的近场分布特性研究[D]. 哈尔滨: 哈尔滨工业大学, 2018.JIN Y. Study on near fiel distribution characteristics of Gaussian mirror resonator in pulsed laser[D]. Harbin: Harbin Institute of Technology, 2018. (in Chinese). [15] 钟正根. 高斯变反射率输出镜的激光谐振腔及其光束质量[D]. 重庆: 重庆师范大学, 2008.ZHONG ZH G. The laser resonators with Gaussian gradual reflectivity output mirror and it’s the beam quality[D]. Chongqing: Chongqing Normal University, 2008. (in Chinese). [16] 廉欣唯, 付时尧, 王庆, 等. 利用衍射传输矩阵分析激光介质热效应对激光模式的影响[J]. 光学学报, 2025, 45(1): 0114001. doi: 10.3788/AOS241426LIAN X W, FU SH Y, WANG Q, et al. Influence of thermal effect on laser mode based on diffraction transmission matrix[J]. Acta Optica Sinica, 2025, 45(1): 0114001. (in Chinese). doi: 10.3788/AOS241426 [17] 范泛, 杨克成, 张波, 等. 高斯镜平凸非稳腔本征模场的有限元数值计算[J]. 激光技术, 2007, 31(2): 192-195.FAN F, YANG K CH, ZHANG B, et al. Numerical calculation of mode-fields of the spherical plano-convex unstable resonator with Gaussian reflectivity mirror by means of the finite element method[J]. Laser Technology, 2007, 31(2): 192-195. (in Chinese). -
下载:





