留言板

尊敬的读者、作者、审稿人, 关于本刊的投稿、审稿、编辑和出版的任何问题, 您可以本页添加留言。我们将尽快给您答复。谢谢您的支持!

姓名
邮箱
手机号码
标题
留言内容
验证码

2025年  18卷  第5期

综述
光学系统偏振特性影响抑制方法综述
罗敬, 陈兴达, 吕凝睿, 佟雅楠, 李静怡, 张晓辉, 董吉洪
2025, 18(5): 979-1015. doi: 10.37188/CO.2025-0066
摘要:

光学系统的偏振特性会改变入射光的偏振态,从而对成像质量、探测精度等产生影响。对于望远镜、光刻物镜等光学仪器,偏振特性是决定系统性能的重要因素之一。因此,抑制光学系统偏振特性的不利影响对于实现高性能现代光学系统具有重要意义。本文总结了光学系统偏振特性影响抑制方法的研究现状,并将已有方法归纳为三类:偏振定标、偏振补偿和低偏振优化设计。接下来,介绍了上述3类方法的基本原理,并结合应用实例对各种方法进行了分类与讨论。最后,分析了三种方法的联系及其相互之间的协同应用,并对光学系统偏振特性影响抑制方法的未来发展进行了讨论与展望。

原创文章
利用级联超构表面同时测量径向角位移和纵向线位移
张振宇, 张伟, 刘睿, 张婧英, 李文昊
2025, 18(5): 1016-1026. doi: 10.37188/CO.2025-0033
摘要:

为了解决现有超构表面位移测量技术无法同时测量多个物理量的问题,本文设计了一种超构表面级联结构,可用于同时测量径向角位移和纵向线位移。首先,根据级联超构表面对圆偏振光的联合相位调制阐述了位移测量的工作原理。接着,利用琼斯传输矩阵分析了相位延迟携带的位移信息,推导了角位移与线位移的数学表征。然后,以设计目标作为约束条件优化单元结构参数,构建超构表面模型。最后,采用时域有限差分法对超构表面结构进行模拟,验证方法可行性并分析器件测量性能。结果表明,在633 nm的工作波长下,角位移灵敏度为0.9716,理论分辨率为34.27 μrad,线位移灵敏度为0.0041,理论分辨率为8.12 nm。该方法提高了超构表面位移测量技术的测量自由度,并有望进一步扩展到六维,以此实现对待测目标的完全姿态确定。

Lyot-Sagnac与Fabry-Pérot级联增敏的光纤温度传感器
张国生, 陈宇雷, 柴国强, 韩建宁
2025, 18(5): 1027-1035. doi: 10.37188/CO.2025-0068
摘要:

为了有效提高检测灵敏度和实用性,本文提出了一种基于游标效应增敏的Lyot-Sagnac传感结构与Fabry-Pérot干涉仪(FPI)级联的光纤温度传感器。其中,Lyot-Sagnac传感结构是通过90°旋转熔接不同长度保偏光纤(PMF)制作而成的,FPI是利用空芯光子晶体光纤作为F-P腔制作的。理论分析结果表明,通过90°旋转熔接方法制作的Lyot-Sagnac传感结构输出光谱包络良好,与FPI级联利用游标效应能够显著提高传感器温度检测灵敏度。实验结果表明,级联传感器分别以Lyot-Sagnac传感结构中不同长度的PMF作为传感部位时,温度检测灵敏度为12.56 nm/°C和 92.77 nm/°C。相比于单独的Lyot-Sagnac干涉结构,本文提出的传感器灵敏度提升了约57倍。此外,在同一测量带宽下,PMF1模式的测量范围是PMF2模式的9.3倍。因此,相较于传统游标效应光纤温度传感器,本文提出的双响应模式温度传感器不仅具有良好的检测灵敏度,而且利用同一光谱检测设备可有效适配不同检测范围与灵敏度需求的应用场景,为性能可调式光纤温度传感器的研发提供了一种新思路。

Bi2O3/Bi2S3异质结材料的制备及其光电探测性能研究
方向明, 张荣科, 孙宇, 武韦羽, 朱建华, 游秀芬, 高世勇
2025, 18(5): 1036-1043. doi: 10.37188/CO.2024-0218
摘要:

采用热聚法结合室温溶液法制备了Bi2O3/Bi2S3异质结复合材料,并对其微观形貌、晶体结构和元素组成等进行了表征。结果表明Bi2O3/Bi2S3异质结复合材料整体呈现为块状形貌且有孔洞存在,表面相对粗糙。基于所制备的Bi2O3/Bi2S3异质结复合材料,构筑了光电探测器。在无外加偏压条件下,Bi2O3/Bi2S3探测器暴露在紫外光下的最大光电流(0.32 μA)和响应速度(65.65/80.56 ms)相比Bi2O3探测器均得到了明显增强。此外,该器件可将Bi2O3的探测波段从紫外拓宽至可见光,并且在可见光波段也具有快速稳定的自驱动探测能力。这主要是由于Bi2O3和窄带隙Bi2S3半导体成功耦合,形成了II型能带结构的异质结复合材料。值得注意的是,连续开/关蓝光100次的光电探测性能测试结果表明,Bi2O3/Bi2S3探测器具有良好的循环稳定性。

生物荧光系统中多通道负滤光膜的研制
齐浩迪, 付秀华, 潘永刚, 石澎, 王奔, 林兆文, 董所涛, 赵宝亮, 李爽
2025, 18(5): 1044-1054. doi: 10.37188/CO.2024-0144
摘要:

随着生物荧光技术的迅速发展,对信号传输的精度要求也越来越高。滤光膜作为系统分光的核心器件,其光谱特性直接影响系统的传输精度。本文选用Nb2O5与SiO2作为高低折射率材料,利用高斯变迹函数结合Optilayer膜系软件对多通道负滤光膜进行膜系优化设计。采用电感耦合磁控溅射沉积技术,在D263T基板上研制多通道负滤光膜。通过对膜层敏感度的反演分析,解决了膜厚控制误差对光谱偏移及通带透过率降低的问题。研究了工艺参数对膜层粗糙度的影响因素,通过调节电感耦合等离子源(ICP)功率有效改善膜层表面粗糙度。所研制的多通道负滤光膜在45°入射时,中心波长576 nm、639 nm、690 nm反射带半宽度分别为5 nm、6 nm和7 nm,平均反射率约为98%。透射区545~562 nm,597~624 nm,655~675 nm和708~755 nm范围内,平均透射率达到92%。通过耐环境测试与光谱稳定性测试可知其满足生物荧光系统中多通道负滤光膜的使用要求。

流动相单分子免疫检测系统的设计
胡鹏涛, 高若谦, 葛明锋, 董文飞, 李力, 苏新然
2025, 18(5): 1055-1065. doi: 10.37188/CO.2025-0045
摘要:

为实现肿瘤标志物的早期诊断,本文设计了一种适用于流动相样本的单分子免疫检测系统,并对其光学荧光成像平台及图像检测计数算法进行了研究。首先,为满足低浓度、高通量样本的即时检测需求,提出了一种基于流动相的单分子免疫检测方法。其次,结合微流控芯片的规格要求,设计了一套光学荧光成像检测平台,通过滤光和分光元件的合理配置,利用多模块集成实现荧光样本的高分辨率成像。最后,在离焦粒子的图像检测计数算法的基础上,优化了特征匹配方法,以高效处理非焦面荧光粒子信号。实验结果表明,本系统在单分子免疫标志物样本检测中的下限可达到0.001 pg/mL,在0.001~1 pg/mL的理论检测范围内,变异系数均小于10%,可在一小时内完成最多十份样本的检测。本系统满足了单分子免疫检测的稳定性、高灵敏度和高通量检测需求,在癌症早期筛查领域具有重要的应用前景。

557.7 nm波段星载探测风场的多普勒非对称差分干涉仪杂散光分析与抑制
刘子维, 江伦, 贺欣桐, 王若晴
2025, 18(5): 1066-1075. doi: 10.37188/CO.2025-0060
摘要:

由于大气背景辐射对多普勒非对称差分(DASH)干涉仪风场探测成像质量会产生影响,本文对其进行研究并设计杂散光抑制结构。基于轨道参数和观测几何,分析不同高度下大气背景辐射对系统信噪比(SNR)影响。随后,结合系统参数和信噪比变化规律设计遮光罩,并通过点源透过率(PST)评估抑制效果。结果表明,随着高度降低,大气背景辐射逐渐增强,从而导致信噪比逐渐下降。从PST曲线可知,系统视场内PST保持稳定,遮光罩未影响对目标光线的探测;视场外PST随离轴角增加而降低,在杂散光抑制角1.07°附近降至10−8以下,该设计满足系统对大气背景辐射的抑制要求。

动态扫描场景下GM-APD激光雷达点云高精度配准方法研究
钟国舜, 刘秋佐, 李萌, 彭涛, 孙剑峰, 刘建伟
2025, 18(5): 1076-1085. doi: 10.37188/CO.2025-0073
摘要:

本研究针对盖革雪崩光电二极管(Geiger-mode avalanche photodiode,GM-APD)激光雷达在动态扫描场景下相邻帧点云重叠率低、易强制配准非匹配点对的问题,提出了一种基于双向匹配机制和多分辨率邻域扩展的改进ICP算法,以提高点云配准精度和鲁棒性。首先,通过基于K-D tree的双向匹配机制提取相邻帧点云的重叠区域,利用重叠区域信息建立初始配准模型,解决了低重叠率场景下配准精度低的问题。其次,采用多分辨率邻域扩展技术,结合局部曲率相似性加权求解变换矩阵,避免了动态配准中强制对齐非匹配点对的现象。最后,通过级联补偿机制实现全局点云的精确配准。实验结果表明,在2 km和400 m扫描成像中,平均距离误差分别为0.21 m和0.10 m。该方案有效解决了动态扫描场景下的点云配准难题,为三维重构提供了高精度数据支持,具有重要应用价值。

基于双向条纹点云匹配的复杂纹理误差校正
张正祺, 陈玉翀, 达飞鹏, 盖绍彦
2025, 18(5): 1086-1096. doi: 10.37188/CO.2025-0040
摘要:

在结构光三维测量系统中,相机离焦现象不可避免。在离焦的影响下,物体表面的复杂纹理会引入显著的相位误差,影响测量精度。本文针对该问题,分析并构建了该相位误差的理论模型,指出了其与纹理变化方向的关系,并由此提出了一种基于双向条纹点云匹配的复杂纹理误差校正方法。理论上,通过投影横纵条纹图案获得的双向相位信息应解出完全一致的点云。基于这一原理,本文提出以最小化横纵点云对应点距离为目标,修正每个点对应的相位,最终得到校正后的点云。为了消除标定参数误差导致的点云整体偏移,本文通过点云匹配进行了预校正。对比实验结果表明:相较传统方法,本文方法的平均绝对误差(MAE)和均方根误差(RMSE)最高可分别降低33.6%和39.1%。本文方法能够以更高的精度重建具有复杂纹理的物体。

基于快速迭代滤波的单帧彩色条纹投影轮廓术
魏鹏飞, 杜虎兵, 朱倩, 刘畅, 李燕杰
2025, 18(5): 1097-1110. doi: 10.37188/CO.2024-0213
摘要:

为了实现动态物体的三维轮廓测量,并克服传统傅立叶解调方法中由于不同载频频谱混叠而导致的测量精度受限,以及彩色复合条纹投影技术中的颜色耦合问题,本文提出了一种基于快速迭代滤波的三频彩色条纹投影轮廓术。该方法首先通过CCD相机采集一帧彩色图像,其中R、G、B通道分别携带了不同频率的变形条纹图像。然后,通过各分量互减去除噪音及干扰背景,从而得到了频率混合的条纹图。接着,利用快速迭代滤波将不同的频率条纹图进行分离和颜色解耦。随后,对由R、G、B通道分离的单频率的条纹图分别进行傅立叶变换并提取包裹相位信息。最后,为了实现精确的相位展开,采用空域解包裹算法展开低频相位,并基于此依次展开中频和高频相位,从而完成整个相位解包裹过程。仿真和实验结果表明,本文方法的相位展开精度比传统傅立叶方法提高约7倍,且相比其他单帧解调方法,本文方法精度最高,抗噪性能强,为高精度、动态实时三维测量提供了一种有效的技术方案。

基于单相机的空间目标相对位姿测量系统
支帅, 丁国鹏, 韩世豪, 张永合, 朱振才
2025, 18(5): 1111-1123. doi: 10.37188/CO.2025-0057
摘要:

为提高测量系统的稳定性及精度,实现航天器超近距离高精度对接,本文提出了一种基于单相机及合作靶标的相对位姿测量系统,用于双星间相对位置及姿态的高精度测量。通过设计追踪星视觉相机及目标星LED合作靶标,在双星距离为50米到0.4米的范围内,实现了高精度的相对位姿测量。通过设计远近场LED靶标,实现了相机与靶标间的协同工作,保证在50米到0.4米的距离均能清晰成像;根据设计的靶标特性,提出了多尺度质心提取算法,利用斜率一致性约束与间距比筛选,在复杂光照下能稳定获取特征目标;最后,结合靶标几何约束的初值估计,实现了目标星相对于追踪星的位姿解算,为进一步提高测量精度,引入非线性优化方法对位姿结果进行迭代优化,有效降低了测量误差。试验结果表明,系统测量精度由远及近逐渐提高,在距离为0.4 m时,位置测量精度优于1 mm,姿态测量精度优于0.2°,满足超近距离对接任务需求。本方案为空间在轨目标相对位姿测量提供了高精度、高稳定性的技术支撑,具有重要的工程应用价值。

光电混合的光学卷积神经网络的片上训练及其抗噪性
邵晓锋, 苏婧宜, 王瑾
2025, 18(5): 1124-1131. doi: 10.37188/CO.2025-0016
摘要:

光电混合的光学卷积神经网络(OCNN)通过结合光子元件的并行线性计算能力和电子元件的非线性处理优势,在分类任务中展现了巨大的潜力。然而,光子元件的制备误差即不精确性和执行后向传播的FPGA中的电路噪声对网络性能有显著影响。本文搭建了光电混合的OCNN,其中的线性计算由基于马赫-曾德尔干涉仪(MZI)的光学计算层完成,而池化计算及训练过程则在FPGA中完成。本文着重研究了在FPGA上的片上训练方案,分析了噪声对片上训练效果的影响,并提出了增强OCNN抗噪能力的网络优化策略。具体地,通过调整池化方式和尺寸以增强OCNN的抗噪性能,并在池化层后引入Dropout正则化以进一步提升模型的识别准确率。实验结果表明,本文采用的片上训练方案能够有效修正光子元件的不精确性带来的误差,但电路噪声是限制OCNN性能的主要因素。此外,当电路噪声较大时,其造成的MZI相位误差标准差为0.003,最大池化方式与Dropout正则化的结合可以显著提升OCNN的测试准确率(最高达78%)。本研究为实现OCNN的片上训练提供了重要的参考依据,同时为光电混合架构在高噪声环境下的实际应用探索提供了新的思路。

基于过压驱动的穆勒矩阵高速测量方法
巩忠轩, 李子凡, 龚君豪, 韩琪锐, 于壁君, 毛红敏, 樊丽娜, 陆焕钧, 曹召良
2025, 18(5): 1132-1142. doi: 10.37188/CO.2025-0055
摘要:

为实现穆勒矩阵的高速测量,本文提出一种基于过压驱动的穆勒矩阵高速测量方法。首先,建立基于液晶的穆勒矩阵仿真模型,仿真分析了待测物穆勒矩阵的测量可行性。其次,给出了液晶可变相位延迟器的过压驱动方法,并利用过压驱动技术缩短了偏振态的切换时间。最后,实验测量了空气、偏振片及1/4波片的穆勒矩阵。实验结果表明:6个偏振态的生成频率从71 Hz提升到417 Hz,穆勒矩阵的测量频率从10 Hz提升到60 Hz,提升约6倍;同时,穆勒矩阵测量均方误差(MSE)优于0.0004,消光比优于750∶1,椭偏度低于1.06%。上述结果表明:过压驱动方法能够实现穆勒矩阵的高速测量,从而为动态偏振分析、光学元件在线质检、生物医学成像等实时检测领域提供可行方案。

腔衰荡光谱仪器腔镜微缺陷散射模型
任颐杰, 张正涛
2025, 18(5): 1143-1154. doi: 10.37188/CO.2024-0094
摘要:

针对腔衰荡光谱仪器(CRDS)中的腔镜微缺陷会导致测量精度下降的问题,本文建立了基于Bobbert Vlieger BRDF 理论的腔镜微缺陷散射模型,分析了微缺陷在不同光源波长、入射角度、缺陷量级、缺陷类型、缺陷密度、基底膜层的散射光特性。腔镜微缺陷散射模型研究表明:微米至亚微米(100 μm~0.1 μm)量级缺陷会降低衰荡吸收精度。针对该量级微缺陷的检测,构建了腔镜微缺陷散射和微缺陷暗场检测的分析模型。CRDS腔镜微缺陷散射光模型的建立与分析,是实现腔镜微缺陷高精度检测和CRDS测量精度恢复的关键技术。

射频轴快流CO2激光器动态L型阻抗匹配网络设计
黄盼, 赵崇霄, 董祝君, 赵振, 潘其坤, 冯育泽, 张来明, 郭劲
2025, 18(5): 1155-1163. doi: 10.37188/CO.2024-0096
摘要:

针对高功率轴快流CO2激光器射频放电阻抗的匹配问题,本文设计了低反射率、高动态匹配范围的阻抗匹配网络,以实现射频激励轴快流CO2激光器在不同放电结构下射频功率的高效利用。基于射频电路阻抗匹配理论,构建了多电极等效电路模型,提出向匹配网络中引入可调高压陶瓷电容的方法,设计了适用于高功率射频激励轴快流CO2激光器的动态L型匹配网络。模拟的动态L型匹配网络可向16根放电管注入60 kW射频功率,在12.81 Ω~49.94 Ω总负载阻抗范围内反射率小于1%。搭建了单管射频放电实验装置,实验测得动态L型匹配网络在4 kW注入功率下反射率小于1%,与仿真结果相符。上述结果表明引入可调高压陶瓷电容的动态L型匹配网络能够实现高动态范围内的阻抗匹配,基本满足高功率射频激励轴快流CO2激光器匹配电路的设计要求。

大口径平面镜的瑞奇-康芒检测数据处理方法
张泊泊, 鄂可伟, 李世杰, 李晶, 刘焕玉, 郭永康, 张东旭, 薛勋, 赵建科
2025, 18(5): 1164-1173. doi: 10.37188/CO.2025-0017
摘要:

针对现有大口径平面反射镜面形检测中数据处理方法存在通用性较低、检测中数据易受环境影响等问题,本文提出了一种结合光线追迹法获取灵敏度矩阵的数据处理方法,对瑞奇-康芒法检测获得的数据进行处理分析,实现了对大口径平面镜的高精度面形检测。首先,在Zemax软件中建立了瑞奇-康芒光学检测模型,并采用光线追迹算法获得了灵敏度矩阵,使用灵敏度矩阵计算并分离检测过程中存在的误差。其次,对基于灵敏度矩阵的数据处理算法进行了仿真验证。将该算法应用于口径为200 mm平面镜的瑞奇-康芒法检测实验,通过与直接采用干涉仪检测结果的交叉对比,结果显示该方法相比于直接采用泽尼克拟合去除像差的方法具有更高的检测精度,避免了近似拟合对数据处理结果的影响,验证了该数据处理方法的正确性。进一步将该方法应用于口径为2.2 m平面镜的制造流程中,最终获得的面形均方根误差优于1/50λ。该方法为大口径平面镜的瑞奇-康芒检测提供了一种高效可靠的数据处理算法,具有明显的工程应用价值。

面向空间目标广域探测的大视场宽光谱光学系统设计
牟帅威, 吴洪波, 张新, 马霖, 闫磊, 谭双龙
2025, 18(5): 1174-1184. doi: 10.37188/CO.2024-0198
摘要:

为了实现空间目标的广域探测,本文设计并研制了一种宽光谱(400~1000 nm)、大视场(61°)、小F数(1.38)、低畸变的光学系统。该光学系统具备六等星的探测能力,能够实现对空间目标的广域探测。首先,建立空间目标探测辐射特性模型与光学系统参数的映射关系,然后开展相应的光学系统设计理论分析,采用反摄远式结构作为初始的光学系统设计构型。通过优化设计,平衡并校正其大视场与宽光谱带来的严重色差,提高能量集中度的同时兼顾弥散斑圆整度。空间光学仿真及实物探测能力实验验证结果表明,该光学系统能够满足六等星的空间目标广域探测需求。该光学系统整体设计合理、结构紧凑,能够满足空间目标广域探测的应用需求。

磨料水射流抛光熔石英玻璃的多目标参数优化
李倩, 姚鹏, 邓红星, 冯辰宇, 许崇海, 屈硕硕, 杨玉莹, 朱洪涛, 黄传真
2025, 18(5): 1185-1199. doi: 10.37188/CO.EN-2025-0006
摘要:

磨料水射流抛光技术作为一种非接触式超精密加工方法,因其材料去除函数稳定、无亚表面损伤及强形状适应性,在光学元件加工领域具有重要应用价值。本研究通过计算流体动力学(CFD)数值模拟方法,系统分析了射流压力、喷嘴直径及入射角度对抛光流场压力分布、速度分布及壁面剪切力分布的作用规律。基于Box-Behnken实验设计,构建了响应面回归模型,系统研究了工艺参数对熔石英玻璃的材料去除率(MRR)和表面粗糙度(Ra)的影响机制。实验结果表明:通过增大射流压力和喷嘴直径可显著提高MRR,该规律与流场仿真揭示的剪切应力分布特征一致;但增大射流压力和入射角度会导致Ra增大,不利于表面质量提升。通过遗传算法(GA)多目标优化建立Pareto解集,成功实现了加工效率与表面质量的协同优化,在射流压力为2 MPa、喷嘴直径为0.3mm、入射角度为30°的参数组合下MRR达169.05 μm3/s、Ra低至0.50 nm。实验结果表明,模型预测值与实测值误差仅为4.4%(MRR)和3.8%(Ra),验证了模型的可靠性。本研究建立的参数优化体系为复杂曲面光学元件的超精密抛光提供了理论依据与技术支持。

基于可拉伸光纤和干涉测量的振动传感器
吴加俊, 谢康, 曹磊, 曹璇, 李振佳, 赵国帅, 何佳程, 涂郭结
2025, 18(5): 1200-1208. doi: 10.37188/CO.EN-2025-0010
摘要:

软聚合物光纤(SPOF)因其优异的机械性能和光导特性,在基于光学的可穿戴和可植入生物传感器中显示出巨大的潜力。然而,柔性光纤的多模态特性限制了它们与传统光纤传感器的集成。本文首次介绍了一种基于激光干涉技术的柔性光纤振动传感器,可应用于大拉伸条件下的振动测量。该传感器利用聚二甲基硅氧烷(PDMS)制成的弹性光纤作为传感元件,结合相位发生载体技术,在0~42%的拉伸范围内实现50~260 Hz的振动测量。

DnCNN-RM:基于残差网络的自适应合成孔径雷达图像去噪算法
欧海宁, 李长頔, 曾瑞彬, 吴言枫, 刘佳宁, 程鹏
2025, 18(5): 1209-1218. doi: 10.37188/CO.EN-2024-0028
摘要:

在图像处理领域,合成孔径雷达(SAR)图像的应用很广泛,因而分析SAR图像具有重要意义。然而,这些图像常常受到相干斑噪声的干扰,显著降低了图像质量。传统的去噪方法,通常基于滤波器技术,往往存在效率低和适应性差的局限性。为了克服这些不足,本文提出了一种基于增强残差网络架构的SAR图像去噪算法,旨在提升SAR图像在复杂电磁环境中的应用效果。该算法结合了残差网络模块,直接对含噪输入图像进行处理,生成去噪输出。这种方法不仅有效降低了计算复杂度,还缓解了模型训练过程中遇到的困难。通过将Transformer模块与残差块相结合,显著提高了网络对全局特征的提取能力。相较于基于卷积神经网络(CNN)的残差模块,该方法具有更强的特征提取能力。此外,算法引入了自适应激活函数Meta-ACON,能够动态调整神经元的激活模式,从而进一步提升了网络的特征提取效率。通过在RSOD数据集上的实验证明,所提出的去噪方法在EPI、SSIM和ENL等指标上表现出色,同时在PSNR方面也取得了显著的提升。与传统的去噪算法及深度学习算法相比,该算法的PSNR性能提高了两倍以上。进一步在MSTAR SAR数据集上进行测试,得到的PSNR值为25.2021,验证了该算法在SAR去噪领域的良好泛化性。上述结果表明,所提出的算法不仅能够有效降低相干斑噪声,还能有效保留SAR图像中的关键信息特征,从而在实际应用中显著提高图像质量和可用性。

彩色投影仪光强自适应高动态范围三维测量方法
黄浩珍, 牛斌, 程深, 曲兴华, 张福民
2025, 18(5): 1219-1229. doi: 10.37188/CO.EN-2024-0038
摘要:

单一曝光时间或单一投影强度的条纹投影轮廓术(FPP)系统方法受限于相机的动态范围,会导致图像的过饱和和欠饱和,从而造成点云缺失或精度降低。为了解决这一问题,有别于投影仪像素调制方法,我们利用彩色投影仪三通道LED投影强度可单独控制的特点,提出了投影仪三通道光强分离的方法,结合彩色相机,实现了单曝光、多光强图像采集。进一步地,将串扰系数应用到被测物体三通道反射率预测中,结合聚类与通道映射,建立了投影仪三通道电流与相机三通道图像光强的像素级映射模型,实现了最佳投影电流预测和高动态范围图像获取。我们所提出的方法只需一次曝光就能实现高动态范围场景的高精度三维数据获取,该方法的有效性已通过标准平面和标准台阶的实验进行了验证,相比于现有单曝光高动态范围方法显著降低了平均绝对误差(44.6%), 相比于多曝光融合方法所需要的采集图像数量显著减小(文中场景下图片数量减小70.8%),提出的方法在各种 FPP 相关领域具有巨大潜力。

基于太赫兹全介质超表面的独立双带连续域束缚态
王雨, 刘阳, 郝晓昱, 郑思雨, 刘蒙, 张玉萍, 詹仪, 张会云
2025, 18(5): 1230-1242. doi: 10.37188/CO.EN-2025-0004
摘要:

相比传统的单频连续域束缚态(BIC),双带BIC具有更高的自由度和功能性,而实现双带BIC的独立调控将进一步增强其优势,最大化提升其性能。本研究设计了一种在太赫兹(THz)波段实现双带BIC的全介质超表面。通过调节两种不对称结构参数,可以实现对两个对称保护BIC的独立控制。此外,通过改变硅孔形状,验证了该设计对几何形状具有较强的鲁棒性。测试结果表明,两个BIC的优值(FOM)均可达到109。本研究为双频BIC的实现与调谐提供了一种新的方法,并为多模激光器、非线性光学、多通道滤波及光传感等领域的应用提供了更多可能性。

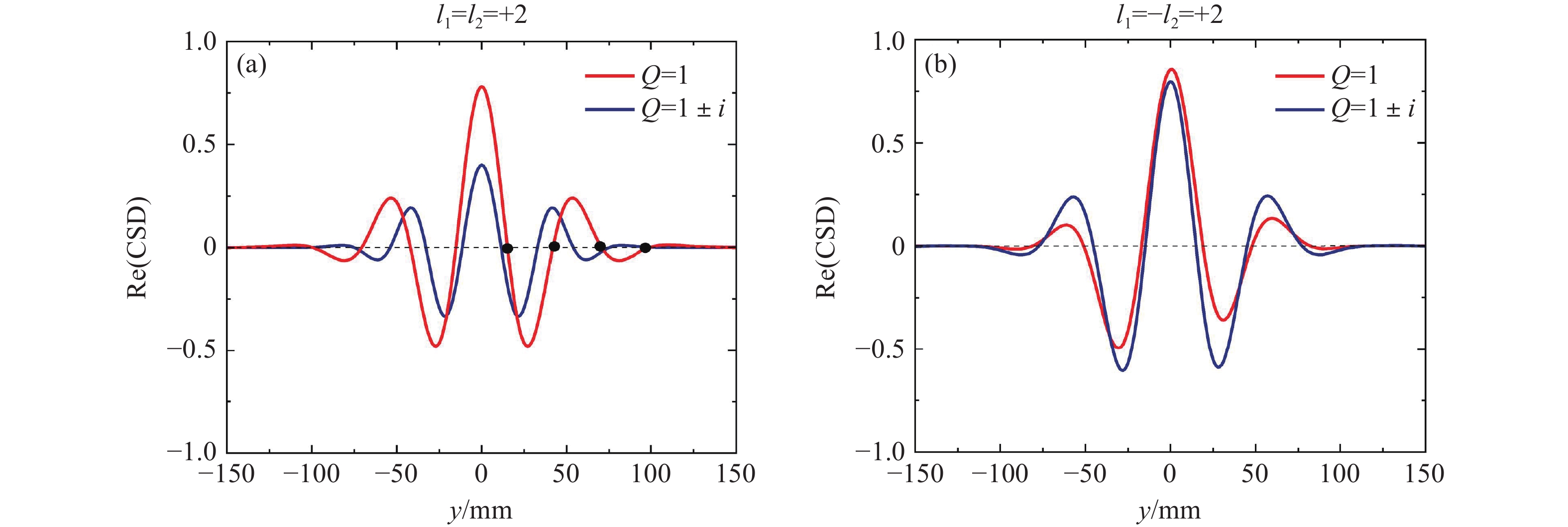
含非正则涡旋对的部分相干光束的空间相关奇点与轨道角动量谱
梅超, 程科, 易小雯, 付彩瑛, 曾体贤
2025, 18(5): 1243-1254. doi: 10.37188/CO.EN-2025-0001
摘要:

将非正则涡旋对引入部分相干光领域,利用Fraunhofer衍射积分公式研究了该光束在远场的空间相关奇点(SCS)和轨道角动量(OAM),详细探讨了非正则因子、离轴距离和涡旋符号对空间相关奇点的影响,研究了远场OAM谱、密度、检测与串扰几率。结果表明:不论是正则还是非正则涡旋对,SCS的位错数量总是等于拓扑荷的绝对值之和。尽管OAM模式与其功率权重的乘积之和等于拓扑荷的代数和,但是该关系对于非正则情况却不再成立。相比于探测模,离轴距离、非正则因子或相干长度的变化会导致毗邻模具有更大功率。这也意味着串扰几率会大于中心探测几率。本文结果对基于OAM的光通信、光成像、光传感、光计算具有潜在的应用价值。

具有温度补偿的金属膜片式光纤法珀压力传感器
王昊星, 刘佳, 王海洋, 王军, 李元浩, 殷建雄, 万顺, 戴云腾, 贾平岗
2025, 18(5): 1255-1265. doi: 10.37188/CO.EN-2025-0021
摘要:

本文针对油气井、发动机燃油系统和航空液压系统等高温密闭环境下压力监测的技术难题,研发了一种具有温度补偿的金属膜片式光纤压力传感器。该传感器采用金属敏感膜片与蓝宝石晶片构成温度-压力双法珀(Fabry-Perot, FP)干涉腔结构,并结合互相关信号解调算法与温度解耦方法,有效降低温度串扰对压力测试的影响。实验结果表明,该传感器在常温和300 °C的压力测量中最大非线性误差分别为0.75% FS和0.99% FS。经过温度解耦后,压力测量精度可达1.7% FS。该传感器具有良好的静态压力响应、稳定性和可靠性,为高温压力监测场景提供了一种有效的解决方案。