留言板

尊敬的读者、作者、审稿人, 关于本刊的投稿、审稿、编辑和出版的任何问题, 您可以本页添加留言。我们将尽快给您答复。谢谢您的支持!

姓名
邮箱
手机号码
标题
留言内容
验证码

Independent dual-band bound states in the continuum based on terahertz all-dielectric metasurfaces

WANG Yu LIU Yang HAO Xiao-yu ZHENG Si-yu LIU Meng ZHANG Yu-ping ZHAN Yi ZHANG Hui-yun

王雨, 刘阳, 郝晓昱, 郑思雨, 刘蒙, 张玉萍, 詹仪, 张会云. 基于太赫兹全介质超表面的独立双带连续域束缚态[J]. 中国光学(中英文), 2025, 18(5): 1230-1242. doi: 10.37188/CO.EN-2025-0004
引用本文: 王雨, 刘阳, 郝晓昱, 郑思雨, 刘蒙, 张玉萍, 詹仪, 张会云. 基于太赫兹全介质超表面的独立双带连续域束缚态[J]. 中国光学(中英文), 2025, 18(5): 1230-1242. doi: 10.37188/CO.EN-2025-0004
WANG Yu, LIU Yang, HAO Xiao-yu, ZHENG Si-yu, LIU Meng, ZHANG Yu-ping, ZHAN Yi, ZHANG Hui-yun. Independent dual-band bound states in the continuum based on terahertz all-dielectric metasurfaces[J]. Chinese Optics, 2025, 18(5): 1230-1242. doi: 10.37188/CO.EN-2025-0004
Citation: WANG Yu, LIU Yang, HAO Xiao-yu, ZHENG Si-yu, LIU Meng, ZHANG Yu-ping, ZHAN Yi, ZHANG Hui-yun. Independent dual-band bound states in the continuum based on terahertz all-dielectric metasurfaces[J]. Chinese Optics, 2025, 18(5): 1230-1242. doi: 10.37188/CO.EN-2025-0004

基于太赫兹全介质超表面的独立双带连续域束缚态

详细信息
  • 中图分类号: S220.4

Independent dual-band bound states in the continuum based on terahertz all-dielectric metasurfaces

doi: 10.37188/CO.EN-2025-0004
Funds: Supported by National Natural Science Foundation of China (No. 62375158,No. 62105187); Natural Science Foundation of Shandong Province (No. ZR2021QF010, No. ZR2020MF107); Science and Technology Support Plan for Youth Innovation of Colleges and Universities of Shandong Province (No. 2022KJ216)
More Information
    Author Bio:

    ZHAN Yi (1969—), female, born in Rizhao, Shandong, Ph.D., professor, she received the Ph.D. degree in materials science and engineering from ZhengZhou University in 2007. She is currently a professor at Qufu Normal University, where her research is focused on optical fiber nonlinearity and the mechanisms of ultrafast laser generation from nano-materials. Her current research interests include mode-locking mechanism and device design of fiber laser based on chalcogenide nanocrystals. E-mail: zhanyi246@126.com

    ZHANG Hui-yun (1974—), male, born in Yishui, Shandong, China, Ph.D., Professor, Ph.D. Supervisor, received his Ph.D. degree from Tianjin University in 2008, and is mainly engaged in the research of terahertz functional devices. E-mail: sdust_thz@126.com

    Corresponding author: zhanyi246@126.comsdust_thz@126.com
  • 摘要:

    相比传统的单频连续域束缚态(BIC),双带BIC具有更高的自由度和功能性,而实现双带BIC的独立调控将进一步增强其优势,最大化提升其性能。本研究设计了一种在太赫兹(THz)波段实现双带BIC的全介质超表面。通过调节两种不对称结构参数,可以实现对两个对称保护BIC的独立控制。此外,通过改变硅孔形状,验证了该设计对几何形状具有较强的鲁棒性。测试结果表明,两个BIC的优值(FOM)均可达到109。本研究为双频BIC的实现与调谐提供了一种新的方法,并为多模激光器、非线性光学、多通道滤波及光传感等领域的应用提供了更多可能性。

     

  • Figure 1.  (a) Schematic diagram of the periodic metasurface. (b) 3D view of the unit cell. (c) Top view of the unit cell (x-y plane)

    Figure 2.  (a) 2D band diagram of the metasurface in the frequency range of 2.1–2.7 THz. (b) and (c) Corresponding Q-factor of the eigenmode in K-space near the Γ point. (d) Transmission amplitude as a function of the asymmetric parameter α and frequency when r1 = r2. (e) Transmission amplitude as a function of the asymmetric parameter δ and frequency when Δs = 0. (f) Transmission amplitude as a function of the asymmetric parameters α = δ and frequency. (g) Resonant Q-factor as a function of the asymmetric parameter α. (h) Resonant Q-factor as a function of the asymmetric parameter δ.

    Figure 3.  Transmission spectrum of the metasurface when the asymmetry parameters (a) α = 0.05, (b) δ = 0.05. (c) and (f) Electromagnetic field intensity and directional distribution diagrams for the two modes. The electric field intensity is represented by different colors, with red arrows indicating the direction of the electric field, and black arrows showing the direction of the magnetic field. (d) and (e) Normalized scattering energy of the multipoles in Cartesian coordinates for the two modes

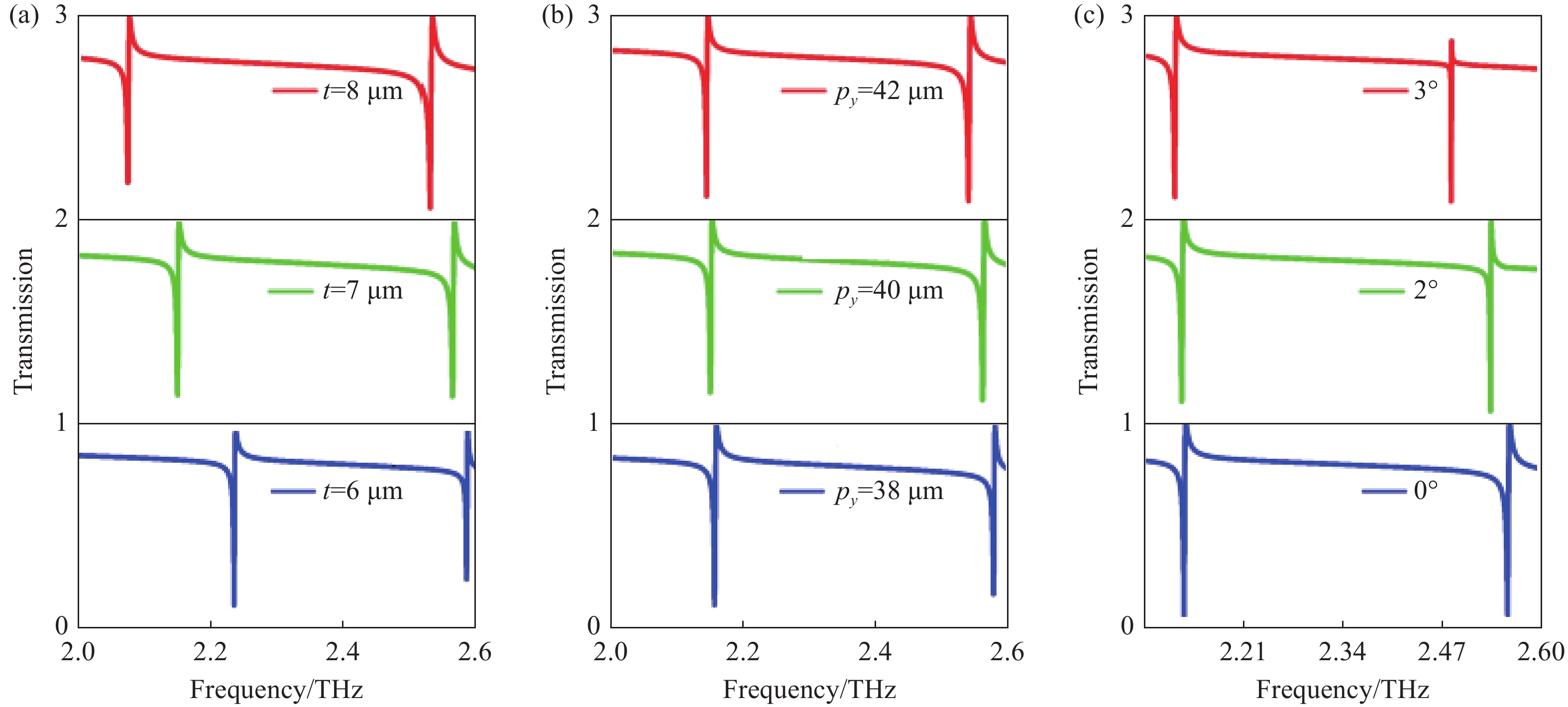
    Figure 4.  Transmission spectrum of the metasurface structure (a) at varying silicon layer thicknesses, (b) at different periodicities, (c) at varying incident angles

    Figure 5.  (a) Frequency response of the transmission amplitude as a function of the asymmetry parameter α when δ = 0.2. (b) Frequency response of the transmission amplitude as a function of the asymmetry parameter δ when α = 0.2. (c) Transmission spectrum of the structure at different duty cycles when the asymmetry parameters α and δ are 0.2

    Figure 6.  (a) and (b) Top view (x-y plane) of the unit cells of the elliptical and square hole metasurfaces. (c) Transmission spectra of the elliptical hole metasurface for different structural parameters s and b. (d) Transmission spectra of the square hole metasurface for different structural parameters s and c. (e)-(h) Electromagnetic field strength and directional distribution for different modes of the two structures. The colors represent the electric field intensity, with red arrows indicating the direction of the electric field and black arrows representing the direction of the magnetic field

    Figure 7.  (a) Schematic diagram of the 3D unit cell structure used for sensing. (b) and (c) Frequency distribution of the transmission amplitude for the two QBICs as a function of the sample refractive index when the sample thickness is h=10 μm. (d) and (e) Frequency distribution of the transmission amplitude for the two QBICs as a function of the sample thickness when the sample refractive index is n=2. (f) and (g) Frequency shift and FOM curves of the two QBICs as a function of the refractive index when h=10 μm.

  • [1] HSU C W, ZHEN B, LEE J, et al. Observation of trapped light within the radiation continuum[J]. Nature, 2013, 499(7457): 188-191. doi: 10.1038/nature12289
    [2] HSU C W, ZHEN B, STONE A D, et al. Bound states in the continuum[J]. Nature Reviews Materials, 2016, 1(9): 16048. doi: 10.1038/natrevmats.2016.48
    [3] LEITIS A, TITTL A, LIU M K, et al. Angle-multiplexed all-dielectric metasurfaces for broadband molecular fingerprint retrieval[J]. Science Advances, 2019, 5(5): eaaw2871. doi: 10.1126/sciadv.aaw2871
    [4] KOSHELEV K, LEPESHOV S, LIU M K, et al. Asymmetric metasurfaces with high-Q resonances governed by bound states in the continuum[J]. Physical Review Letters, 2018, 121(19): 193903. doi: 10.1103/PhysRevLett.121.193903
    [5] YESILKOY F, ARVELO E R, JAHANI Y, et al. Ultrasensitive hyperspectral imaging and biodetection enabled by dielectric metasurfaces[J]. Nature Photonics, 2019, 13(6): 390-396. doi: 10.1038/s41566-019-0394-6
    [6] ROMANO S, ZITO G, TORINO S, et al. Label-free sensing of ultralow-weight molecules with all-dielectric metasurfaces supporting bound states in the continuum[J]. Photonics Research, 2018, 6(7): 726-733. doi: 10.1364/PRJ.6.000726
    [7] LIU Y H, ZHOU W D, SUN Y Z. Optical refractive index sensing based on high-q bound states in the continuum in free-space coupled photonic crystal slabs[J]. Sensors, 2017, 17(8): 1861. doi: 10.3390/s17081861
    [8] ZITO G, SANITÀ G, ALULEMA B G, et al. Label-free DNA biosensing by topological light confinement[J]. Nanophotonics, 2021, 10(17): 4279-4287. doi: 10.1515/nanoph-2021-0396
    [9] WANG J, KÜHNE J, KARAMANOS T, et al. All-dielectric crescent metasurface sensor driven by bound states in the continuum[J]. Advanced Functional Materials, 2021, 31(46): 2104652. doi: 10.1002/adfm.202104652
    [10] YIN W, SHEN ZH L, LI SH N, et al. THz absorbers with an ultrahigh Q-factor empowered by the quasi-bound states in the continuum for sensing application[J]. Optics Express, 2022, 30(18): 32162-32173. doi: 10.1364/OE.469962
    [11] WANG X, DUAN J Y, CHEN W Y, et al. Controlling light absorption of graphene at critical coupling through magnetic dipole quasi-bound states in the continuum resonance[J]. Physical Review B, 2020, 102(15): 155432. doi: 10.1103/PhysRevB.102.155432
    [12] WU J J, XU X T, SU X Q, et al. Observation of giant extrinsic chirality empowered by quasi-bound states in the continuum[J]. Physical Review Applied, 2021, 16(6): 064018. doi: 10.1103/PhysRevApplied.16.064018
    [13] HAN ZH H, CAI Y J. All-optical self-switching with ultralow incident laser intensity assisted by a bound state in the continuum[J]. Optics Letters, 2021, 46(3): 524-527. doi: 10.1364/OL.415531
    [14] GORKUNOV M V, ANTONOV A A, KIVSHAR Y S. Metasurfaces with maximum chirality empowered by bound states in the continuum[J]. Physical Review Letters, 2020, 125(9): 093903. doi: 10.1103/PhysRevLett.125.093903
    [15] CHEN Y, DENG H C, SHA X B, et al. Observation of intrinsic chiral bound states in the continuum[J]. Nature, 2023, 613(7944): 474-478. doi: 10.1038/s41586-022-05467-6
    [16] KUZNETSOV A I, MIROSHNICHENKO A E, BRONGERSMA M L, et al. Optically resonant dielectric nanostructures[J]. Science, 2016, 354(6314): aag2472. doi: 10.1126/science.aag2472
    [17] JAHANI S, JACOB Z. All-dielectric metamaterials[J]. Nature Nanotechnology, 2016, 11(1): 23-36. doi: 10.1038/nnano.2015.304
    [18] GINN J C, BRENER I, PETERS D W, et al. Realizing optical magnetism from dielectric metamaterials[J]. Physical Review Letters, 2012, 108(9): 097402. doi: 10.1103/PhysRevLett.108.097402
    [19] ALGORRI J F, DELL’OLIO F, ROLDÁN-VARONA P, et al. Strongly resonant silicon slot metasurfaces with symmetry-protected bound states in the continuum[J]. Optics Express, 2021, 29(7): 10374-10385. doi: 10.1364/OE.415377
    [20] ABUJETAS D R, SÁNCHEZ-GIL J A. Near-field excitation of bound states in the continuum in all-dielectric metasurfaces through a coupled electric/magnetic dipole model[J]. Nanomaterials, 2021, 11(4): 998. doi: 10.3390/nano11040998
    [21] ZHU J, DENG J H, XIONG H, et al. Triband metamaterial absorber based on a three-ring coupled structure[J]. ACS Applied Electronic Materials, 2024, 6(12): 9184-9193. doi: 10.1021/acsaelm.4c01813
    [22] XIONG H, YANG Q, HUANG Y ZH, et al. High-efficiency microwave wireless power transmission via reflective phase gradient metasurfaces and surface wave aggregation[J]. ACS Applied Materials & Interfaces, 2024, 16(44): 60189-60196.
    [23] KARAGODSKY V, SEDGWICK F G, CHANG-HASNAIN C J. Theoretical analysis of subwavelength high contrast grating reflectors[J]. Optics Express, 2010, 18(16): 16973-16988. doi: 10.1364/OE.18.016973
    [24] KARAGODSKY V, CHANG-HASNAIN C J. Physics of near-wavelength high contrast gratings[J]. Optics Express, 2012, 20(10): 10888-10895. doi: 10.1364/OE.20.010888
    [25] TAN T C, SRIVASTAVA Y K, AKO R T, et al. Active control of nanodielectric-induced THz quasi-BIC in flexible metasurfaces: a platform for modulation and sensing[J]. Advanced Materials, 2021, 33(27): 2100836. doi: 10.1002/adma.202100836
    [26] ABUJETAS D R, VAN HOOF N, TER HUURNE S, et al. Spectral and temporal evidence of robust photonic bound states in the continuum on terahertz metasurfaces[J]. Optica, 2019, 6(8): 996-1001. doi: 10.1364/OPTICA.6.000996
    [27] TAN T C W, PLUM E, SINGH R. Lattice-enhanced Fano resonances from bound states in the continuum metasurfaces[J]. Advanced Optical Materials, 2020, 8(6): 1901572. doi: 10.1002/adom.201901572
    [28] VAN HOOF N J J, ABUJETAS D R, TER HUURNE S E T, et al. Unveiling the symmetry protection of bound states in the continuum with terahertz near-field imaging[J]. ACS Photonics, 2021, 8(10): 3010-3016. doi: 10.1021/acsphotonics.1c00937
    [29] CERJAN A, JÖRG C, VAIDYA S, et al. Observation of bound states in the continuum embedded in symmetry bandgaps[J]. Science Advances, 2021, 7(52): eabk1117. doi: 10.1126/sciadv.abk1117
    [30] LI S, MA B Z, LI Q, et al. Antenna-based approach to fine control of supercavity mode quality factor in metasurfaces[J]. Nano Letters, 2023, 23(14): 6399-6405. doi: 10.1021/acs.nanolett.3c01141
    [31] ZHONG H K, HE T T, WANG Y H, et al. Efficient polarization-insensitive quasi-BIC modulation by VO2 thin films[J]. Optics Express, 2024, 32(4): 5862-5873. doi: 10.1364/OE.515896
    [32] GE J Y, GAO Y X, XU L, et al. Dual-symmetry-perturbed all-dielectric resonant metasurfaces for high-Q perfect light absorption[J]. Chinese Optics Letters, 2024, 22(2): 023602. doi: 10.3788/COL202422.023602
    [33] LUO X Q, ZHOU Y J, LIU Q K, et al. Customizable dual-resonance sensing empowered by coupled quasi-bound states in the continuum[J]. Optics & Laser Technology, 2025, 180: 111544.
    [34] MI Q, SANG T, PEI Y, et al. High-quality-factor dual-band Fano resonances induced by dual bound states in the continuum using a planar nanohole slab[J]. Nanoscale Research Letters, 2021, 16(1): 150. doi: 10.1186/s11671-021-03607-x
    [35] DU X, XIONG L, ZHAO X Q, et al. Dual-band bound states in the continuum based on hybridization of surface lattice resonances[J]. Nanophotonics, 2022, 11(21): 4843-4853. doi: 10.1515/nanoph-2022-0427
    [36] DING J F, HUANG L R, LUO Y, et al. Multi-band polarization-independent quasi-bound states in the continuum based on tetramer-based metasurfaces and their potential application in terahertz microfluidic biosensing[J]. Advanced Optical Materials, 2023, 11(20): 2300685. doi: 10.1002/adom.202300685
    [37] ZHANG S B, ZONG M X, LIU Y Q, et al. Independent dual-band bound states in the continuum supported by double asymmetric periodic gratings in germanium-based structure[J]. Laser & Photonics Reviews, 2024, 18(4): 2301206.
    [38] KAELBERER T, FEDOTOV V A, PAPASIMAKIS N, et al. Toroidal dipolar response in a metamaterial[J]. Science, 2010, 330(6010): 1510-1512. doi: 10.1126/science.1197172
    [39] ZHAO CH X, LIU J N, LI B Q, et al. Multiscale construction of bifunctional electrocatalysts for long-lifespan rechargeable zinc–air batteries[J]. Advanced Functional Materials, 2020, 30(36): 2003619. doi: 10.1002/adfm.202003619
    [40] BOLIVAR P H, BRUCHERSEIFER M, NAGEL M, et al. Label-free probing of the binding state of DNA by time-domain terahertz sensing[C]. Optics and Photonics, Optica Publishing Group, 2000: 253-258.
    [41] HO L, PEPPER M, TADAY P. Signatures and fingerprints[J]. Nature Photonics, 2008, 2(9): 541-543. doi: 10.1038/nphoton.2008.174
    [42] CHEN X, FAN W H. Ultrasensitive terahertz metamaterial sensor based on spoof surface plasmon[J]. Scientific Reports, 2017, 7(1): 2092. doi: 10.1038/s41598-017-01781-6
  • 加载中
图(7)
计量
  • 文章访问数:  577
  • HTML全文浏览量:  375
  • PDF下载量:  117
  • 被引次数: 0
出版历程
  • 收稿日期:  2025-01-22
  • 修回日期:  2025-02-19
  • 网络出版日期:  2025-03-07

目录

    /

    返回文章
    返回