留言板

尊敬的读者、作者、审稿人, 关于本刊的投稿、审稿、编辑和出版的任何问题, 您可以本页添加留言。我们将尽快给您答复。谢谢您的支持!

姓名
邮箱
手机号码
标题
留言内容
验证码

光电混合的光学卷积神经网络的片上训练及其抗噪性

邵晓锋 苏婧宜 王瑾

邵晓锋, 苏婧宜, 王瑾. 光电混合的光学卷积神经网络的片上训练及其抗噪性[J]. 中国光学(中英文), 2025, 18(5): 1124-1131. doi: 10.37188/CO.2025-0016
引用本文: 邵晓锋, 苏婧宜, 王瑾. 光电混合的光学卷积神经网络的片上训练及其抗噪性[J]. 中国光学(中英文), 2025, 18(5): 1124-1131. doi: 10.37188/CO.2025-0016
SHAO Xiao-feng, SU Jing-yi, WANG Jin. On-chip training and its noise immunity for hybrid optical-electronic optical convolutional neural networks[J]. Chinese Optics, 2025, 18(5): 1124-1131. doi: 10.37188/CO.2025-0016
Citation: SHAO Xiao-feng, SU Jing-yi, WANG Jin. On-chip training and its noise immunity for hybrid optical-electronic optical convolutional neural networks[J]. Chinese Optics, 2025, 18(5): 1124-1131. doi: 10.37188/CO.2025-0016

光电混合的光学卷积神经网络的片上训练及其抗噪性

cstr: 32171.14.CO.2025-0016
基金项目: 江苏省大学生创新创业训练计划项目(No. 202410293226Y)
详细信息
    作者简介:

    王 瑾(1972—),男,江苏南京人,南京邮电大学教授,博士生导师。主要学习经历:1989/09-1993/07 浙江大学信息与电子工程系,获学士学位;1993/08-2001/02 上海贝尔阿尔卡特有限公司,软硬件工程师,工程经理;2001/04-2003/08 德国卡尔斯鲁厄大学(德国首批三所精英大学之一)电子与信息工程系,获硕士学位; 2003/10-2008/05 德国卡尔斯鲁厄大学(德国首批三所精英大学之一)电子与通信工程系,获博士学位;2008/06-2011/12 德国弗劳恩霍夫通信研究所即海因利希·赫兹研究所(光通信领域世界顶级研究所),博士后研究员,高级研究员,项目负责人;2011/12-现在 南京邮电大学通信工程学院,教授,博士生导师,课题组组长。E-mail:jinwang@njupt.edu.cn

  • 中图分类号: TP394.1;TH691.9

On-chip training and its noise immunity for hybrid optical-electronic optical convolutional neural networks

Funds: Supported by Jiangsu Province College Students Innovation and Entrepreneurship Training Program (No. 202410293226Y)
More Information
  • 摘要:

    光电混合的光学卷积神经网络(OCNN)通过结合光子元件的并行线性计算能力和电子元件的非线性处理优势,在分类任务中展现了巨大的潜力。然而,光子元件的制备误差即不精确性和执行后向传播的FPGA中的电路噪声对网络性能有显著影响。本文搭建了光电混合的OCNN,其中的线性计算由基于马赫-曾德尔干涉仪(MZI)的光学计算层完成,而池化计算及训练过程则在FPGA中完成。本文着重研究了在FPGA上的片上训练方案,分析了噪声对片上训练效果的影响,并提出了增强OCNN抗噪能力的网络优化策略。具体地,通过调整池化方式和尺寸以增强OCNN的抗噪性能,并在池化层后引入Dropout正则化以进一步提升模型的识别准确率。实验结果表明,本文采用的片上训练方案能够有效修正光子元件的不精确性带来的误差,但电路噪声是限制OCNN性能的主要因素。此外,当电路噪声较大时,其造成的MZI相位误差标准差为0.003,最大池化方式与Dropout正则化的结合可以显著提升OCNN的测试准确率(最高达78%)。本研究为实现OCNN的片上训练提供了重要的参考依据,同时为光电混合架构在高噪声环境下的实际应用探索提供了新的思路。

     

  • 图 1  (a) OCNN架构示意图及(b) OCNN的片上训练实施图

    Figure 1.  (a) Schematic diagram of the OCNN architecture and (b) implementation of on-chip training for OCNN

    图 2  OCNN训练流程图

    Figure 2.  Flowchart of the OCNN training process

    图 3  (a)仅有制备误差时,OCNN离线训练与片上训练的识别准确率;(b)在制备误差与电路噪声共同存在时,OCNN离线训练与片上训练的识别准确率

    Figure 3.  (a) Recognition accuracy of OCNN offline and on-chip training, with fabrication error only; (b) recognition accuracy of OCNN offline and on-chip training, with both fabrication error and circuit noise

    图 4  在电路噪声σθ,e=0.003时,(a)~(b)不同池化尺寸的平均池化和最大池化方式下OCNN的识别准确率;(c)~(d)相应情况下的损失值

    Figure 4.  When the circuit noise σθ,e =0.003, (a) and (b) the recognition accuracies of OCNN under average pooling and maximum pooling methods with different pooling sizes; (c) and (d) the corresponding loss values

    图 5  (a)平均池化和(b)最大池化后特征图的差值热力图

    Figure 5.  Difference heatmaps of the feature map after (a) average pooling and (b) maximum pooling

    图 6  在3×3特征图上Dropout正则化结果示例(p = 0.5)

    Figure 6.  Example of Dropout regularization results on a 3×3 feature map (p = 0.5)

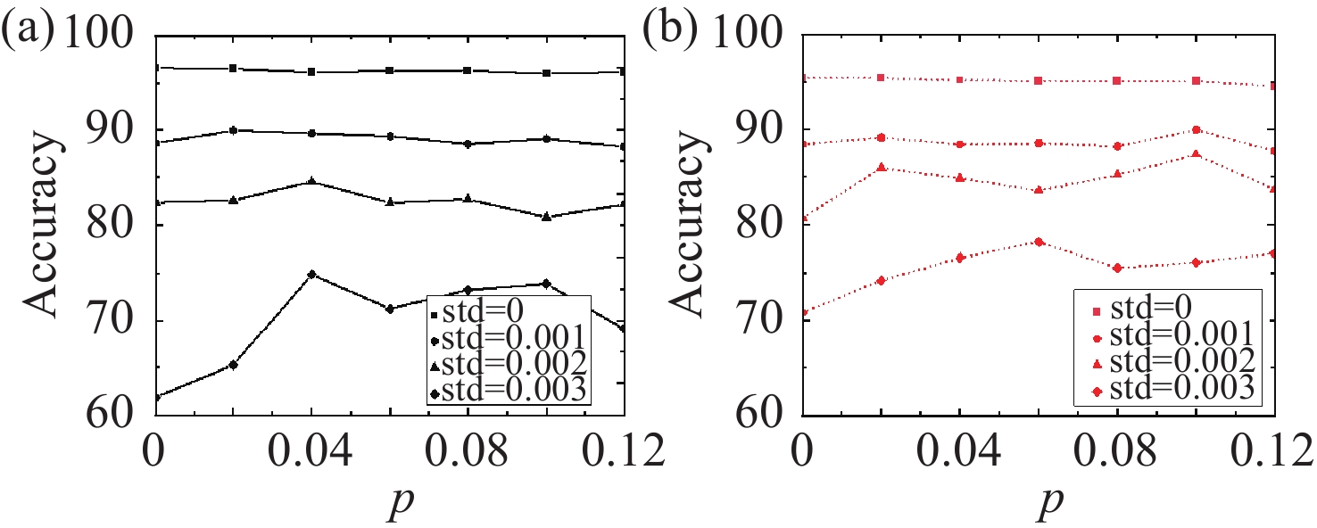
    图 7  (a)平均池化和(b)最大池化方式下OCNN在不同Dropout概率p时的识别精确度,其中电路噪声标准差分别为0、0.001、0.002、0.003

    Figure 7.  Recognition accuracies of OCNN under different dropout probabilities p with (a) average pooling, and (b) with maximum pooling (std = 0, 0.001, 0.002, and 0.003)

    表  1  OCNN的模型参数

    Table  1.   Model parameters of OCNN

    功能层 滤波器尺寸 输入尺寸 输出尺寸
    卷积层
    (等宽填充)
    8×3×3 28×28×1 28×28×8
    池化层 N×N 28×28×8 $ \dfrac{{28}}{N} \times \dfrac{{28}}{N} \times 8 $
    全连接层 $ \dfrac{{28}}{N} \times \dfrac{{28}}{N} \times 8 $ $ \dfrac{{28}}{N} \times \dfrac{{28}}{N} \times 8 $ 10
    下载: 导出CSV

    表  2  采用不同池化方式和不同尺寸的OCNN的识别准确率

    Table  2.   The recognition accuracies of OCNN with different sizes by different pooling methods and sizes

    测试准确率(%) 池化后特征图尺寸
    8×7×7 8×5×5 8×3×3
    平均池化 39.36 68.52 63.84
    最大池化 52.80 64.01 72.27
    下载: 导出CSV
  • [1] ZHAO X, WANG L M, ZHANG Y F, et al. A review of convolutional neural networks in computer vision[J]. Artificial Intelligence Review, 2024, 57(4): 99. doi: 10.1007/s10462-024-10721-6
    [2] SUN Y N, XUE B, ZHANG M J, et al. Evolving deep convolutional neural networks for image classification[J]. IEEE Transactions on Evolutionary Computation, 2020, 24(2): 394-407. doi: 10.1109/TEVC.2019.2916183
    [3] WALDROP M M. More than moore[J]. Nature, 2016, 530(7589): 144-147.
    [4] WANG Y. Neural networks on chip: From CMOS accelerators to in-memory-computing[C]. Proceedings of 2018 31st IEEE International System-on-Chip Conference (SOCC), IEEE, 2018: 1-3.
    [5] FU T ZH, ZHANG J F, SUN R, et al. Optical neural networks: progress and challenges[J]. Light: Science & Applications, 2024, 13(1): 263.
    [6] FELDMANN J, YOUNGBLOOD N, WRIGHT C D, et al. All-optical spiking neurosynaptic networks with self-learning capabilities[J]. Nature, 2019, 569(7755): 208-214. doi: 10.1038/s41586-019-1157-8
    [7] GU L X, ZHANG L F, NI R H, et al. Giant optical nonlinearity of Fermi polarons in atomically thin semiconductors[J]. Nature Photonics, 2024, 18(8): 816-822. doi: 10.1038/s41566-024-01434-x
    [8] ASHTIANI F, ON M B, SANCHEZ-JACOME D, et al. Photonic max-pooling for deep neural networks using a programmable photonic platform[C]. Proceedings of 2023 Optical Fiber Communications Conference and Exhibition (OFC), IEEE, 2023: 1-3.
    [9] SHAO X F, SU J Y, LU M H, et al. All-optical convolutional neural network with on-chip integrable optical average pooling for image classification[J]. Applied Optics, 2024, 63(23): 6263-6271. doi: 10.1364/AO.524502
    [10] YU Y Z, CAO Y, WANG G, et al. Optical diffractive convolutional neural networks implemented in an all-optical way[J]. Sensors, 2023, 23(12): 5749. doi: 10.3390/s23125749
    [11] XU SH F, WANG J, WANG R, et al. High-accuracy optical convolution unit architecture for convolutional neural networks by cascaded acousto-optical modulator arrays[J]. Optics Express, 2019, 27(14): 19778-19787. doi: 10.1364/OE.27.019778
    [12] CHENG Y, ZHANG J N, ZHOU T K, et al. Photonic neuromorphic architecture for tens-of-task lifelong learning[J]. Light: Science & Applications, 2024, 13(1): 56.
    [13] QI J, WANG SH, LIU ZH, et al. A gradient-free training approach for optical neural networks based on stochastic functions[J]. Proceedings of SPIE, 2024, 13236: 132360R.
    [14] GU J, ZHU H, FENG C, et al. L2ight: enabling on-chip learning for optical neural networks via efficient in-situ subspace optimization[C]. Proceedings of the 35th International Conference on Neural Information Processing Systems, Curran Associates Inc. , 2021: 662.
    [15] FANG M Y S, MANIPATRUNI S, WIERZYNSKI C, et al. Design of optical neural networks with component imprecisions[J]. Optics Express, 2019, 27(10): 14009-14029. doi: 10.1364/OE.27.014009
    [16] SHOKRANEH F, GEOFFROY-GAGNON S, LIBOIRON-LADOUCEUR O. The diamond mesh, a phase-error- and loss-tolerant field-programmable MZI-based optical processor for optical neural networks[J]. Optics Express, 2020, 28(16): 23495-23508. doi: 10.1364/OE.395441
    [17] MOJAVER K H R, ZHAO B K, LEUNG E, et al. Addressing the programming challenges of practical interferometric mesh based optical processors[J]. Optics Express, 2023, 31(15): 23851-23866. doi: 10.1364/OE.489493
    [18] TSAI Y H, HAMSICI O C, YANG M H. Adaptive region pooling for object detection[C]. Proceedings of 2015 IEEE Conference on Computer Vision and Pattern Recognition, IEEE, 2015: 731-739.
    [19] SRIVASTAVA N, HINTON G, KRIZHEVSKY A, et al. Dropout: a simple way to prevent neural networks from overfitting[J]. The Journal of Machine Learning Research, 2014, 15(1): 1929-1958.
    [20] CLEMENTS W R, HUMPHREYS P C, METCALF B J, et al. Optimal design for universal multiport interferometers[J]. Optica, 2016, 3(12): 1460-1465. doi: 10.1364/OPTICA.3.001460
    [21] MITTAL S. A survey of FPGA-based accelerators for convolutional neural networks[J]. Neural Computing and Applications, 2020, 32(4): 1109-1139. doi: 10.1007/s00521-018-3761-1
    [22] HAMERLY R, BANDYOPADHYAY S, ENGLUND D. Asymptotically fault-tolerant programmable photonics[J]. Nature Communications, 2022, 13(1): 6831. doi: 10.1038/s41467-022-34308-3
    [23] SALEHIN I, KANG D K. A review on dropout regularization approaches for deep neural networks within the scholarly domain[J]. Electronics, 2023, 12(14): 3106. doi: 10.3390/electronics12143106
    [24] GHOLAMALINEZHAD H, KHOSRAVI H. Pooling methods in deep neural networks, a review[J]. arxiv preprint arxiv:, 2009, 07485: 2020.
    [25] JU Y G. Scalable optical convolutional neural networks based on free-space optics using lens arrays and a spatial light modulator[J]. Journal of Imaging, 2023, 9(11): 241. doi: 10.3390/jimaging9110241
    [26] HE K M, ZHANG X Y, REN SH Q, et al. Deep residual learning for image recognition[C]. Proceedings of 2016 IEEE Conference on Computer Vision and Pattern Recognition, IEEE, 2016: 770-778.
    [27] PEARL N, TREIBITZ T, KORMAN S. NAN: Noise-aware NeRFs for burst-denoising[C]. Proceedings of 2022 IEEE/CVF Conference on Computer Vision and Pattern Recognition, IEEE, 2022: 12662-12671.
    [28] XIE J, LIU S Y, CHEN J X, et al. Huber loss based distributed robust learning algorithm for random vector functional-link network[J]. Artificial Intelligence Review, 2023, 56(8): 8197-8218. doi: 10.1007/s10462-022-10362-7
  • 加载中
图(7) / 表(2)
计量
  • 文章访问数:  603
  • HTML全文浏览量:  308
  • PDF下载量:  100
  • 被引次数: 0
出版历程
  • 收稿日期:  2025-01-21
  • 修回日期:  2025-03-06
  • 录用日期:  2025-04-18
  • 网络出版日期:  2025-05-21

目录

    /

    返回文章
    返回