Enhanced performance in AlGaN deep-ultraviolet laser diodes without an electron blocking layer by using a thin undoped Al0.8Ga0.2N strip layer structure
doi: 10.37188/CO.EN-2025-0033
-
摘要:
基于氮化铝的深紫外激光二极管通常使用电子阻挡层来防止电子泄漏到 p 型区。然而,电子阻挡层也会阻碍空穴注入有源区,导致激光效率降低。为了解决这个问题,我们建议在最后一个量子势垒之后使用未掺杂的薄 Al0.8Ga0.2N 条状结构来代替电子阻挡层。研究结果表明,与使用 电子阻挡层 的传统激光设计相比,1 nm Al0.8Ga0.2N 带状层可以通过增加有效势垒高度来有效抑制电子泄漏并增强空穴注入。有源区的载流子浓度和量子阱的重组效率提高,进而增加了激光器的输出功率。
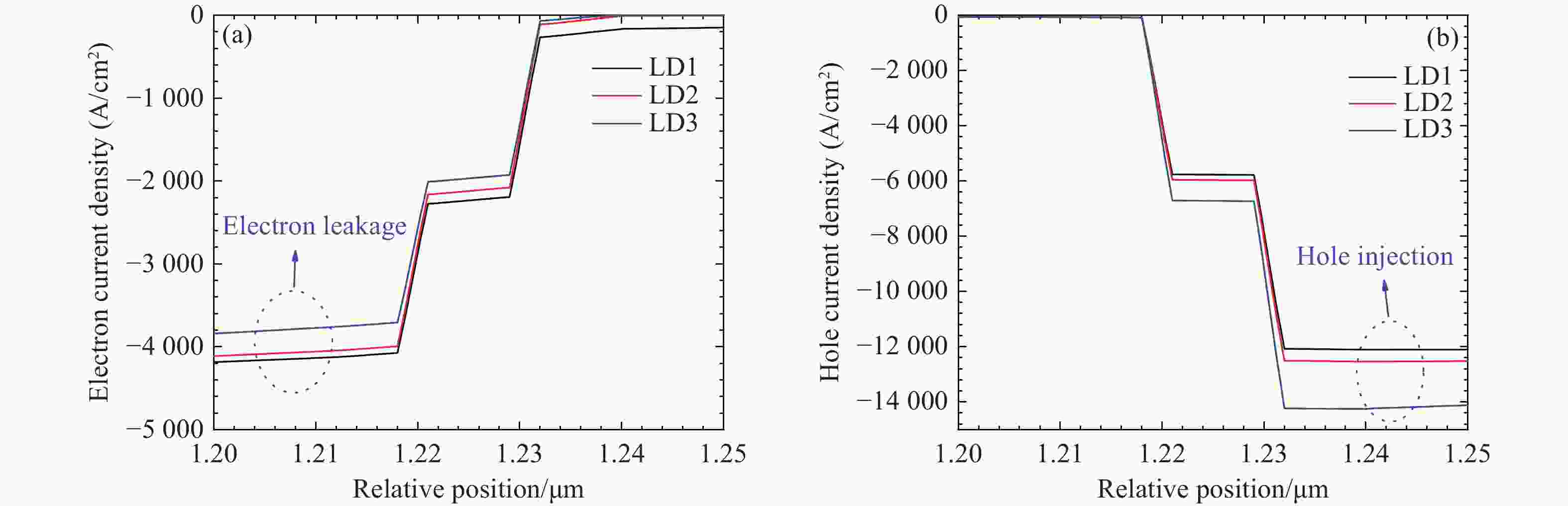
Abstract:AlGaN-based deep-ultraviolet (DUV) laser diodes (LDs) face performance challenges due to electron leakage and poor hole injection, often worsened by polarization effects from conventional electron blocking layers (EBLs). To overcome these limitations, we propose an EBL-free DUV LD design incorporating a 1-nm undoped Al0.8Ga0.2N thin strip layer after the last quantum barrier. Using PICS3D simulations, we evaluate the optical and electrical characteristics. Results show a significant increase in effective electron barrier height (from 158.2 meV to 420.7 meV) and a reduction in hole barrier height (from 149.2 meV to 62.8 meV), which enhance carrier injection and reduce leakage. The optimized structure (LD3) achieves a 14% increase in output power, improved slope efficiency (1.85 W/A), and lower threshold current. This design also reduces the quantum confined Stark effect and forms dual hole accumulation regions, improving recombination efficiency. Our findings present a promising approach for high-performance, EBL-free DUV LDs suitable for high-power applications.
-
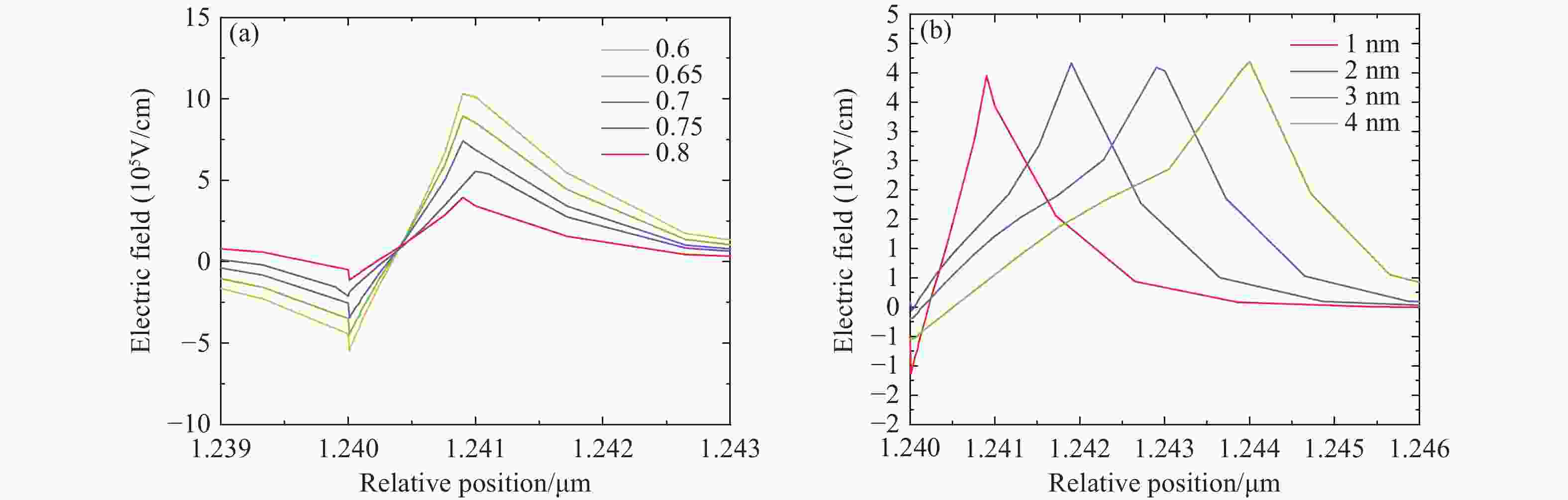
Figure 7. (a) LD2 output power of different Al components, (b) LD2 recombination rates of different Al components in MQWs, (c) output power with different thickness of Al0.8Ga0.2N strip of LD2, and (d) recombination rates with different thickness of Al0.8Ga0.2N
$ {\text{Al}}_{\text{0.8}}{\text{Ga}}_{\text{0.2}}\text{N} $ strip of LD2 in MQWsFigure 8. (a) LD3 output power of different Al components, (b) LD3 recombination rates of different Al components in MQWs, (c) output power with different thickness of Al0.8Ga0.2N
$ {\text{Al}}_{\text{0.8}}{\text{Ga}}_{\text{0.2}}\text{N} $ strip of LD3, and (d) recombination rates with different thickness of Al0.8Ga0.2N strip of LD3 in MQWs -
[1] MURAMOTO Y, KIMURA M, NOUDA S. Development and future of ultraviolet light-emitting diodes: UV-LED will replace the UV lamp[J]. Semiconductor Science and Technology, 2014, 29(8): 084004. doi: 10.1088/0268-1242/29/8/084004 [2] NAKAMURA S. Future technologies and applications of III-nitride materials and devices[J]. Engineering, 2015, 1(2): 161. doi: 10.15302/J-ENG-2015059 [3] KNEISSL M, SEONG T Y, HAN J, et al. The emergence and prospects of deep-ultraviolet light-emitting diode technologies[J]. Nature Photonics, 2019, 13(4): 233-244. doi: 10.1038/s41566-019-0359-9 [4] HINDS L M, O’DONNELL C P, AKHTER M, et al. Principles and mechanisms of ultraviolet light emitting diode technology for food industry applications[J]. Innovative Food Science & Emerging Technologies, 2019, 56: 102153. [5] HIRAYAMA H, MAEDA N, FUJIKAWA S, et al. Recent progress and future prospects of AlGaN-based high-efficiency deep-ultraviolet light-emitting diodes[J]. Japanese Journal of Applied Physics, 2014, 53(10): 100209. doi: 10.7567/JJAP.53.100209 [6] LI W M, CHANG X H. Application of UVLED in prevention and control of bacterial pollution in water purifier[J]. Journal of Appliance Science & Technology, 2020(2): 32-35. (in Chinese). [7] YU H B, REN ZH J, MEMON M H, et al. Cascaded deep ultraviolet light-emitting diode via tunnel junction[J]. Chinese Optics Letters, 2021, 19(8): 082503. doi: 10.3788/COL202119.082503 [8] HIRAYAMA H. Research status and prospects of deep ultraviolet devices[J]. Journal of Semiconductors, 2019, 40(12): 120301. doi: 10.1088/1674-4926/40/12/120301 [9] SATO K, YASUE S, YAMADA K, et al. Room-temperature operation of AlGaN ultraviolet-B laser diode at 298 nm on lattice-relaxed Al0.6Ga0.4N/AlN/sapphire[J]. Applied Physics Express, 2020, 13(3): 031004. doi: 10.35848/1882-0786/ab7711 [10] MUROTANI H, TANABE R, HISANAGA K, et al. High internal quantum efficiency and optically pumped stimulated emission in AlGaN-based UV-C multiple quantum wells[J]. Applied Physics Letters, 2020, 117(16): 162106. doi: 10.1063/5.0027697 [11] GU W, LU Y, LIN R Y, et al. BAlN for III-nitride UV light-emitting diodes: undoped electron blocking layer[J]. Journal of Physics D: Applied Physics, 2021, 54(17): 175104. doi: 10.1088/1361-6463/abdefc [12] SHI L, DU P, TAO G Y, et al. High efficiency electron-blocking-layer-free deep ultraviolet LEDs with graded Al-content AlGaN insertion layer[J]. Superlattices and Microstructures, 2021, 158: 107020. doi: 10.1016/j.spmi.2021.107020 [13] LIU M R, LIU CH. Enhanced carrier injection in AlGaN-based deep ultraviolet light-emitting diodes by polarization engineering at the LQB/p-EBL interface[J]. IEEE Photonics Journal, 2022, 14(3): 8228005. [14] CHANG J Y, HUANG M F, CHEN F M, et al. Effects of quantum barriers and electron-blocking layer in deep-ultraviolet light-emitting diodes[J]. Journal of Physics D: Applied Physics, 2018, 15(7): 075106. [15] DELANEY K T, RINKE P, VAN DE WALLE C G. Auger recombination rates in nitrides from first principles[J]. Applied Physics Letters, 2009, 94(19): 191109. doi: 10.1063/1.3133359 [16] IVELAND J, MARTINELLI L, PERETTI J, et al. Direct measurement of Auger electrons emitted from a semiconductor light-emitting diode under electrical injection: identification of the dominant mechanism for efficiency droop[J]. Physical Review Letters, 2013, 110(17): 177406. doi: 10.1103/PhysRevLett.110.177406 [17] TAN C K, ZHANG J, LI X H, et al. First-principle electronic properties of dilute-as GaNAs alloy for visible light emitters[J]. Journal of Display Technology, 2013, 9(4): 272-279. doi: 10.1109/JDT.2013.2248342 [18] HAI X, RASHID R T, SADAF S M, et al. Effect of low hole mobility on the efficiency droop of AlGaN nanowire deep ultraviolet light emitting diodes[J]. Applied Physics Letters, 2019, 114(10): 101104. doi: 10.1063/1.5091517 [19] ZHANG ZH D, SUN H Q, LI X, et al. Performance enhancement of blue light-emitting diodes with an undoped AlGaN electron-blocking layer in the active region[J]. Journal of Display Technology, 2016, 12(6): 573-576. doi: 10.1109/JDT.2015.2509001 [20] TAN C K, TANSU N. Auger recombination rates in dilute-As GaNAs semiconductor[J]. AIP Advances, 2015, 5(5): 057135. doi: 10.1063/1.4921394 [21] ZHANG Z Y, KUSHIMOTO M, YOSHIKAWA A, et al. Continuous-wave lasing of AlGaN-based ultraviolet laser diode at 274.8 nm by current injection[J]. Applied Physics Express, 2022, 15(4): 041007. doi: 10.35848/1882-0786/ac6198 [22] ZHANG Z Y, KUSHIMOTO M, YOSHIKAWA A, et al. Experimental study of gain characteristics in relation to quantum-well width of deep-ultraviolet laser diodes[J]. Applied Physics Letters, 2024, 125(18): 183505. doi: 10.1063/5.0240488 [23] XING ZH Q, WANG F, WANG Y, et al. Enhanced performance in deep-ultraviolet laser diodes with an undoped BGaN electron blocking layer[J]. Optics Express, 2022, 30(20): 36446-36455. doi: 10.1364/OE.469338 [24] ZHANG A X, REN B Y, WANG F, et al. Study of AlGaN-based deep ultraviolet laser diodes using one-way step-shaped quantum barriers and symmetrical step-shaped electron and hole blocking layers[J]. Optical Engineering, 2022, 61(10): 106101. [25] NAKARMI M L, KIM K H, KHIZAR M, et al. Electrical and optical properties of Mg-doped Al0.7Ga0.3 N alloys[J]. Applied Physics Letters, 2005, 86(9): 092108. doi: 10.1063/1.1879098 [26] VELPULA R T, JAIN B, LENKA T R, et al. Polarization-engineered p-Type electron-blocking-layer-free III-nitride deep-ultraviolet light-emitting diodes for enhanced carrier transport[J]. Journal of Electronic Materials, 2022, 51(2): 838-846. doi: 10.1007/s11664-021-09363-z [27] ZHANG Y Y, FAN G H, ZHANG T. Performance enhancement of blue light-emitting diodes without an electron-blocking layer by using p-Type doped barriers and a hole-blocking layer of low Al mole fraction[J]. IEEE Journal of Quantum Electronics, 2012, 48(2): 169-174. doi: 10.1109/JQE.2011.2167600 [28] ZHANG Z Y, KUSHIMOTO M, SAKAI T, et al. A 271.8 nm deep-ultraviolet laser diode for room temperature operation[J]. Applied Physics Express, 2019, 12(12): 124003. doi: 10.7567/1882-0786/ab50e0 [29] SHARIF M N, USMAN M, NIASS M I, et al. Compositionally graded AlGaN hole source layer for deep-ultraviolet nanowire light-emitting diode without electron blocking layer[J]. Nanotechnology, 2021, 33(7): 075205. [30] VELPULA R T, JAIN B, BUI H Q T, et al. Improving carrier transport in AlGaN deep-ultraviolet light-emitting diodes using a strip-in-a-barrier structure[J]. Applied Optics, 2020, 59(17): 5276-5281. doi: 10.1364/AO.394149 [31] WEINOLD M P, KOLESNIKOV S, ANADÓN L D. Rapid technological progress in white light-emitting diodes and its source in innovation and technology spillovers[J]. Nature Energy, 2025, 10(5): 616-629. doi: 10.1038/s41560-025-01757-1 [32] PICS3D. Crosslight Software Inc. , Burnaby, Canada[EB/OL]. https://3390-ca.all.biz/.(查阅网上资料,未能确认本条文献修改是否正确,请确认)(查阅网上资料,未找到引用日期,请补充). [33] LIN R H, GALAN S V, SUN H D, et al. Tapering-induced enhancement of light extraction efficiency of nanowire deep ultraviolet LED by theoretical simulations[J]. Photonics Research, 2018, 6(5): 457-462. doi: 10.1364/PRJ.6.000457 [34] YEN S H, KUO Y K. Polarization-dependent optical characteristics of violet InGaN laser diodes[J]. Journal of Applied Physics, 2008, 103(10): 103115. doi: 10.1063/1.2937247 [35] FIORENTINI V, BERNARDINI F, AMBACHER O. Evidence for nonlinear macroscopic polarization in III–V nitride alloy heterostructures[J]. Applied Physics Letters, 2002, 80(7): 1204-1206. doi: 10.1063/1.1448668 [36] NAKAMURA S, FASOL G. The Blue Laser Diode: GaN Based Light Emitters and Lasers[M]. Berlin: Springer, 1997. [37] VURGAFTMAN I, MEYER J R, RAM-MOHAN L R. Band parameters for III–V compound semiconductors and their alloys[J]. Journal of Applied Physics, 2001, 89(11): 5815-5875. doi: 10.1063/1.1368156 [38] LI H, ZHANG J Y, WEN W, et al. Highly efficient light-emitting diodes via self-assembled InP quantum dots[J]. Nature Communications, 2025, 16(1): 4257. doi: 10.1038/s41467-025-59527-2 [39] ZHENG Y ZH, LIN X, LI J ZH, et al. In situ n-doped nanocrystalline electron-injection-layer for general-lighting quantum-dot LEDs[J]. Nature Communication, 2025, 16(1): 3362. doi: 10.1038/s41467-025-58471-5 [40] ZHANG Z Q, GENG H S, LV ZH X, et al. Manipulating precursors of group-III nitrides for high-Al-content p-AlGaN toward efficient deep ultraviolet light emitters[J]. Applied Physics Letters, 2024, 125(24): 241109. doi: 10.1063/5.0247937 [41] JIANG ZH A, ZHU Y H, XIA CH SH, et al. Enhanced characteristics in AlGaN-based deep ultraviolet light-emitting diodes with interval-graded barrier superlattice electron blocking layers[J]. Micro and Nanostructures, 2024, 191: 207869. doi: 10.1016/j.micrna.2024.207869 [42] ZHU X T, LUO X, DENG Y ZH, et al. Doping bilayer hole-transport polymer strategy stabilizing solution-processed green quantum-dot light-emitting diodes[J]. Science Advances, 2024, 10(33): eado0614. doi: 10.1126/sciadv.ado0614 -
下载:

