Broadband tunable operation of compact Yb:CGYA disordered crystal laser
doi: 10.37188/CO.EN-2025-0029
-
摘要:
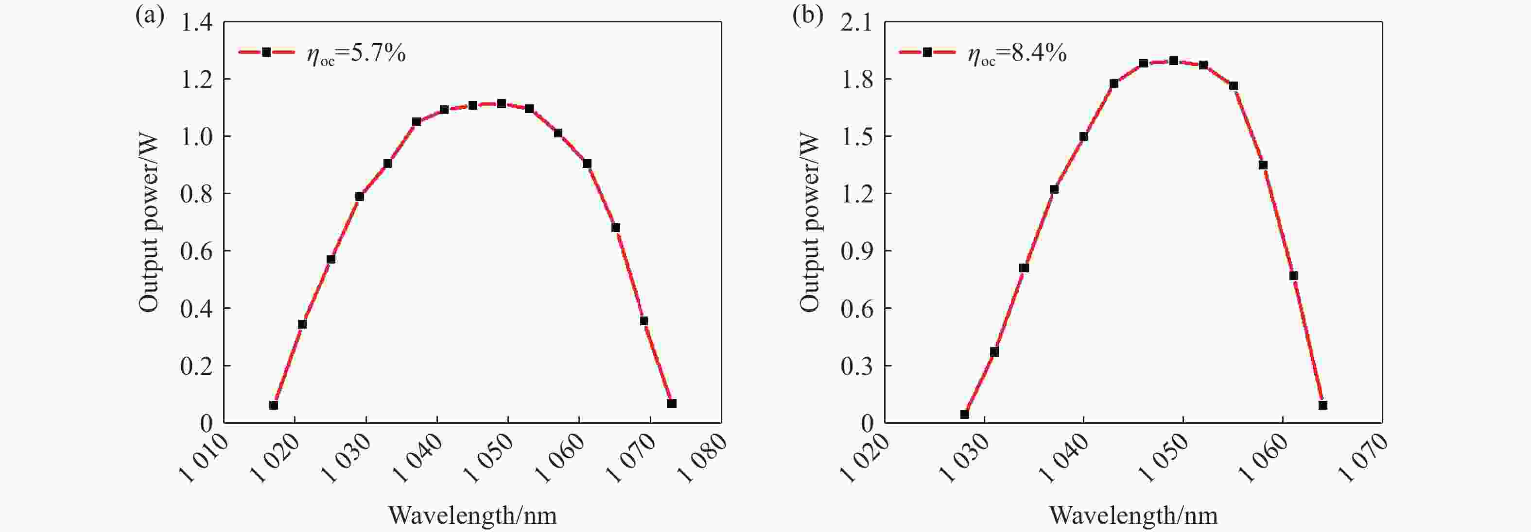
利用直拉法成功合成了具有高光学质量的Yb:CaGd0.33Y0.625AlO4 (Yb:CGYA) 激光晶体。引入Gd3+离子有助于保持原始结构,并有效诱导Yb3+离子发射光谱的非均匀展宽。Yb:CGYA 晶体的荧光发射峰波长为
1053 nm,对应的半峰全宽为 93 nm。通过使用双折射滤波片实现了从1017 nm至1073 nm的可调谐激光输出,这是迄今为止在短腔中报道的最宽调谐范围。这种紧凑型激光器为其在1 μm波段附近的应用提供了巨大潜力。Abstract:A Yb:CaGd0.33Y0.625AlO4 (Yb:CGYA) laser crystal of high optical quality has been successfully synthesized via the Czochralski method. The introduction of Gd3+ ions preserves the original structure and efficiently generates inhomogeneous broadening of the Yb3+ ion emission spectra. The fluorescence emission peak wavelength of the Yb:CGYA crystal is
1053 nm, and the corresponding measured full width at half-maximum is 93 nm. A tunable laser output ranging from1017 nm to1073 nm is achieved by using a birefringent filter, which represents the broadest tuning range reported in a short cavity to date. The compact laser offers significant advantages for its applications around the 1 μm wavelength band.-
Key words:
- Yb:CGAY /
- broadband laser /
- disorder crystal
-
Table 1. Components and parameters in the experimental setup of the Yb:CGYA laser
Component Parameter M1 Plano-concave lens, Radius of curvature of 150 mm, Plane coated with anti-reflection film at 980 nm (η>90%),
Spherical coated with high-reflection film at1049 nm (η>99.9%).OC M2: Flat mirror, η=5.7% ( 1049 nm), Reflectance of 96% at 976 nm.
M3: Flat mirror, η=8.4% (1049 nm), Reflectance of 96% at 976 nm.
M4: Flat mirror, η=16.9% (1049 nm), Reflectance of 85% at 976 nm.BF Thickness: 0.05 mm. Filter Long-pass filter, Cut-off wavelength at 1000 nm, transmittance below 0.01% in the range of 900 nm to1000 nm,
and transmittance above 97% in1000 nm to1100 nm. -
[1] TIAN W L, PENG Y N, ZHANG Z Y, et al. Diode-pumped power scalable Kerr-lens mode-locked Yb: CYA laser[J]. Photonics Research, 2018, 6(2): 127-131. doi: 10.1364/PRJ.6.000127 [2] GREBORIO A, GUANDALINI A, AUS DER AU J. Sub-100 fs pulses with 12.5-W from Yb: CALGO based oscillators[J]. Proceedings of SPIE, 2012, 8235: 823511. doi: 10.1117/12.906575 [3] DÉLEN X, PIEHLER S, DIDIERJEAN J, et al. 250 W single-crystal fiber Yb: YAG laser[J]. Optics Letters, 2012, 37(14): 2898-2900. doi: 10.1364/OL.37.002898 [4] AKBARI R, FEDOROVA K A, RAFAILOV E U, et al. Diode-pumped ultrafast Yb: KGW laser with 56 fs pulses and multi-100 kW peak power based on SESAM and Kerr-lens mode locking[J]. Applied Physics B, 2017, 123(4): 123. doi: 10.1007/s00340-017-6701-3 [5] HU Q Q, JIA ZH T, VOLPI A, et al. Crystal growth and spectral broadening of a promising Yb: CaLuxGd1-xAlO4 disordered crystal for ultrafast laser application[J]. CrystEngComm, 2017, 19(12): 1643-1647. doi: 10.1039/C7CE00019G [6] PETIT P O, PETIT J, GOLDNER P, et al. Inhomogeneous broadening of optical transitions in Yb: CaYAlO4[J]. Optical Materials, 2008, 30(7): 1093-1097. doi: 10.1016/j.optmat.2007.05.017 [7] ORTAÇ B, SCHMIDT O, SCHREIBER T, et al. High-energy femtosecond Yb-doped dispersion compensation free fiber laser[J]. Optics Express, 2007, 15(17): 10725-10732. doi: 10.1364/OE.15.010725 [8] BRUNNER F, PASCHOTTA R, AUS DER AU J, et al. Widely tunable pulse durations from a passively mode-locked thin-disk Yb: YAG laser[J]. Optics Letters, 2001, 26(6): 379-381. doi: 10.1364/OL.26.000379 [9] INNERHOFER E, SUDMEYER T, BRUNNER F, et al. 60 W average power in picosecond pulses from a passively mode-locked Yb: YAG thin-disk laser[C]. Proceedings of the Summaries of Papers Presented at the Lasers and Electro-Optics. CLEO'02. Technical Diges, IEEE, 2002: 152-153. [10] XU X D, ZHAO ZH W, XU J, et al. Crystal growth and spectral properties of Yb3Al5O12[J]. Journal of Crystal Growth, 2003, 257(3-4): 272-275. doi: 10.1016/S0022-0248(03)01418-0 [11] BRUESSELBACH H W, SUMIDA D S, REEDER R A, et al. Low-heat high-power scaling using InGaAs-diode-pumped Yb: YAG lasers[J]. IEEE Journal of Selected Topics in Quantum Electronics, 1997, 3(1): 105-116. doi: 10.1109/2944.585822 [12] LIU J, CANO‐TORRES J M, CASCALES C, et al. Growth and continuous‐wave laser operation of disordered crystals of Yb3+: NaLa(WO4)2 and Yb3+: NaLa(MoO4)2[J]. Physica Status Solidi (A), 2005, 202(4): R29-R31. [13] JACQUEMET M, JACQUEMET C, JANEL N, et al. Efficient laser action of Yb: LSO and Yb: YSO oxyorthosilicates crystals under high-power diode-pumping[J]. Applied Physics B, 2005, 80(2): 171-176. doi: 10.1007/s00340-004-1698-9 [14] DU J, LIANG X Y, XU Y, et al. Continuous-wave diode-pumped Yb3+: LYSO tunable laser[J]. Proceedings of SPIE, 2007, 6279: 627963. doi: 10.1117/12.725506 [15] DU J, LIANG X Y, XU Y, et al. Tunable and efficient diode-pumped Yb3+: GYSO laser[J]. Optics Express, 2006, 14(8): 3333-3338. doi: 10.1364/OE.14.003333 [16] LI W X, HAO Q, ZHAI H, et al. Low-threshold and continuously tunable Yb: Gd2SiO5 laser[J]. Applied Physics Letters, 2006, 89(10): 101125. doi: 10.1063/1.2349281 [17] ZHANG H Y, LI J F, LIANG X Y, et al. High-power and wavelength tunable diode-pumped continuous wave Yb: SSO laser[J]. Chinese Optics Letters, 2012, 10(11): 111404. doi: 10.3788/COL201210.111404 [18] LI D ZH, XU X D, ZHU H M, et al. Characterization of laser crystal Yb: CaYAlO4[J]. Journal of the Optical Society of America B, 2011, 28(7): 1650-1654. doi: 10.1364/JOSAB.28.001650 [19] ZHAO L N, YUAN Y, TONG L Y, et al. Broadly tunable optical vortex beam in a diode-pumped Yb: CALGO laser[J]. Optics & Laser Technology, 2021, 141: 107134. [20] TAN W D, TANG D Y, XU X D, et al. Room temperature diode‐pumped Yb: CaYAlO4 laser with near quantum limit slope efficiency[J]. Laser Physics Letters, 2011, 8(3): 193-196. doi: 10.1002/lapl.201010106 [21] PETIT P O, GOLDNER P, VIANA B, et al. Diode pumping of Yb3+: CaGdAlO4[J]. Proceedings of SPIE, 2008, 6998: 69980Z. doi: 10.1117/12.783945 [22] KUSTOV E F, PETROV V P, PETROVA D S, et al. Absorption and luminescence spectra of Nd3± and Er3± ions in monocrystals of CaYAlO4[J]. Physica Status Solidi (A), 1977, 41(2): 379-383. doi: 10.1002/pssa.2210410204 [23] LAGATSKII A A, KULESHOV N V, SHCHERBITSKII V G, et al. Lasing characteristics of a diode-pumped Nd3+: CaGdAlO4 crystal[J]. Quantum Electronics, 1997, 27(1): 15-17. doi: 10.1070/QE1997v027n01ABEH000726 [24] DI J Q, SAI Q L, SUN X H, et al. Dual-wavelength and efficient continuous-wave operation of a Yb: CaGd0.1Y0.9AlO4 laser[J]. Laser Physics, 2018, 28(5): 055803. doi: 10.1088/1555-6611/aaad43 [25] LI ZH Q, LIN ZH L, ZENG H J, et al. Diode-pumped Kerr-lens mode-locked ytterbium-doped compositional mixed calcium aluminate laser[J]. Optics Express, 2024, 32(23): 40507-40513. doi: 10.1364/OE.541656 [26] ZHAO Z W, HU W J, ZHU S Q, et al. Wide-wavelength-tunable operation of Tm: GYAP disordered crystal laser with birefringence filtering[J]. Optik, 2024, 308: 171817. doi: 10.1016/j.ijleo.2024.171817 [27] TAIRA T, SAIKAWA J, KOBAYASHI T, et al. Diode-pumped tunable Yb: YAG miniature lasers at room temperature: modeling and experiment[J]. IEEE Journal of Selected Topics in Quantum Electronics, 1997, 3(1): 100-104. doi: 10.1109/2944.585821 [28] BRENIER A, GUYOT Y, CANIBANO H, et al. Growth, spectroscopic, and laser properties of Yb3+-doped Lu3Al5O12 garnet crystal[J]. Journal of the Optical Society of America B, 2006, 23(4): 676-683. doi: 10.1364/JOSAB.23.000676 -
下载: