留言板

尊敬的读者、作者、审稿人, 关于本刊的投稿、审稿、编辑和出版的任何问题, 您可以本页添加留言。我们将尽快给您答复。谢谢您的支持!

姓名
邮箱
手机号码
标题
留言内容
验证码

基于相位收敛驱动的通用化超构器件伴随优化方法

张越 尹浩然 王硕 韩晓泉 邹承均 吴晓斌

张越, 尹浩然, 王硕, 韩晓泉, 邹承均, 吴晓斌. 基于相位收敛驱动的通用化超构器件伴随优化方法[J]. 中国光学(中英文). doi: 10.37188/CO.2025-0161
引用本文: 张越, 尹浩然, 王硕, 韩晓泉, 邹承均, 吴晓斌. 基于相位收敛驱动的通用化超构器件伴随优化方法[J]. 中国光学(中英文). doi: 10.37188/CO.2025-0161
ZHANG YUE, YIN Hao-ran, WANG Shuo, HAN Xiao-quan, ZOU Cheng-jun, WU Xiao-bin. A generalized adjoint optimization method for metasurfaces enabled by phase-convergence[J]. Chinese Optics. doi: 10.37188/CO.2025-0161
Citation: ZHANG YUE, YIN Hao-ran, WANG Shuo, HAN Xiao-quan, ZOU Cheng-jun, WU Xiao-bin. A generalized adjoint optimization method for metasurfaces enabled by phase-convergence[J]. Chinese Optics. doi: 10.37188/CO.2025-0161

基于相位收敛驱动的通用化超构器件伴随优化方法

cstr: 32171.14.CO.2025-0161
基金项目: 中国科学院战略性先导科技专项资助项目(No. XDA0380104)
详细信息
    作者简介:

    张 越(2001—),男,安徽阜阳人,2023年于清华大学获得学士学位,现为中国科学院微电子研究所硕士研究生,主要从事微纳器件的设计和紫外超构光学方面的研究。E-mail:zhangyue24@ime.ac.cn

    邹承均(1990—),男,江西九江人,博士,研究员,2017年于阿德莱德大学获得博士学位。主要从动态超表面、微纳器件智能设计、空间光计算器件研究等领域的研究。E-mail:zouchengjun@ime.ac.cn

    吴晓斌(1979—),男,浙江东阳人,博士,研究员,2009年于清华大学获得博士学位。主要从事先进光刻,精密光学检测等方面的研究。E-mail:wuxiaobin@ime.ac.cn

  • 中图分类号: TP394.1;TH691.9

A generalized adjoint optimization method for metasurfaces enabled by phase-convergence

Funds: Supported by the Strategic Priority Research Program of the Chinese Academy of Sciences (No. XDA0380104)
More Information
  • 摘要:

    本文构建了一种以相位调控机制为核心的超构器件通用伴随优化方法。该方法的核心在于建立了一个梯度-结构映射模型,将复数域的伴随梯度转化为物理可实现的结构更新量,从而在结构扰动与相位响应之间确立了稳定的迭代关系,最终实现对器件表面相位的逐点精确调控。其中伴随仿真始终采用单个电偶极子激励,无需针对不同设计任务重新构建伴随源;不同功能需求的差异完全可以通过结构更新映射的调整来实现,从而使该方法能够在统一仿真模型下高效处理多类型波前调控任务。在此基础上,完成了多类超构器件的数值设计验证。二维纳米柱超透镜实现了接近衍射极限的聚焦性能,衍射效率为 83.9%;基于线性相位梯度的超光栅实现了 30° 的输出偏折,+1 级衍射效率为 72.4%;设计的双焦点透镜汇聚效率达到 67.2%;全息超表面能够清晰重建中空三角形图案,对应能量集中度约为 60.3%。结果表明,所提出方法具有伴随源构建简单、计算效率高、结构类型适应性强等优势,可在统一框架下高效完成不同类型超构器件的逆向设计,为超构表面在成像、波前工程、紫外探测等领域的深入应用提供了一种可行方案。

     

  • 图 1  (a)超构单元结构及其(b)相位锁定机制。(a)单元结构示意图;(b)目标点相位负反馈更新示意图。

    Figure 1.  (a) Metasurface unit cell structure and (b) phase-locking mechanism

    图 2  伴随优化流程图。其中相位参数θ(x,y)的推算除依赖 β(x,y)外,通常还需预先确定伴随仿真中偶极子源的位置,见式(9)。

    Figure 2.  Adjoint optimization flowchart. The parameter θ(x,y) is determined from β(x,y) once the dipole-source position in the adjoint simulation is specified; see Eq. (9).

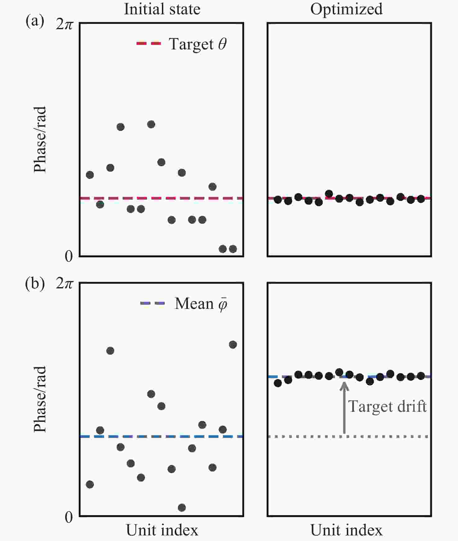
    图 3  两种伴随源策略下相位序列的收敛对比。(a) 恒定相位策略:单元相位(黑点)向固定目标(红色虚线)对齐。(b) 变相位策略:单元相位向自身均值(蓝色虚线)收敛

    Figure 3.  Comparison of convergence mechanisms under two different adjoint-source strategies. (a) Constant phase strategy: unit phases (black dots) align with a fixed target (red dashed line). (b) Variable phase strategy: unit phases converge toward their own mean (blue dashed line)

    图 4  焦点相位在不同参数设置下的迭代与收敛情况。(a)(b) 为 α = 0时的θ扫描;(c)(d) 为θ = 0条件下的α扫描。相位均以 (−180°, 180°] 包裹

    Figure 4.  Iteration and convergence of the focal phase under different parameter settings. (a, b) θ sweeps with α = 0; (c, d) α sweeps with θ = 0. All phase values are wrapped to (−180°, 180°]

    图 5  (a) xz平面中的归一化光强分布,虚线标识实际焦点的位置。(b) 目标焦点附近的电场归一化实部分布。(c) xy平面中的归一化光强分布。(d) 焦平面内焦点处沿 x 方向的归一化光强分布

    Figure 5.  (a) Normalized intensity distribution in the xz-plane, with the dashed line indicating actual focal position. (b) Normalized real part of the electric field in the vicinity of the target focus. (c) Normalized intensity distribution in the xy-plane. (d) Normalized intensity profile along the x direction in the focal plane

    图 6  不同更新策略的优化对比。 (a) 归一化焦点电场强度,以蓝线最大值为基准;(b) 焦点电场相位, 范围为(−180°, 180°]。蓝色实线和橙色虚线分别对应实部与虚部梯度更新

    Figure 6.  Comparison of different optimization strategies. (a) Normalized focal electric field intensity, referenced to the maximum value of the blue solid line. (b) Focal electric field phase, wrapped to (−180°, 180°]. The blue solid and orange dashed lines indicate gradient updates based on the real and imaginary parts, respectively

    图 7  超光栅器件。(a) 波前偏折分布,箭头示意偏折方向;(b) 出射场频谱分布,其中ux, uy为方向余弦。双焦点器件:(c) xz 平面归一化光强分布,虚线交点表示仿真得到的实际最大光强位置;(d) 焦平面(xy)的归一化光强分布。全息器件:(e) 目标中空三角形图案的光强分布,三角形外缘与孔径边界分别以实线和虚线表示;(f) 器件重建的全息图案。

    Figure 7.  Metagrating. (a) Deflected wavefront distribution, with the arrow indicating the deflection direction; (b) spatial spectrum of the transmitted field, where ux and uy denote the directional cosines. Bifocal lens: (c) Normalized intensity distribution in the xz-plane, where the intersection of the dashed lines marks the simulated position of maximum intensity; (d) normalized intensity distribution on the focal (xy) plane. Holographic metasurface: (e) Target intensity pattern of the hollow triangle, with its outer boundary and inner aperture indicated by solid and dashed lines, respectively; (f) reconstructed holographic pattern

    表  1  传统方案与本文伴随源构造方案的定量对比

    Table  1.   Quantitative comparison of conventional and proposed adjoint-source constructions

    指标 传统方案 本文方案
    FDTD Yee
    网格节点总数
    3.76 MNodes 2.62 MNodes
    (模型相同)
    单轮仿真时间
    (正向+伴随)
    174.4 s 121.5 s
    (典型值,ξ=0°)
    稳定所需代数 18 19(典型值,ξ=0°)
    优化后
    目标焦点相位
    77.2° 2.8°,(ξ=0°)
    90.9°,(ξ=90°)
    178.2°,(ξ=180°)
    优化后目标
    焦点强度
    (归一化)
    1 1.13,(ξ=0°)
    1.29,(ξ=90°)
    0.95,(ξ=180°)
    优化后实际
    焦点位置误差
    0.52 μm 0.35 μm,(ξ=0°)
    0.30 μm,(ξ=90°)
    0.68 μm,(ξ=180°)
    下载: 导出CSV
  • [1] YU N F, CAPASSO F. Flat optics with designer metasurfaces[J]. Nature Materials, 2014, 13(2): 139-150. doi: 10.1038/nmat3839
    [2] PERTSCH T, XIAO SH M, MAJUMDAR A, et al. Optical metasurfaces: fundamentals and applications[J]. Photonics Research, 2023, 11(5): OMFA1-OMFA3. doi: 10.1364/PRJ.487440
    [3] QIU Y, YAN D X, FENG Q Y, et al. Vanadium dioxide-assisted switchable multifunctional metamaterial structure[J]. Optics Express, 2022, 30(15): 26544-26556. doi: 10.1364/OE.465062
    [4] KILDISHEV A V, BOLTASSEVA A, SHALAEV V M. Planar photonics with metasurfaces[J]. Science, 2013, 339(6125): 1232009. doi: 10.1126/science.1232009
    [5] HU ZH K, GU M N, TIAN Y, et al. Review for optical metalens based on metasurfaces: fabrication and applications[J]. Microsystems & Nanoengineering, 2025, 11(1): 189. doi: 10.1038/s41378-025-01064-5
    [6] XU M X, YAN D X, WANG Y, et al. Graphene-assisted dual-frequency third harmonic generation in nonlinear metamaterials for high-efficiency on-chip terahertz integration[J]. Frontiers of Physics, 2026, 21(4): 044201. doi: 10.15302/frontphys.2026.044201
    [7] CHEN W T, ZHU A Y, SANJEEV V, et al. A broadband achromatic metalens for focusing and imaging in the visible[J]. Nature Nanotechnology, 2018, 13(3): 220-226. doi: 10.1038/s41565-017-0034-6
    [8] KIM J, KIM Y, KIM W, et al. 8″ wafer-scale, centimeter-sized, high-efficiency metalenses in the ultraviolet[J]. Materials Today, 2024, 73: 9-15. doi: 10.1016/j.mattod.2024.01.010
    [9] ZENG Y H, ZHONG H P, LONG ZH W, et al. From performance to structure: a comprehensive survey of advanced metasurface design for next-generation imaging[J]. npj Nanophotonics, 2025, 2(1): 39. doi: 10.1038/s44310-025-00081-6
    [10] KAMALI S M, ARBABI E, KWON H, et al. Metasurface-generated complex 3-dimensional optical fields for interference lithography[J]. Proceedings of the National Academy of Sciences of the United States of America, 2019, 116(43): 21379-21384.
    [11] KAGIAS M, LEE S, FRIEDMAN A C, et al. Metasurface-enabled holographic lithography for impact-absorbing nanoarchitected sheets[J]. Advanced Materials, 2023, 35(13): 2209153.
    [12] ZHAO J, ZHANG L, LIANG H W. Advances in metasurface‐based terahertz sensing[J]. Advanced Physics Research, 2024, 3(12): 2400077. doi: 10.1002/apxr.202400077
    [13] IWANAGA M, HU Q, TANG Y H. Metasurface biosensors: status and prospects[J]. Applied Physics Reviews, 2025, 12(2): 021305. doi: 10.1063/5.0253333
    [14] CAO Y J, WU CH J, LI X J, et al. A deep learning-surrogate optimization strategy for the design of two-dimensional terahertz metamaterial absorbers[J]. Infrared Physics & Technology, 2026, 153: 106350. doi: 10.1016/j.infrared.2025.106350
    [15] COTRUFO M, ESFAHANI S, KOROBKIN D, et al. Temporal signal processing with nonlocal optical metasurfaces[J]. npj Nanophotonics, 2024, 1(1): 39. doi: 10.1038/s44310-024-00039-0
    [16] ZHOU H Q, ZHAO CH L, HE C, et al. Optical computing metasurfaces: applications and advances[J]. Nanophotonics, 2024, 13(4): 419-441. doi: 10.1515/nanoph-2023-0871
    [17] LI L L, ZHAO H T, LIU CH, et al. Intelligent metasurfaces: control, communication and computing[J]. eLight, 2022, 2(1): 7. doi: 10.1186/s43593-022-00013-3
    [18] ARBABI A, HORIE Y, BAGHERI M, et al. Dielectric metasurfaces for complete control of phase and polarization with subwavelength spatial resolution and high transmission[J]. Nature nanotechnology, 2015, 10(11): 937-943. doi: 10.1038/nnano.2015.186
    [19] PAN M Y, FU Y F, ZHENG M J, et al. Dielectric metalens for miniaturized imaging systems: progress and challenges[J]. Light: Science & Applications, 2022, 11(1): 195.
    [20] ISNARD E, HÉRON S, LANTERI S, et al. Advancing wavefront shaping with resonant nonlocal metasurfaces: beyond the limitations of lookup tables[J]. Scientific Reports, 2024, 14(1): 1555. doi: 10.1038/s41598-024-51898-8
    [21] CHOI M, PARK J, SHIN J, et al. Realization of high-performance optical metasurfaces over a large area: a review from a design perspective[J]. npj Nanophotonics, 2024, 1(1): 31. doi: 10.1038/s44310-024-00029-2
    [22] ZHOU Y L, LIU Y K, LIANG H W, et al. Efficient inverse design of large-scale, ultrahigh-numerical-aperture metalens[J]. Photonics, 2024, 11(10): 940. doi: 10.3390/photonics11100940
    [23] LI ZH Y, PESTOURIE R, LIN Z, et al. Empowering metasurfaces with inverse design: principles and applications[J]. ACS Photonics, 2022, 9(7): 2178-2192. doi: 10.1021/acsphotonics.1c01850
    [24] ELSAWY M M R, LANTERI S, DUVIGNEAU R, et al. Numerical optimization methods for metasurfaces[J]. Laser & Photonics Reviews, 2020, 14(10): 1900445. doi: 10.1002/lpor.201900445
    [25] KANG C, PARK C, LEE M, et al. Large-scale photonic inverse design: computational challenges and breakthroughs[J]. Nanophotonics, 2024, 13(20): 3765-3792. doi: 10.1515/nanoph-2024-0127
    [26] YANG G T, XIAO Q X, ZHANG ZH L, et al. Exploring AI in metasurface structures with forward and inverse design[J]. iScience, 2025, 28(3): 111995. doi: 10.1016/j.isci.2025.111995
    [27] PAN Z Y, PAN X M. Deep learning and adjoint method accelerated inverse design in photonics: a review[J]. Photonics, 2023, 10(7): 852. doi: 10.3390/photonics10070852
    [28] ZHONG G B, XU H D, ZHANG R T, et al. Highly efficient perfectly vertical grating couplers based on the adjoint optimization for O-band operation[J]. Optics Communications, 2025, 596: 132505. doi: 10.1016/j.optcom.2025.132505
    [29] XU H D, TIAN Y, LI Y, et al. Inverse design of highly-efficient and broadband polarization beam splitter on SOI platform[J]. Optics Communications, 2024, 572: 130986. doi: 10.1016/j.optcom.2024.130986
    [30] SELL D, YANG J J, DOSHAY S, et al. Large-angle, multifunctional metagratings based on freeform multimode geometries[J]. Nano Letters, 2017, 17(6): 3752-3757. doi: 10.1021/acs.nanolett.7b01082
    [31] 桑迪, 徐明峰, 安强, 等. 基于拓扑优化的自由形状波分复用超光栅[J]. 物理学报, 2022, 71(22): 224204. doi: 10.7498/aps.71.20221013

    SANG D, XU M F, AN Q, et al. Freeform wavelength division multiplexing metagrating based on topology optimization[J]. Acta Physica Sinica, 2022, 71(22): 224204. (in Chinese). doi: 10.7498/aps.71.20221013
    [32] DAINESE P, MARRA L, CASSARA D, et al. Shape optimization for high efficiency metasurfaces: theory and implementation[J]. Light: Science & Applications, 2024, 13(1): 300.
    [33] ZHANG D S, LIU ZH ZH, YANG X T, et al. Inverse design of multifunctional metasurface based on multipole decomposition and the adjoint method[J]. ACS Photonics, 2022, 9(12): 3899-3905. doi: 10.1021/acsphotonics.2c01187
    [34] MILLER O D. Photonic design: from fundamental solar cell physics to computational inverse design[D]. Berkeley: University of California, 2012.
    [35] MANSOUREE M, KWON H, ARBABI E, et al. Multifunctional 2.5D metastructures enabled by adjoint optimization[J]. Optica, 2020, 7(1): 77-84. doi: 10.1364/OPTICA.374787
    [36] MANSOUREE M, MCCLUNG A, SAMUDRALA S, et al. Large-scale parametrized metasurface design using adjoint optimization[J]. ACS Photonics, 2021, 8(2): 455-463. doi: 10.1021/acsphotonics.0c01058
    [37] PHAN T, SELL D, WANG E W, et al. High-efficiency, large-area, topology-optimized metasurfaces[J]. Light: Science & Applications, 2019, 8: 48.
    [38] PARK J S, LIM S W D, AMIRZHAN A, et al. All-glass 100 mm diameter visible metalens for imaging the cosmos[J]. ACS Nano, 2024, 18(4): 3187-3198. doi: 10.1021/acsnano.3c09462
  • 加载中
图(7) / 表(1)
计量
  • 文章访问数:  75
  • HTML全文浏览量:  43
  • PDF下载量:  8
  • 被引次数: 0
出版历程
  • 收稿日期:  2025-12-25
  • 录用日期:  2026-03-02
  • 网络出版日期:  2026-04-21

目录

    /

    返回文章
    返回