Coherence characteristics of optical transmission based on an atmosphere-wave-ocean coupling model
-
摘要:
针对激光在空海跨域下行传输过程中受到大气湍流、气-海界面扰动和海洋湍流等多源、多尺度复杂扰动的影响,研究了光束空间相干性的演化规律,并提出了一种基于复合扰动模型的分析方法。基于Kolmogorov理论、Pierson-Moskowitz(P-M)海面波动谱以及斜程海洋折射率空间功率谱,构建了空海跨域复合扰动模型;结合Rytov近似理论,建立了互相干函数与波结构函数的解析关系,并进一步推导了高斯光束在斜程海洋湍流中的波结构函数表达式。各模型组件均通过独立验证。结果表明,湍流强度、传输距离及环境参数的变化均会显著影响光束的空间相干性,从而对跨域空间光通信系统性能产生重要影响。与单一湍流近似模型相比,所提出的复合扰动模型能够有效修正近似模型空间相干性的预测偏差,修正幅度约为20%-30%,并揭示了多源扰动对光束空间相干性演化规律的作用机制。该复合扰动模型为空海跨域光通信链路的性能评估与系统优化提供了有效支撑,有助于提升实际环境中光通信系统的稳定性与可靠性。
Abstract:During downward laser transmission across the air–sea domain, beam propagation is influenced by a range of complex, multi-source and multi-scale perturbations, including atmospheric turbulence, fluctuations at the air–sea interface, and oceanic turbulence. This study investigates the evolution of beam spatial coherence and introduces an analytical approach based on a composite perturbation model. The composite model integrates Kolmogorov turbulence theory, the Pierson–Moskowitz (P–M) sea-surface wave spectrum, and the slant-path oceanic refractive-index power spectrum. By employing the Rytov approximation, analytical expressions for the mutual coherence function and wave structure function are derived, with particular focus on the wave structure function of a Gaussian beam propagating through slant-path oceanic turbulence. Each component of the model has been individually validated. Experimental results demonstrate that variations in turbulence intensity, propagation distance, and environmental parameters significantly affect beam spatial coherence, thereby exerting a substantial impact on the performance of cross-domain optical communication systems. Compared to single-turbulence approximation models, the proposed composite perturbation model effectively reduces the spatial coherence bias by approximately 20%-30%, revealing the influence mechanisms of multi-source perturbations on coherence evolution. This model provides an effective theoretical foundation for the performance evaluation and optimization of air–sea optical communication links and enhances the stability and reliability of optical communication systems under realistic conditions.
-
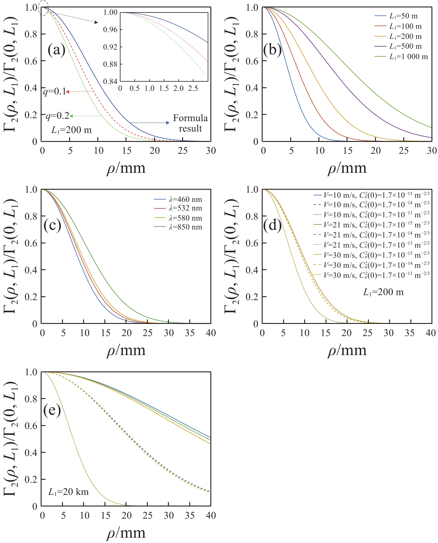
图 3 大气湍流下行传输中,高斯光束在不同参数下的归一化互相干函数变化。(a) ρ;(b) L1; (c) λ;(d)和(e) V和
$ C_{n}^{2}\left(0\right) $ ,L1=200 m,L1=20 km;(d)和(e)共用图例Figure 3. Variation of normalized mutual coherence function of Gaussian beam propagating downward through atmospheric turbulence under various parameters. (a) ρ; (b) L1; (c) λ;(d) and (e) V and
$ C_{n}^{2}\left(0\right) $ with L1=200 m,L1=20 km. The legends for (d) and (e) are shared. -
[1] 商志刚, 张红玉, 刘凇佐, 等. 空海跨域通信研究现状与发展趋势[J]. 水下无人系统学报, 2024, 32(4): 592-610. doi: 10.11993/j.issn.2096-3920.2024-0115SHANG ZH G, ZHANG H Y, LIU S Z, et al. Research progress and development trend of air-sea cross-domain communication[J]. Journal of Unmanned Undersea Systems, 2024, 32(4): 592-610. (in Chinese). doi: 10.11993/j.issn.2096-3920.2024-0115 [2] 陈纯毅, 杨华民, 任斌, 等. 激光大气湍流传输数值实验建模与计算机模拟[J]. 系统仿真学报, 2018, 30(6): 2133-2143.CHEN CH Y, YANG H M, REN B, et al. Modeling and computer simulation of numerical experiments on laser propagation through atmospheric turbulence[J]. Journal of System Simulation, 2018, 30(6): 2133-2143. (in Chinese). [3] 柯熙政, 邓莉君. 无线光通信[M]. 北京: 科学出版社, 2016: 8, 103, 145-148.KE X ZH, DENG L J. Wireless Optical Communication[M]. Beijing: Science Press, 2016: 8, 103, 145-148. (in Chinese)(查阅网上资料, 未找到对应的英文翻译, 请确认). [4] 饶瑞中. 现代大气光学[M]. 北京: 科学出版社, 2012: 370.RAO R ZH. Modern Atmospheric Optics[M]. Beijing: Science Press, 2012: 370. (in Chinese)(查阅网上资料, 未找到对应的英文翻译, 请确认). [5] 张凡, 罗江华, 李军, 等. 光束跨波动水空界面传输的表征与验证[J]. 中国激光, 2023, 50(19): 1905001. doi: 10.3788/CJL221266ZHANG F, LUO J H, LI J, et al. Characterization and validation of beam transmission through wavy water-to-air surface[J]. Chinese Journal of Lasers, 2023, 50(19): 1905001. (in Chinese). doi: 10.3788/CJL221266 [6] 陈纯毅, 杨华民, 姜会林, 等. 大气光通信中大气湍流影响抑制技术研究进展[J]. 兵工学报, 2009, 30(6): 779-791. doi: 10.3321/j.issn:1000-1093.2009.06.022CHEN CH Y, YANG H M, JIANG H L, et al. Research progress of mitigation technologies of turbulence effects in atmospheric optical communication[J]. Acta Armamentarii, 2009, 30(6): 779-791. (in Chinese). doi: 10.3321/j.issn:1000-1093.2009.06.022 [7] CHEN CH Y, YANG H M, KAVEHRAD M, et al. Validity of quadratic two-source spherical wave structure functions in analysis of beam propagation through generalized atmospheric turbulence[J]. Optics Communications, 2014, 332: 343-349. doi: 10.1016/j.optcom.2014.07.040 [8] CHEN CH Y, YANG H M, TONG SH F, et al. Two-frequency mutual coherence function for Gaussian-beam pulses propagating along a horizontal path in weak anisotropic atmospheric turbulence[J]. Applied Optics, 2015, 54(18): 5797-5804. doi: 10.1364/AO.54.005797 [9] CHEN CH Y, YANG H M. 5-DoF-transformation-based statistical characterization of optical-wave fluctuations arising from propagation in atmospheric turbulence with arbitrarily orientated anisotropy ellipsoids[J]. Optics Express, 2025, 33(4): 8445-8467. doi: 10.1364/OE.546050 [10] 侯政诚, 张明明, 白胜闯, 等. 一维阵列涡旋光束在海面大气中的传输特性[J]. 中国光学(中英文), 2024, 17(2): 300-311. doi: 10.37188/CO.2023-0094HOU ZH CH, ZHANG M M, BAI SH CH, et al. Propagation properties of one-dimensional array vortex beams in a marine atmosphere[J]. Chinese Optics, 2024, 17(2): 300-311. (in Chinese). doi: 10.37188/CO.2023-0094 [11] 杨慧哲, 张贞钰, 刘进, 等. 基于投影光瞳分布的星地激光通信波前探测[J]. 光学 精密工程, 2024, 32(7): 945-955.YANG H ZH, ZHANG ZH Y, LIU J, et al. Wavefront sensing for FSO systems based on projected pupil plane pattern[J]. Optics and Precision Engineering, 2024, 32(7): 945-955. (in Chinese). [12] 李辉, 娄岩, 赵义武, 等. 空间分集光密钥生成的信道相关性影响[J]. 光学 精密工程, 2024, 32(13): 2128-2140. doi: 10.37188/OPE.20243213.2128LI H, LOU Y, ZHAO Y W, et al. Channel correlation impact on spatial diversity optical key generation[J]. Optics and Precision Engineering, 2024, 32(13): 2128-2140. (in Chinese). doi: 10.37188/OPE.20243213.2128 [13] KOROTKOVA O, FARWELL N. Effect of oceanic turbulence on polarization of stochastic beams[J]. Optics Communications, 2011, 284(7): 1740-1746. doi: 10.1016/j.optcom.2010.12.024 [14] FARWELL N, KOROTKOVA O. Intensity and coherence properties of light in oceanic turbulence[J]. Optics Communications, 2012, 285(6): 872-875. doi: 10.1016/j.optcom.2011.10.020 [15] ATA Y, BAYKAL Y. Structure functions for optical wave propagation in underwater medium[J]. Waves in Random and Complex Media, 2014, 24(2): 164-173. doi: 10.1080/17455030.2014.884735 [16] LU L, JI X L, LI X Q, et al. Influence of oceanic turbulence on propagation characteristics of Gaussian array beams[J]. Optik, 2014, 125(24): 7154-7161. doi: 10.1016/j.ijleo.2014.07.113 [17] 卢腾飞, 张凯宁, 吴志军, 等. 椭圆涡旋光束在海洋湍流中的传输特性[J]. 中国光学, 2020, 13(2): 323-332. doi: 10.3788/co.20201302.0323LU T F, ZHANG K N, WU ZH J, et al. Propagation properties of elliptical vortex beams in turbulent ocean[J]. Chinese Optics, 2020, 13(2): 323-332. (in Chinese). doi: 10.3788/co.20201302.0323 [18] YU B, CHEN CH Y, MENG F J. Wave structure function and spatial coherence radius of plane waves propagating through atmospheric and oceanic turbulence[J]. Proceedings of SPIE, 2025, 13564: 8-13. doi: 10.1117/12.3059103 [19] 于波, 陈纯毅, 孟凡军, 等. 空海跨域通信双波模型传输相干统计特性研究[J]. 应用光学, 2025, 46(6): 1471-1479. doi: 10.5768/JAO202546.0608002YU B, CHEN CH Y, MENG F J, et al. Coherent statistical characteristics of two-wave model for air-sea cross-domain communication transmission[J]. Journal of Applied Optics, 2025, 46(6): 1471-1479. (in Chinese). doi: 10.5768/JAO202546.0608002 [20] ANDREWS L C, PHILLIPS R L. Laser Beam Propagation Through Random Media[M]. 2nd ed. Bellingham: SPIE, 2005. [21] PIERSON JR W J, MOSKOWITZ L. A proposed spectral form for fully developed wind seas based on the similarity theory of S. A. Kitaigorodskii[J]. Journal of Geophysical Research: Oceans, 1964, 69(24): 5181-5190. doi: 10.21236/ad0421610 [22] 侯学隆, 黄启来, 沈培志. 基于FFT的海浪实时仿真方法[J]. 计算机工程, 2009, 35(22): 256-258,261. doi: 10.3969/j.issn.1000-3428.2009.22.088HOU X L, HUANG Q L, SHEN P ZH. Ocean wave real-time simulation method based on FFT[J]. Computer Engineering, 2009, 35(22): 256-258,261. (in Chinese). doi: 10.3969/j.issn.1000-3428.2009.22.088 [23] LI Y, LI B L, JIANG H L. Displacements of a spatially limited light beam in the slant path of oceanic turbulence[J]. Optics Express, 2022, 30(14): 24232-24244. doi: 10.1364/OE.461026 [24] BOWERS D G, SIMPSON J H. Mean position of tidal fronts in European-shelf seas[J]. Continental Shelf Research, 1987, 7(1): 35-44. doi: 10.1016/0278-4343(87)90062-8 [25] BOGUCKI D J, HUGUENARD K, HAUS B K, et al. Scaling laws for the upper ocean temperature dissipation rate[J]. Geophysical Research Letters, 2015, 42(3): 839-846. doi: 10.1002/2014GL062235 [26] DUNTLEY S Q. Light in the Sea[J]. Journal of the Optical Society of America, 1963, 53(2): 214-233. -
下载:


