留言板

尊敬的读者、作者、审稿人, 关于本刊的投稿、审稿、编辑和出版的任何问题, 您可以本页添加留言。我们将尽快给您答复。谢谢您的支持!

姓名
邮箱
手机号码
标题
留言内容
验证码

多层介质膜激光诱导损伤改进模型与实验研究

王震 涂帅 张蓉竹

王震, 涂帅, 张蓉竹. 多层介质膜激光诱导损伤改进模型与实验研究[J]. 中国光学(中英文). doi: 10.37188/CO.2025-0146
引用本文: 王震, 涂帅, 张蓉竹. 多层介质膜激光诱导损伤改进模型与实验研究[J]. 中国光学(中英文). doi: 10.37188/CO.2025-0146
WANG Zhen, TU Shuai, ZHANG Rong-zhu. Improved model and experimental study of laser-induced damage in multilayer dielectric films[J]. Chinese Optics. doi: 10.37188/CO.2025-0146
Citation: WANG Zhen, TU Shuai, ZHANG Rong-zhu. Improved model and experimental study of laser-induced damage in multilayer dielectric films[J]. Chinese Optics. doi: 10.37188/CO.2025-0146

多层介质膜激光诱导损伤改进模型与实验研究

cstr: 32171.14.CO.2025-0146
基金项目: 国家自然科学基金(No. 62205316)
详细信息
    作者简介:

    王 震(1995—),男,湖北黄冈人,四川大学博士研究生。2017年于三峡大学获得光电信息科学与工程专业学士学位,2020年于四川大学获得光学工程专业硕士学位,主要从事激光与薄膜互作用方面的研究。E-mail:935086783@qq.com

    张蓉竹(1975—),女,贵州贵阳人,四川大学教授,博士生导师,2003年于四川大学电子原息学院获得博士学位,主要从事高功率激光系统方面的研究。E-mail:zhang_rz@scu.edu.cn

  • 中图分类号: TN24

Improved model and experimental study of laser-induced damage in multilayer dielectric films

Funds: Supported by National Natural Science Foundation of China(NO. 62205316)
More Information
  • 摘要:

    多层介质薄膜结构会调制光场,因此在研究激光诱导损伤特性时,有必要考虑薄膜体系内部的能量分布以及由此引起的材料光学性质变化。以 HfO2/SiO2多层介质薄膜结构为例,基于激光诱导电离/电子倍增过程,在光场计算中引入Drude模型,将膜层折射率由静态常数扩展为由自由电子密度驱动的动态复折射率。在此基础上耦合热传导(及热应力)模型,计算纳秒脉冲激光作用下薄膜内部的热效应演化,并求得相应的损伤阈值为13.65 J/cm2,同时开展实验研究其损伤特性。可观察到HfO2/SiO2多层介质薄膜的损伤形貌为圆孔状,属于典型的热熔融型损伤,测得的损伤阈值13.75 J/cm2,略高于理论分析结果,与理论模型结论吻合。本文建立的改进模型有助于从理论层面进一步分析强激光与多层介质薄膜的相互作用,并更好地研究光学薄膜的抗损伤能力。

     

  • 图 1  激光辐照下多层介质膜的理论模型

    Figure 1.  Theoretical model of multilayer dielectric films under laser irradiation

    图 2  波长1064 nm激光辐照下膜内的光场强度分布

    Figure 2.  Optical field intensity distribution inside the film under 1064 nm laser irradiation

    图 3  波长1064 nm激光辐照下膜内各参数变化趋势。(a) 电场沿深度分布;(b) 自由电子数密度沿深度分布;(c) 折射率实部沿深度分布;(d) 折射率虚部沿深度分布;(e) 电场随时间变化;(f) 自由电子数密度随时间变化

    Figure 3.  Variation of film parameters under 1064 nm laser irradiation. (a) Electric field distribution along depth; (b) free electron density distribution along depth; (c) real refractive index distribution along depth; (d) imaginary refractive index distribution along depth; (e) electric field variation over time; (f) free electron density variation over time

    图 4  波长355 nm激光辐照下膜内电场沿深度分布

    Figure 4.  Optical field intensity under 355 nm laser irradiation (Drude-Improved vs. Initial)

    图 5  脉宽为7 ns的纳秒激光辐照下薄膜内的温度变化曲线。(a) 薄膜中心处轴向温度变化曲线;(b)温度最高点随时间的变化曲线

    Figure 5.  Temperature variation curves within the film under 7-ns laser irradiation. (a) Axial temperature variation curve at the center of the film; (b) temperature peak variation curve over time

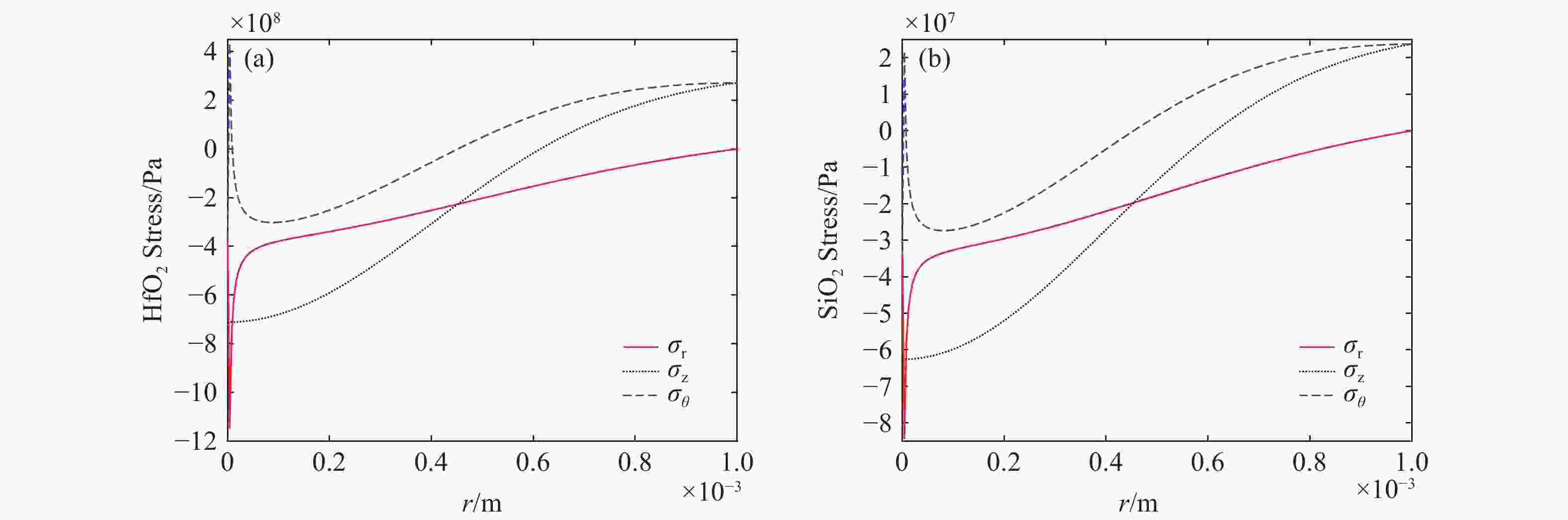
    图 6  纳秒激光脉冲辐照下膜内热应力场分布。(a)径向应力;(b)环向应力;(c)轴向应力

    Figure 6.  Thermal stress distribution within the film under laser pulse irradiation. (a) Radial stress; (b) hoop stress; (c) axial stress

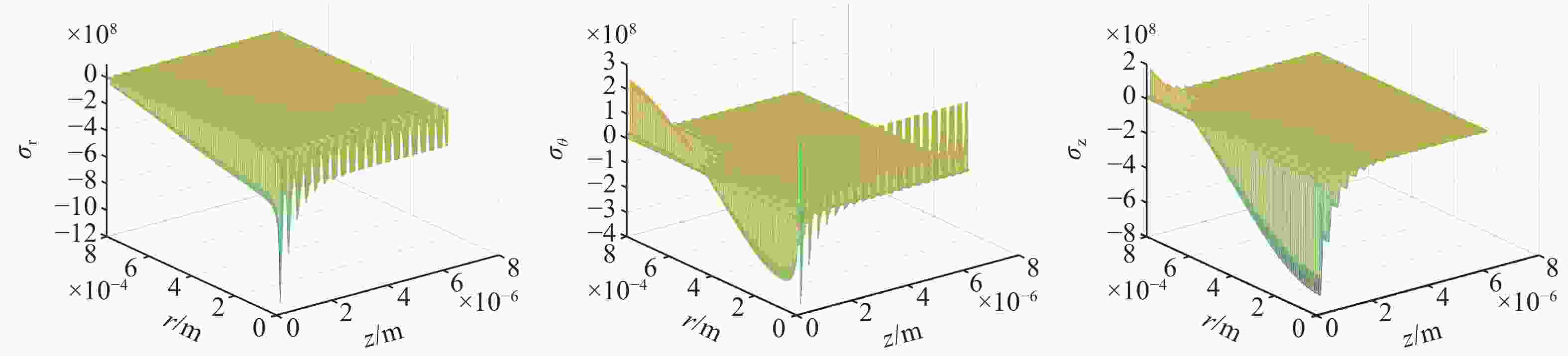
    图 7  纳秒激光脉冲辐照下膜层的最大热应力场分布。 (a) HfO2膜层; (b) SiO2膜层

    Figure 7.  Maximum thermal stress distribution within the film irradiated by laser pulses. (a) HfO2; (b) SiO2

    图 8  实验装置光路图

    Figure 8.  Optical path diagram of the experimental setup

    图 9  不同激光能量辐照后膜层的损伤形貌。(a)激光能量密度12.5 J/cm2;(b)激光能量密度14.5 J/cm2;(c)激光能量密度20.0 J/cm2;(d)激光能量密度25.0 J/cm2;(e)激光能量密度30.0 J/cm2

    Figure 9.  Damage morphology within the film after irradiation with different laser energies Laser energy density is (a) 12.5 J/cm2, (b) 14.5 J/cm2, (c) 20.0 J/cm2, (d) 25.0 J/cm2, (e) 30.0 J/cm2

    表  1  HfO2/SiO2的相关计算参数[13-14]

    Table  1.   Related calculation parameters of HfO2/SiO2

    Parameter Symbol HfO2 SiO2
    Band gap $ {E}_{g}/({\mathrm{eV}}) $ 5.5 7.8
    Effective electron mass $ m/({10}^{-31}{\mathrm{kg}}) $ 0.39×9.11 0.50×9.11
    Electron saturated drift velocity $ {v}_{s}/({10}^{5}\;{\mathrm{m}}\cdot {{\mathrm{s}}}^{-1}) $ 2.0 2.0
    Refractive index $ {n}_{0} $ 1.97 1.45
    Heat capacity density $ \rho c/({10}^{6}\;{\mathrm{J}}\cdot {{\mathrm{m}}}^{-3}\cdot {{\mathrm{K}}}^{-1}) $ 4.65 2.10
    Thermal conductivity $ K/({\mathrm{W}}\cdot {{\mathrm{m}}}^{-1}\cdot {{\mathrm{K}}}^{-1}) $ 2.0 1.19
    Melting point $ T/({\mathrm{K}}) $ 3073 1997
    Young’s modulus $ \gamma /({10}^{10}\;{\mathrm{Pa}}) $ 24.0 8.7
    Thermal coefficient of expansion $ \beta /({10}^{-6}\;{{\mathrm{K}}}^{-1}) $ 5.6 0.5
    Poisson’s ratio $ \nu $ 0.27 0.17
    下载: 导出CSV
  • [1] KOZLOWSKI M R, THOMAS I M, CAMPBELL J H, et al. High-power optical coatings for a megajoule class ICF laser[J]. Proceedings of SPIE, 1993, 1780: 17802L. doi: 10.1117/12.983267
    [2] 毛思达, 邹永刚, 范杰, 等. 离子后处理对TiO2光学薄膜及损伤特性的影响[J]. 光学 精密工程, 2019, 27(7): 1451-1457. doi: 10.3788/OPE.20192707.1451

    MAO S D, ZOU Y G, FAN J, et al. Influence of plasma treatment on optical and damage properties of TiO2 thin films[J]. Optics and Precision Engineering, 2019, 27(7): 1451-1457. (in Chinese). doi: 10.3788/OPE.20192707.1451
    [3] 刘瑞斌, 殷允嵩. 激光诱导击穿光谱技术相关物理机制研究进展[J]. 中国光学(中英文), 2024, 17(1): 19-37. doi: 10.37188/CO.2023-0019

    LIU R B, YIN Y S. Research progress on the related physical mechanism of laser-induced breakdown spectroscopy[J]. Chinese Optics, 2024, 17(1): 19-37. (in Chinese). doi: 10.37188/CO.2023-0019
    [4] 陈斐, 王树青, 程年恺, 等. 高重频声光门控自吸收免疫激光诱导击穿光谱技术分析研究[J]. 中国光学(中英文), 2024, 17(2): 253-262.

    CHEN F, WANG SH Q, CHENG N K, et al. Study and analysis of self-absorption-free laser-induced breakdown spectroscopy with high-repetition rate acousto-optic gating[J]. Chinese Optics, 2024, 17(2): 253-262. (in Chinese).
    [5] 钱方, 彭佳琦, 许永博. 脉冲激光辐照背照式CMOS图像传感器损伤机理研究[J]. 中国光学(中英文), 2025, 18(2): 256-265. doi: 10.37188/CO.2024-0139

    QIAN F, PENG J Q, XU Y B. Damage mechanism of back-illuminated CMOS image sensor irradiated by pulsed laser[J]. Chinese Optics, 2025, 18(2): 256-265. (in Chinese). doi: 10.37188/CO.2024-0139
    [6] 杨艳, 张慧敏, 张旭霖, 等. TiO2/PSS薄膜对Kretschmann型传感器光谱的调制[J]. 中国光学(中英文), 2025, 18(2): 297-306. doi: 10.37188/CO.2024-0125

    YANG Y, ZHANG H M, ZHANG X L, et al. Modulation of a Kretschmann-type sensor’s spectra using TiO2/PSS thin films[J]. Chinese Optics, 2025, 18(2): 297-306. (in Chinese). doi: 10.37188/CO.2024-0125
    [7] 辛亚武, 彭永超, 张宇翔, 等. 可见/近红外多波段激光滤光膜的研制[J]. 中国光学(中英文), 2026, 19(1): 239-249.

    XIN Y W, PENG Y CH, ZHANG Y X, et al. Development of visible/near-infrared multiband laser filter film[J]. Chinese Optics, 2026, 19(1): 239-249. (in Chinese).
    [8] DU L F, ZHU X B, ZHANG R ZH. The thermal-stress accumulation in anti-reflective coatings with multi-pulse laser irradiation[J]. Optics Communications, 2015, 350: 263-269. doi: 10.1016/j.optcom.2015.04.009
    [9] CAI Y, ZHOU M L, MA ZH L, et al. Spectrum method for laser induced damage in dielectric thin films[J]. Proceedings of SPIE, 2015, 9543: 95430C. doi: 10.1117/12.2181798
    [10] WU SH J, SU J H, LI D J, et al. The effect of the applied electric field on laser-induced damage of dielectric thin films[J]. Materials Research Express, 2017, 4(1): 016403. doi: 10.1088/2053-1591/4/1/016403
    [11] ZHOU Q, MA P, QIU F M, et al. Material ejection and layer peeling-off in HfO2/SiO2 thin-film beam splitters induced by 1ω and 3ω lasers[J]. Optical Materials, 2022, 125: 111894. doi: 10.1016/j.optmat.2021.111894
    [12] 郑梦珂, 李杰, 张蓉竹, 等. 激光诱导多层光学薄膜损伤分析与仿真[J]. 光学学报, 2022, 42(1): 0131001. doi: 10.3788/AOS202242.0131001

    ZHENG M K, LI J, ZHANG R ZH, et al. Analysis and simulation on damage characteristics of multilayer optical film by pulsed laser[J]. Acta Optica Sinica, 2022, 42(1): 0131001. (in Chinese). doi: 10.3788/AOS202242.0131001
    [13] GROSSO G, PARRAVICINI G P. Solid State Physics[M]. 2nd ed. Amsterdam: Academic Press, 2013.
    [14] LI F Y, LIU G D, DU L F, et al. Comparisons and analyses of the properties of laser-induced damage to SiO2 and ZnS[J]. Journal of Modern Optics, 2014, 61(14): 1158-1163. doi: 10.1080/09500340.2014.924597
    [15] MANSURIPUR M, CONNELL G A N, GOODMAN J W. Laser-induced local heating of multilayers[J]. Applied Optics, 1982, 21(6): 1106-1114. doi: 10.1364/AO.21.001106
    [16] WANG ZH, ZHANG R ZH, CHEN M. Analysis of composite wavelength multilayer dielectric film damage based on the field-thermal effect[J]. Journal of the Optical Society of America B, 2024, 41(11): 2589-2598. doi: 10.1364/JOSAB.534813
    [17] WANG F, CHEN K J, GAO F, et al. Analysis of laser-induced damage in optical thin film based on ANSYS[J]. Proceedings of SPIE, 2018, 10964: 109642M. doi: 10.1117/12.2505819
    [18] WEBER M J. Handbook of Optical Materials[M]. Boca Raton: CRC Press, 2002.
    [19] WAKAKI M. Optical Materials and Applications[M]. Boca Raton: CRC Press, 2017.
  • 加载中
图(9) / 表(1)
计量
  • 文章访问数:  244
  • HTML全文浏览量:  173
  • PDF下载量:  11
  • 被引次数: 0
出版历程
  • 网络出版日期:  2026-02-11

目录

    /

    返回文章
    返回