留言板

尊敬的读者、作者、审稿人, 关于本刊的投稿、审稿、编辑和出版的任何问题, 您可以本页添加留言。我们将尽快给您答复。谢谢您的支持!

姓名
邮箱
手机号码
标题
留言内容
验证码

射频波导CO2激光放大技术

董祝君 张冉冉 周益平 曾文彬 赵崇霄 黄盼 郭劲 陈飞 潘其坤

董祝君, 张冉冉, 周益平, 曾文彬, 赵崇霄, 黄盼, 郭劲, 陈飞, 潘其坤. 射频波导CO2激光放大技术[J]. 中国光学(中英文). doi: 10.37188/CO.2025-0113
引用本文: 董祝君, 张冉冉, 周益平, 曾文彬, 赵崇霄, 黄盼, 郭劲, 陈飞, 潘其坤. 射频波导CO2激光放大技术[J]. 中国光学(中英文). doi: 10.37188/CO.2025-0113
DONG Zhu-jun, ZHANG Ran-ran, ZHOU Yi-ping, ZENG Wen-bin, ZHAO Chong-xiao, HUANG Pan, GUO Jin, CHEN Fei, PAN Qi-kun. CO2 laser amplification technology based on RF waveguide[J]. Chinese Optics. doi: 10.37188/CO.2025-0113
Citation: DONG Zhu-jun, ZHANG Ran-ran, ZHOU Yi-ping, ZENG Wen-bin, ZHAO Chong-xiao, HUANG Pan, GUO Jin, CHEN Fei, PAN Qi-kun. CO2 laser amplification technology based on RF waveguide[J]. Chinese Optics. doi: 10.37188/CO.2025-0113

射频波导CO2激光放大技术

cstr: 32171.14.CO.2025-0113
基金项目: 国家自然科学基金(No. 62405313,No. 62335016,No. 12305222);中国科学院战略先导科技专项(No. XDA 0380200);中国科学院青年创新促进会(No. 2021216)
详细信息
    作者简介:

    董祝君(1999—),男,河北唐山人,中国科学院长春光学精密机械与物理研究所光学工程学术型硕士在读,主要从事射频波导脉冲CO2激光放大器方面的研究。E-mail:dongzhujun1234@163.com

    张冉冉(1994—),男,山东济宁人,博士,副研究员。2021年于中国科学院长春光机所获得博士学位,现任职于中国科学院长春光机所光电对抗研究部,主要从事气体激光器及其应用等领域的研究。E-mail:zhangrrciomp@163.com

    周益平(1993—),男,黑龙江哈尔滨人,博士,助理研究员,2023年于哈尔滨工业大学获得博士学位,现任职于中国科学院长春光学精密机械与物理研究所,主要从事激光技术与EUV光源等领域的研究。E-mail:zhouyiping2020@126.com

    曾文彬(1993-),男,江西抚州人,博士,助理研究员,主要从事系统可靠性、脉冲CO2激光放大、激光诱导等离子体极紫外光源等方面的研究。E-mail: zengwenbin@ciomp.ac.cn

    赵崇霄(1993-),男,辽宁沈阳人,博士,助理研究员,主要从事等离子体放电、辉光放电技术、激光诱导等离子体极紫外光源等方面的研究。E-mail: zhaochongxiao@ciomp.ac.cn

    黄盼(2000-),男,江西抚州人,硕士,助理研究员,主要从事射频激励轴快流CO2激光器辉光放电技术等方面的研究。E-mail: 1731876930@qq.com

    郭劲(1964-),男,吉林长春人,博士,研究员,博士生导师,主要从事大型光电装备总体技术等方面的研究。E-mail: guojin@ciomp.ac.cn

    陈飞(1982-),男,河南南阳人,博士,研究员,博士生导师,主要从事激光技术及应用、高功率气体激光、新型激光技术等方面的研究。E-mail: feichenny@126.com

    潘其坤(1985-),男,河南开封人,博士,博士生导师,主要从事新型激光器技术、激光诱导等离子体极紫外光源、固体激光器等方面的研究。E-mail: panqikun2005@163.com

  • 中图分类号: TN248.2

CO2 laser amplification technology based on RF waveguide

Funds: Supported by National Natural Science Foundation of China (No. 62405313, No. 62335016, No.12305222); The Strategic Priority Research Program of the Chinese Academy of Sciences (No. XDA 0380200); Youth Innovation Promotion Association, CAS (No. 2021216)
More Information
  • 摘要:

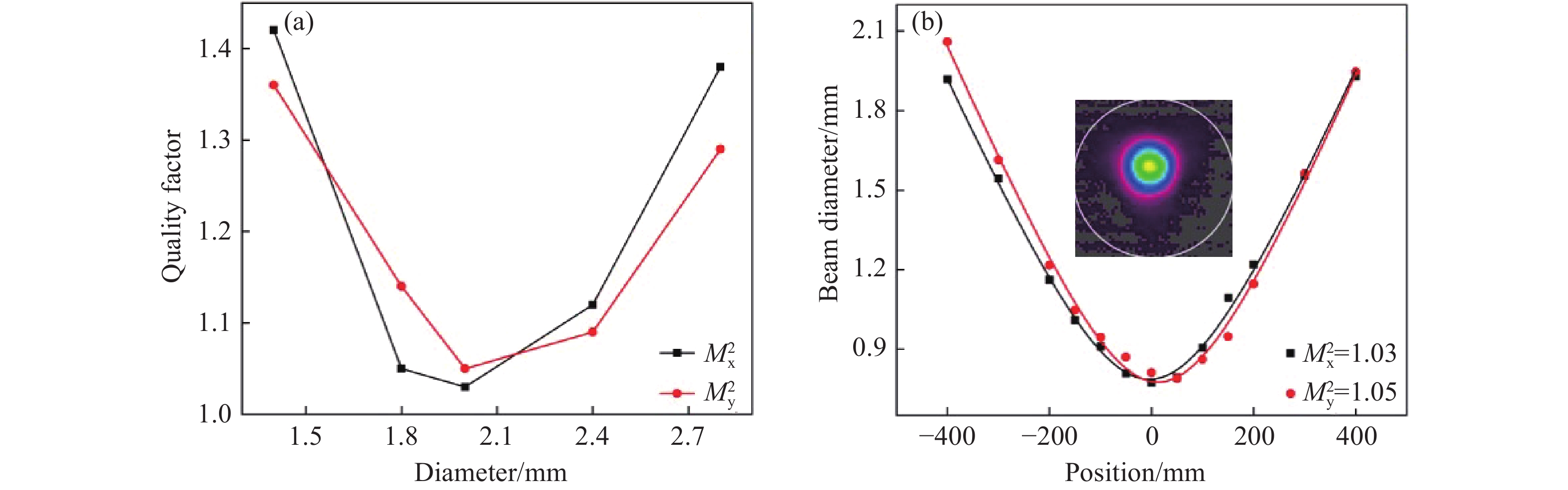
    面向极紫外光刻光源对高功率、高光束质量CO2种子激光的应用需求,本文开展了基于射频波导体制的CO2激光放大技术研究。一方面,分析了射频波导放大器的静态插入损耗与输出光束质量随入射光参数的变化关系,确定了最佳模式匹配参数。另一方面,建立了多级射频波导放大仿真模型,理论计算了工作气压与放电泵浦功率等参数对放大倍率的影响规律。在实验中,引入增益介质调控技术,实现了激光系统放大性能的优化。实验结果表明:在2.5 m的波导长度下,传输效率达到了91.4%,输出光束在水平方向与竖直方向上的光束质量因子分别为1.03与1.05;二级射频波导放大系统的总放大倍率达68倍,最终获得了重复频率为50 kHz、脉冲宽度为20 ns、平均功率为17.1 W的高光束质量的CO2激光输出。

     

  • 图 1  射频波导放大器结构

    Figure 1.  Structure of the RF waveguide amplifier

    图 2  二级放大系统实验装置

    Figure 2.  Experimental setup of the secondary amplification system

    图 3  传输效率随入射光束直径的变化情况(插图为输出光束强度分布图)

    Figure 3.  Transmission efficiency varying with the diameter of the incident light beam. (the inset illustrates the distribution of the output light beam intensity)

    图 4  光束质量因子测量结果。(a)光束质量因子随入射光束直径的变化关系;(b)入射直径为2 mm时测量结果,插图为光束强度分布图

    Figure 4.  Measurement results of the beam quality factor. (a) Relationship between the beam quality factor and the diameter of the incident beam; (b) measurement results when the incident diameter is 2 mm, with the inset showing the beam intensity distribution

    图 5  不同腔压下放大系统输出功率随泵浦放电功率的变化情况

    Figure 5.  Output power of the amplification system varying with the discharge pumping power at different cavity pressures

    图 6  不同腔压下输出功率随放电泵浦功率的变化情况。(a)第一级放大器;(b)第二级放大器

    Figure 6.  Variation of output power with discharge pumping power at different cavity pressures. (a) First-stage amplifier; (b) second-stage amplifier

  • [1] YANG Y X, LIU K X, GAO Y H, et al. Advancements and challenges in inverse lithography technology: a review of artificial intelligence-based approaches[J]. Light: Science & Applications, 2025, 14(1): 250.
    [2] 王佶, 赵昆. 高重复频率极紫外光源的产生和光谱技术研究进展[J]. 中国激光, 2024, 51(7): 0701002. doi: 10.3788/CJL231498

    WANG J, ZHAO K. Research progress in generation and spectral technology of high-repetition-rate extreme-ultraviolet-light sources[J]. Chinese Journal of Lasers, 2024, 51(7): 0701002. (in Chinese). doi: 10.3788/CJL231498
    [3] 付轹文, 林楠. 面向极紫外光刻光源液滴锡靶的光学测量与检测进展[J]. 激光与光电子学进展, 2025, 62(13): 1300006. doi: 10.3788/LOP242388

    FU L W, LIN N. Progress in optical measurement and detection of tin droplets for extreme ultraviolet lithography light sources[J]. Laser & Optoelectronics Progress, 2025, 62(13): 1300006. (in Chinese). doi: 10.3788/LOP242388
    [4] SHEN W H, LU Q P, SONG Y, et al. Study on tin contamination deposition mechanism on collector mirror surfaces in LPP-EUV light sources based on hydrodynamics and particle simulation theory[J]. Vacuum, 2025, 233: 114024. doi: 10.1016/j.vacuum.2025.114024
    [5] 游聪, 黄维, 林高洁, 等. 基于遗传算法的快轴流CO2激光放大器的参数优化[J]. 中国激光, 2024, 51(7): 0701016. doi: 10.3788/CJL231509

    YOU C, HUANG W, LIN G J, et al. Optimization of fast axial flow CO2 laser amplifier parameters based on genetic algorithm[J]. Chinese Journal of Lasers, 2024, 51(7): 0701016. (in Chinese). doi: 10.3788/CJL231509
    [6] 黄盼, 赵崇霄, 董祝君, 等. 射频轴快流CO2激光器动态L型阻抗匹配网络设计[J]. 中国光学(中英文), 2025, 18(5): 1155-1163. doi: 10.37188/CO.2024-0096

    HUANG P, ZHAO CH X, DONG ZH J, et al. Design of dynamic L-type impedance matching network in RF excited fast axial flow CO2 lasers[J]. Chinese Optics, 2025, 18(5): 1155-1163. (in Chinese). doi: 10.37188/CO.2024-0096
    [7] RAZEGHI M, BAI Y B, WANG F H. High-power, high-wall-plug-efficiency quantum cascade lasers with high-brightness in continuous wave operation at 3-300μm[J]. Light: Science & Applications, 2025, 14(1): 252.
    [8] ZHANG R R, GAO Y, PAN Q K, et al. Experimental study on optical isolation characteristics of SF6 for a high-repetition-rate nanosecond CO2 laser[J]. Applied Optics, 2025, 64(8): 1949-1955. doi: 10.1364/AO.544457
    [9] 杜彤耀. 高损伤阈值空间光调制器关键技术及应用研究[D]. 合肥: 中国科学技术大学, 2023: 38-62.

    DU T Y. Research on key technology and application of high laser damage threshold spatial light modulator[D]. Hefei: University of Science and Technology of China, 2023: 38-62. (in Chinese).
    [10] HUMMLER K, ZHU Q SH, BEHM K, et al. High-power EUV light sources (>500W) for high throughput in next-generation EUV lithography tools[J]. Proceedings of SPIE, 2024, 12953: 129530V.
    [11] IWAMOTO F, UENO Y, NAGAI S, et al. Development progress of Gigaphoton’s LPP EUV light source for inspection systems[J]. Proceedings of SPIE, 2024, 12953: 1295313. doi: 10.1117/12.3010135
    [12] NOWAK K M, SUGANUMA T, ENDO A, et al. Efficient and compact short pulse MOPA system for laser-produced-plasma extreme-UV sources employing RF-discharge slab-waveguide CO2 amplifiers[J]. Proceedings of SPIE, 2008, 7005: 70051Q. doi: 10.1117/12.782606
    [13] SCHAFGANS A A, BROWN D J, FOMENKOV I V, et al. Performance optimization of MOPA pre-pulse LPP light source[J]. Proceedings of SPIE, 2015, 9422: 94220B. doi: 10.1117/12.2087421
    [14] NOWAK K M, OHTA T, SUGANUMA T, et al. Multiline short-pulse solid-state seeded carbon dioxide laser for extreme ultraviolet employing multipass radio frequency excited slab amplifier[J]. Optics Letters, 2013, 38(6): 881-883. doi: 10.1364/OL.38.000881
    [15] BRANDT D C, FOMENKOV I V, FARRAR N R, et al. CO2/Sn LPP EUV sources for device development and HVM[J]. Proceedings of SPIE, 2013, 8679: 86791G.
    [16] 叶静涵, 朱子任, 白进周, 等. 高气压同位素CO2皮秒激光脉冲放大输出特性理论研究[J]. 中国激光, 2023, 50(11): 1101017. doi: 10.3788/CJL221558

    YE J H, ZHU Z R, BAI J ZH, et al. Theoretical research on output characteristics of high-pressure isotope CO2 picosecond pulse laser amplification[J]. Chinese Journal of Lasers, 2023, 50(11): 1101017. (in Chinese). doi: 10.3788/CJL221558
    [17] 肖龙胜, 唐霞辉, 秦应雄, 等. 2 kW射频板条CO2激光器输出光束整形特性研究[J]. 中国激光, 2014, 41(4): 0402008. doi: 10.3788/CJL201441.0402008

    XIAO L SH, TANG X H, QIN Y X, et al. Shaping characteristics of output beam of 2 kW radio frequency slab CO2 laser[J]. Chinese Journal of Lasers, 2014, 41(4): 0402008. (in Chinese). doi: 10.3788/CJL201441.0402008
    [18] 张冉冉. 短脉冲CO2激光放大与噪声光隔离技术研究[D]. 长春: 中国科学院大学(中国科学院长春光学精密机械与物理研究所), 2021: 20-28.

    ZHANG R R. Study on technology of short pulse CO2 laser amplification and noise isolation[D]. Changchun: University of Chinese Academy of Sciences (Changchun Institute of Optics, Fine Mechanics and Physics, Chinese Academy of Sciences), 2021: 20-28. (in Chinese).
    [19] GORDON I E, ROTHMAN L S, HARGREAVES R J, et al. The HITRAN2020 molecular spectroscopic database[J]. Journal of Quantitative Spectroscopy and Radiative Transfer, 2022, 277: 107949. doi: 10.1016/j.jqsrt.2021.107949
    [20] ILUKHIN B I, UDALOV Y B, KOCHETOV I V, et al. Theoretical and experimental investigation of a waveguide CO2 laser with radio-frequency excitation[J]. Applied Physics B, 1996, 62(2): 113-127. doi: 10.1007/BF01081112
  • 加载中
图(6)
计量
  • 文章访问数:  161
  • HTML全文浏览量:  111
  • PDF下载量:  7
  • 被引次数: 0
出版历程
  • 收稿日期:  2025-09-01
  • 修回日期:  2025-09-22
  • 录用日期:  2025-10-14
  • 网络出版日期:  2026-02-09

目录

    /

    返回文章
    返回