Precise control of the electric field in double optical gating with few-cycle pulses
-
摘要:
为了利用少周期脉冲实现超短孤立阿秒脉冲产生,需要研究双光学选通门技术对少周期光场电场的精密调控。在传统实验中,双光学选通门的调控对象通常是多周期脉冲,在分析中不考虑激光脉冲在介质传播中的高阶色散、倍频效率及倍频电场的精确波形,但这种近似对于少周期脉冲不再适用。本文基于耦合波方程组模型精确模拟了少周期脉冲在非线性晶体中的传播与倍频过程,揭示了色散效应等因素对选通门波形的关键影响。研究表明,当驱动光场为少周期激光脉冲时,双光学选通门的传统电场估算方法已不再适用。少周期脉冲激光具有超宽的频谱,不同波长成分的光相位累计的差异导致的群速度失配、相位失配和色散等效应相比于长脉冲会明显很多。对于少周期脉冲,调整偏硼酸钡(BBO)晶体厚度为126.4 μm时,可以得到最佳选通光场。本文提出通过协同调节波片与BBO晶体厚度可以精细调节驱动场与倍频场相对延迟,实现选通电场及驱动电场的优化,为超短孤立阿秒脉冲的产生提供了有效的参数优化指导。
Abstract:To achieve the generation of ultrashort isolated attosecond pulses using few-cycle pulses, it is necessary to study the precise control of the electric field of few-cycle light through double optical gating technology. In conventional experiments, double optical gating typically regulates multi-cycle pulses, and the analysis does not consider higher-order dispersion during laser propagation in media, second-harmonic conversion efficiency, or the exact waveform of the second-harmonic electric field. However, such approximations are no longer valid for few-cycle pulses. This paper accurately simulates the propagation and second-harmonic generation process of few-cycle pulses in nonlinear crystals based on a coupled-wave equation model, revealing the key influence of dispersion effects and other factors on the gating waveform. The research shows that when the driving light field is a few-cycle laser pulse, the traditional electric field estimation method for double optical gating is no longer applicable. Few-cycle pulse lasers have an ultra-broad spectrum, and effects such as group velocity mismatch, phase mismatch, and dispersion caused by differences in phase accumulation among different wavelength components become significantly more pronounced compared to long pulses. For a few cycle pulse, the optimal gating light field can be achieved by adjusting the thickness of the beta-barium borate (BBO) crystal in the double optical gating setup to 126.4 μm. This paper proposes that coordinated adjustment of the waveplate and BBO crystal thickness can finely tune the relative delay between the driving field and the second-harmonic field, thereby optimizing the gating electric field and the driving electric field, providing effective parameter optimization guidance for the generation of ultrashort isolated attosecond pulses.
-
Key words:
- isolated attosecond pulses /
- double optical gating /
- few-cycle pulse
-
图 2 瞬态耦合波方程组计算倍频光场强度分布。(a)28 fs长脉冲(红色粗实线)经过141 μm BBO晶体倍频后的脉冲(蓝色细实线),与SNLO计算得到的光场(圆点)一致;(b)8 fs少周期脉冲(红色粗实线)经过141 μm BBO晶体倍频后的脉冲(蓝色细实线),与SNLO计算得到的光场(圆点)一致。
Figure 2. The intensity profile of SH optical field calculated with transient coupled-wave equations. (a) The calculated SH pulse (thin blue solid line) after frequency doubling of a 28 fs long pulse (thick red solid line) through a 141 μm BBO crystal is in agreement with the optical field calculated by SNLO (dots); (b) The calculated SH pulse (thin blue solid line) after frequency doubling of an 8 fs few-cycle pulse (thick red solid line) through a 141 μm BBO crystal is in agreement with the optical field calculated by SNLO (dots).
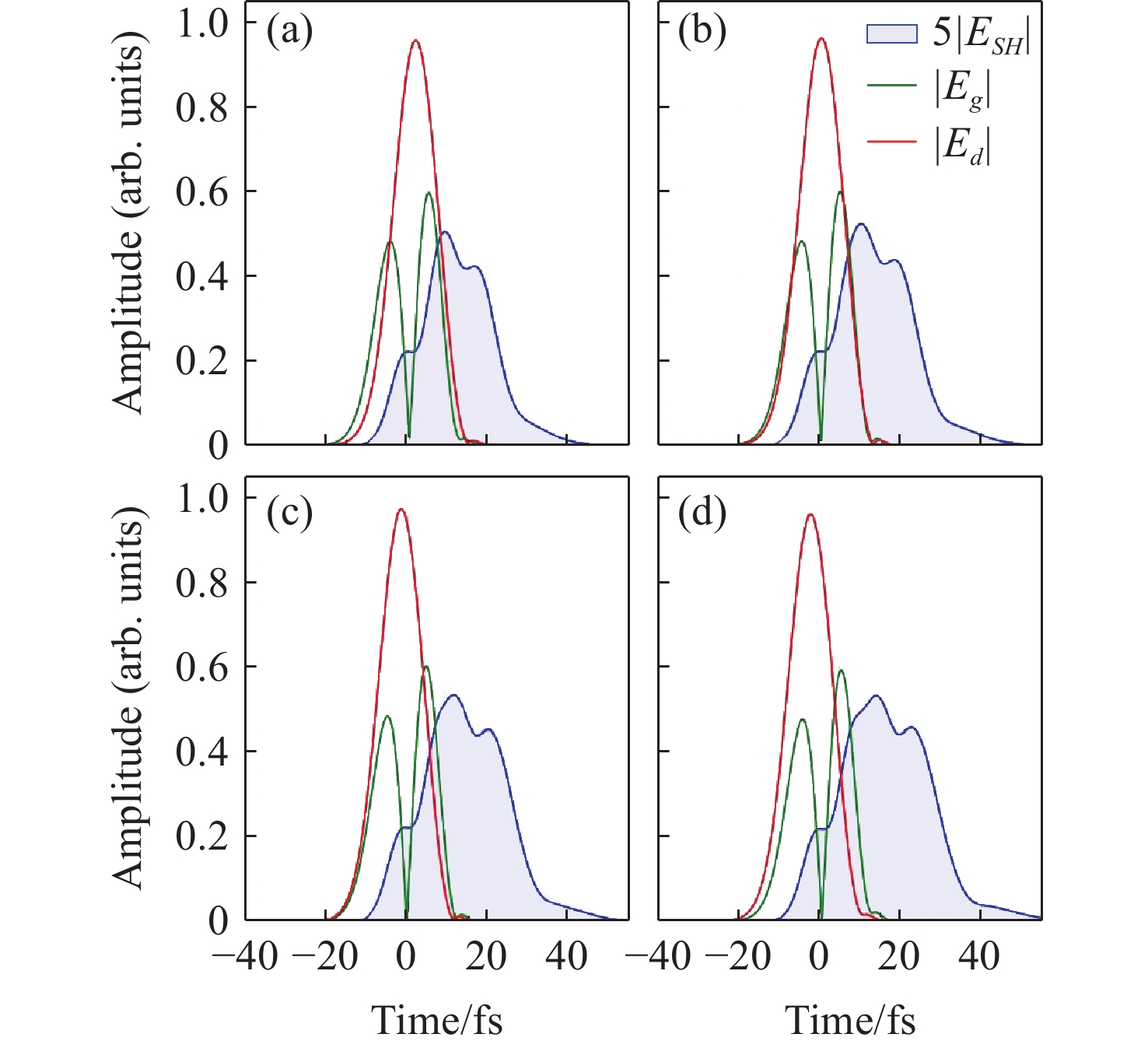
图 3 实际实验条件下双光学选通门形成的调制光场。(a)不考虑介质色散和BBO倍频过程群速度失配,可以得到符合预期的驱动电场
$ {E}_{d} $ 、选通电场$ {E}_{g} $ 和倍频电场$ {E}_{SH} $ ;(c)叠加电场$ {E}_{d+SH} $ 也展现出显著的不对称性;(b)考虑介质色散和BBO倍频过程群速度失配时,$ {E}_{d} $ 、$ {E}_{g} $ 和$ {E}_{SH} $ 均发生畸变;(d)$ {E}_{d+SH} $ 也变得更加对称,不利于孤立阿秒脉冲产生。Figure 3. Modulated optical field formed by double optical gating under realistic experimental conditions. (a) Without considering medium dispersion and group velocity mismatch in the BBO frequency-doubling process, the driving field
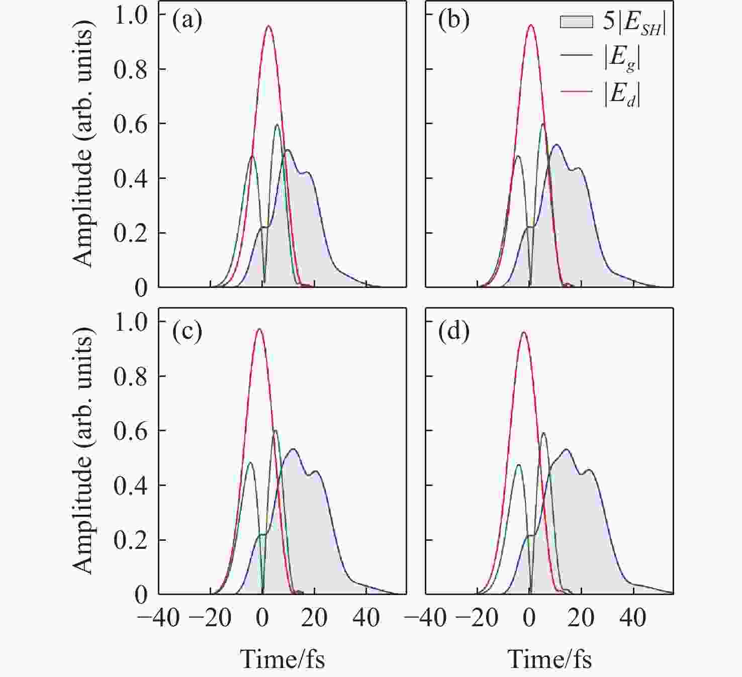
$ {E}_{d} $ , gating field$ {E}_{g} $ , and SH field$ {E}_{SH} $ behave as expected; (c) The superimposed electric field$ {E}_{d+SH} $ also exhibits significant asymmetry; (b) When considering medium dispersion and group velocity mismatch in the BBO frequency-doubling process,$ {E}_{d} $ ,$ {E}_{g} $ , and$ {E}_{SH} $ all become distorted; (d)$ {E}_{d+SH} $ also becomes more symmetric, which is unfavorable for the generation of isolated attosecond pulses. Framework of image measuring system图 4 调节K值时驱动电场、选通电场及倍频电场强度的变化。(a)、(b)、(c)、(d)分别对应于K=3,1,−1,3四种不同情况。当BBO厚度为126.4 μm时,选通门中心区域的SH场峰值与驱动电场峰值重合,对驱动光场的对称性破坏最为明显,为孤立阿秒脉冲的产生提供了最佳倍频光场。
Figure 4. With a 7 fs incident pulse, changes in the amplitudes of the driving field, gating field, and second-harmonic electric field when adjusting the K value. (a), (b), (c), and (d) correspond to four different cases: K = 3, 1, −1, and 3, respectively. When the BBO thickness is 126.4 μm, the peak of the SH field within the gating window coincides with that of the driving field. This optimal overlap induces the most pronounced symmetry breaking of the driving field, thereby providing the optimal frequency-doubled field for generating isolated attosecond pulses.
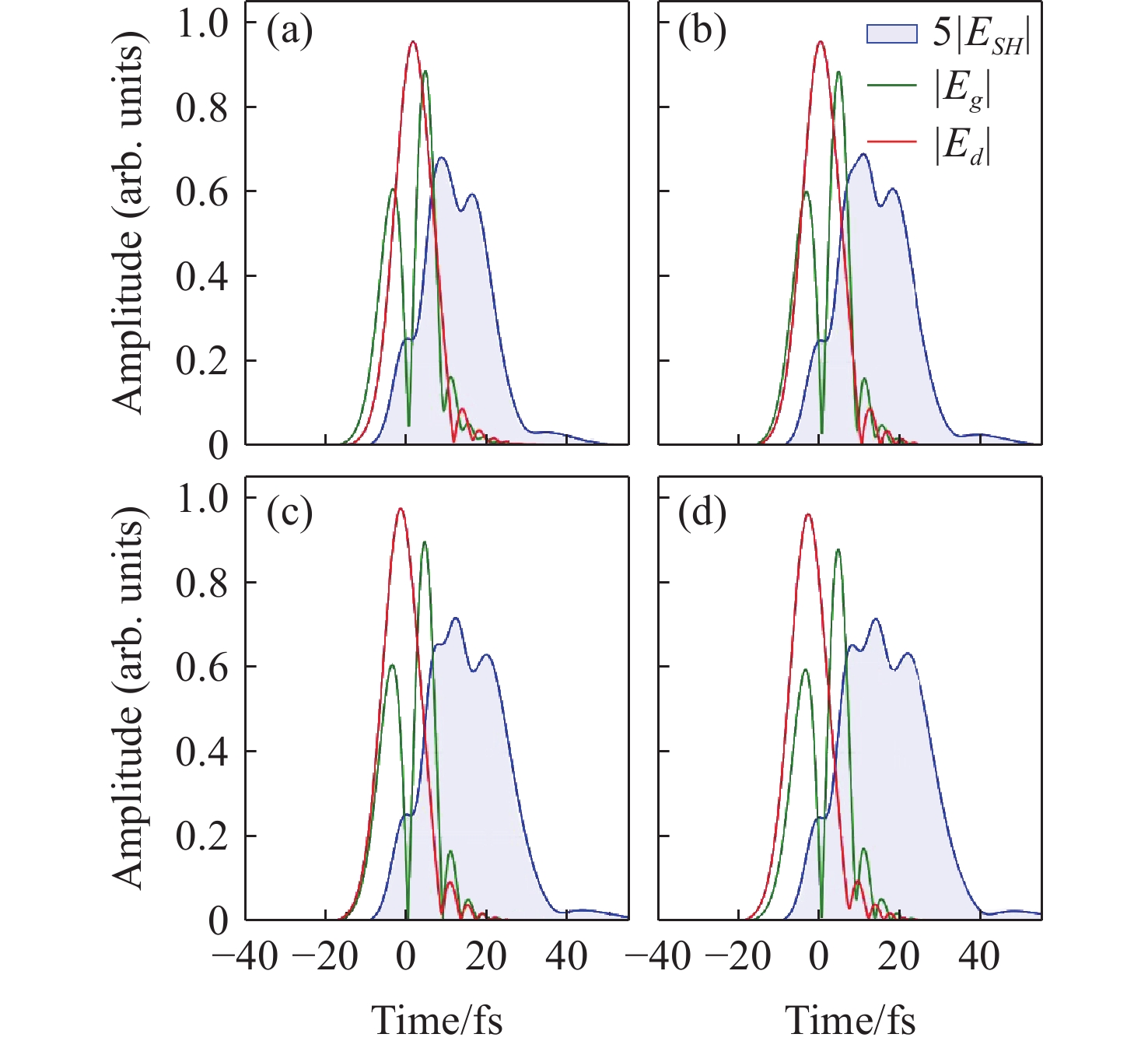
图 5 入射脉冲为5 fs时,调节K值时驱动电场、选通电场及倍频电场强度的变化。(a)、(b)、(c)、(d)分别对应于K=3,1,−1,3四种不同情况。相比图4,驱动电场
$ {E}_{d} $ 和选通电场$ {E}_{g} $ 尾部发生畸变。Figure 5. Under a 5 fs incident pulse, changes in the amplitudes of the driving field, gating field, and second-harmonic electric field when adjusting the K value. (a), (b), (c), and (d) correspond to four different cases: K = 3, 1, −1, and 3, respectively. In comparison with Figure 4, the trailing edges of both driving field
$ {E}_{d} $ and gating field$ {E}_{g} $ exhibit distortion. -
[1] SARTANIA S, CHENG Z, LENZNER M, et al. Generation of 0.1-TW 5-fs optical pulses at a 1-kHz repetition rate[J]. Optics Letters, 1997, 22(20): 1562-1564. doi: 10.1364/OL.22.001562 [2] CHEN X, MALVACHE A, RICCI A, et al. Efficient hollow fiber compression scheme for generating multi-mJ, carrier-envelope phase stable, sub-5 fs pulses[J]. Laser Physics, 2011, 21(1): 198-201. doi: 10.1134/S1054660X11010063 [3] XIAO F, FAN X H, WANG L, et al. Generation of intense sub-10 fs pulses at 385nm[J]. Chinese Physics Letters, 2020, 37(11): 114202. doi: 10.1088/0256-307X/37/11/114202 [4] PICCOLI R, BROWN J M, JEONG Y G, et al. Intense few-cycle visible pulses directly generated via nonlinear fibre mode mixing[J]. Nature Photonics, 2021, 15(12): 884-889. doi: 10.1038/s41566-021-00888-7 [5] LIU Y ZH, CHEN ZH D, YANG S CH, et al. Few-cycle 12.5-GW pulses generated via efficient all-solid-state post-compression from an ytterbium laser[J]. Optics Letters, 2024, 49(24): 6992-6695. doi: 10.1364/OL.542820 [6] WIRTH A, HASSAN M T, GRGURAŠ I, et al. Synthesized light transients[J]. Science, 2011, 334(6053): 195-200. doi: 10.1126/science.1210268 [7] ALQATTAN H, HUI D D, PERVAK V, et al. Attosecond light field synthesis[J]. APL Photonics, 2022, 7(4): 041301. doi: 10.1063/5.0082958 [8] SONG L W, BAI Y, XU R J, et al. Polarization control of terahertz waves generated by circularly polarized few-cycle laser pulses[J]. Applied Physics Letters, 2013, 103(26): 261102. doi: 10.1063/1.4856495 [9] CARNIO B N, ELEZZABI A Y. Investigation of ultra-broadband terahertz generation from sub-wavelength lithium niobate waveguides excited by few-cycle femtosecond laser pulses[J]. Optics Express, 2017, 25(17): 20573-20583. doi: 10.1364/OE.25.020573 [10] WEGER M, MAURER J, LUDWIG A, et al. Transferring the attoclock technique to velocity map imaging[J]. Optics Express, 2013, 21(19): 21981-21990. doi: 10.1364/OE.21.021981 [11] BABUSHKIN I, GALÁN Á J, DE ANDRADE J R C, et al. All-optical attoclock for imaging tunnelling wavepackets[J]. Nature Physics, 2022, 18(4): 417-422. doi: 10.1038/s41567-022-01505-2 [12] YOSHIZAKI R, NAKAO M. Ultrashort pulse laser processing of single crystalline diamond for efficient and smooth grooving with top-hat beam modulation[J]. CIRP Annals, 2023, 72(1): 189-192. doi: 10.1016/j.cirp.2023.04.001 [13] SOLEIMANI M, NANKALI M, DULEY W W, et al. Additive manufacturing processing with ultra-short-pulse lasers[J]. Journal of Manufacturing Processes, 2024, 131: 2133-2163. doi: 10.1016/j.jmapro.2024.10.006 [14] WANG X W, WANG L, XIAO F, et al. Generation of 88 as isolated attosecond pulses with double optical gating[J]. Chinese Physics Letters, 2020, 37(2): 023201. doi: 10.1088/0256-307X/37/2/023201 [15] WANG L, WANG X W, XIAO F, et al. Chirp compensation for generating ultrashort attosecond pulses with 800-nm few-cycle pulses[J]. Chinese Physics Letters, 2023, 40(11): 113201. doi: 10.1088/0256-307X/40/11/113201 [16] WANG X W, XIAO F, WANG J C, et al. Ultrashort isolated attosecond pulse generation with 750-nm free-carrier envelope phase near-infrared pulses[J]. Ultrafast Science, 2024, 4: 0080. doi: 10.34133/ultrafastscience.0080 [17] CORKUM P B. Plasma perspective on strong field multiphoton ionization[J]. Physical Review Letters, 1993, 71(13): 1994-1997. doi: 10.1103/PhysRevLett.71.1994 [18] FERRAY M, L’HUILLIER A, LI X F, et al. Multiple-harmonic conversion of 1064 nm radiation in rare gases[J]. Journal of Physics B: Atomic, Molecular and Optical Physics, 1988, 21(3): L31-L35. doi: 10.1088/0953-4075/21/3/001 [19] PAUL P M, TOMA E S, BREGER P, et al. Observation of a train of attosecond pulses from high harmonic generation[J]. Science, 2001, 292(5522): 1689-1692. doi: 10.1126/science.1059413 [20] HENTSCHEL M, KIENBERGER R, SPIELMANN C, et al. Attosecond metrology[J]. Nature, 2001, 414(6863): 509-513. doi: 10.1038/35107000 [21] CORKUM P B, BURNETT N H, IVANOV M Y. Subfemtosecond pulses[J]. Optics Letters, 1994, 19(22): 1870-1872. doi: 10.1364/OL.19.001870 [22] JULLIEN A, PFEIFER T, ABEL M J, et al. Ionization phase-match gating for wavelength-tunable isolated attosecond pulse generation[J]. Applied Physics B, 2008, 93(2-3): 433-442. doi: 10.1007/s00340-008-3187-z [23] CHANG Z H. Controlling attosecond pulse generation with a double optical gating[J]. Physical Review A, 2007, 76(5): 051403(R). [24] VINCENTI H, QUÉRÉ F. Attosecond lighthouses: how to use spatiotemporally coupled light fields to generate isolated attosecond pulses[J]. Physical Review Letters, 2012, 108(11): 113904. doi: 10.1103/PhysRevLett.108.113904 [25] MASHIKO H, GILBERTSON S, LI CH Q, et al. Double optical gating of high-order harmonic generation with carrier-envelope phase stabilized lasers[J]. Physical Review Letters, 2008, 100(10): 103906. doi: 10.1103/PhysRevLett.100.103906 [26] FENG X M, GILBERTSON S, MASHIKO H, et al. Generation of isolated attosecond pulses with 20 to 28 femtosecond lasers[J]. Physical Review Letters, 2009, 103(18): 183901. doi: 10.1103/PhysRevLett.103.183901 [27] GILBERTSON S, KHAN S D, WU Y, et al. Isolated attosecond pulse generation without the need to stabilize the carrier-envelope phase of driving lasers[J]. Physical Review Letters, 2010, 105(9): 093902. doi: 10.1103/PhysRevLett.105.093902 [28] CHANG Z H. Single attosecond pulse and xuv supercontinuum in the high-order harmonic plateau[J]. Physical Review A, 2004, 70(4): 043802. doi: 10.1103/PhysRevA.70.043802 [29] SHEN Y R. The Principles of Nonlinear Optics[M]. New York: Wiley, 1984. [30] SNLO Version 80 Nonlinear Optics Code Available from A. V. Smith, AS-Photonics, Albuquerque, NM[M]. (查阅网上资料, 未找到本条文献信息, 请确认). -
下载:



















