留言板

尊敬的读者、作者、审稿人, 关于本刊的投稿、审稿、编辑和出版的任何问题, 您可以本页添加留言。我们将尽快给您答复。谢谢您的支持!

姓名
邮箱
手机号码
标题
留言内容
验证码

红外双波段制冷型变焦Offner型光谱成像系统设计

王翘楚 耿海涛 虞林瑶 张葆

王翘楚, 耿海涛, 虞林瑶, 张葆. 红外双波段制冷型变焦Offner型光谱成像系统设计[J]. 中国光学(中英文), 2025, 18(6): 1327-1343. doi: 10.37188/CO.2025-0080
引用本文: 王翘楚, 耿海涛, 虞林瑶, 张葆. 红外双波段制冷型变焦Offner型光谱成像系统设计[J]. 中国光学(中英文), 2025, 18(6): 1327-1343. doi: 10.37188/CO.2025-0080
WANG Qiao-chu, GENG Hai-tao, YU Lin-yao, ZHANG Bao. Design of an infrared dual-band cooled zoom focal Offner-type spectral imaging optical system[J]. Chinese Optics, 2025, 18(6): 1327-1343. doi: 10.37188/CO.2025-0080
Citation: WANG Qiao-chu, GENG Hai-tao, YU Lin-yao, ZHANG Bao. Design of an infrared dual-band cooled zoom focal Offner-type spectral imaging optical system[J]. Chinese Optics, 2025, 18(6): 1327-1343. doi: 10.37188/CO.2025-0080

红外双波段制冷型变焦Offner型光谱成像系统设计

cstr: 32171.14.CO.2025-0080
基金项目: 国家重点研发项目(No. 303060302)
详细信息
    作者简介:

    虞林瑶(1987—),男,吉林长春人,博士,副研究员,硕士生导师,2016年于中国科学院长春光学精密机械与物理研究所获得博士学位,主要从事光学设计与装调检测方面的研究。E-mail:yulinyao87@163.com

  • 中图分类号: TP394.1;TH691.9

Design of an infrared dual-band cooled zoom focal Offner-type spectral imaging optical system

Funds: Supported by National Key Research Program of China (No. 303060302)
More Information
  • 摘要:

    随着中长红外高光谱成像技术的突破性进展,军用高光谱成像系统凭借其独特的特征识别能力和隐蔽侦察优势,在现代战场态势感知领域展现出了显著的战略价值。本研究面向航空探测应用需求,基于320×240像素双色制冷型红外探测器,设计了一种工作于中波红外(3.7~4.8 μm)和长波红外(7.7~9.5 μm)的双波段Offner型光谱成像系统。该系统采用折射与折反射混合光学结构,实现了32 mm、200 mm、800 mm三视场切换式变焦功能。光学系统采用Offner分光结构,有效抑制了系统初级像差;其次,通过引入二次成像中继系统,实现了100%冷光阑匹配,有效降低了冷反射效应。实验测试结果表明,该系统在各波段及不同焦距状态下均表现出优异的成像性能,在特征频率17 lp/mm处,调制传递函数接近衍射极限,且温度变化对成像质量变化影响不大,光学像质满足指标设计。该光学系统兼具宽光谱响应、大变倍比(25×)和快速视场切换等特点。光谱分辨率达到25 nm,其成像质量与光谱分辨能力满足航空光电侦察的技术需求,在军事侦察、安防监控及环境监测等领域具有重要的应用价值。

     

  • 图 1  光学系统总体结构原理图

    Figure 1.  Schematic diagram of the overall structure of the optical system

    图 2  光学系统的变倍方式示意图

    Figure 2.  Schematic diagram of the zoom method of the optical system

    图 3  R-C系统原理图

    Figure 3.  Schematic diagram of R-C (Ritchey-Chrétien) system

    图 4  Offner分光系统原理图

    Figure 4.  Schematic diagram of Offner beam splitting system

    图 5  32 mm和200 mm的前置望远物镜系统设计图

    Figure 5.  Front-placed telescopic objective lens system with focal lengths of 32 mm and 200 mm

    图 6  800 mm的前置望远物镜系统设计图

    Figure 6.  Design drawing of the front-placed telescopic objective lens system with a focal length of 800 mm

    图 7  不同焦距下前置望远物镜系统的点列图

    Figure 7.  Spot diagrams of the front-placed telescopic objective system at different focal lengths

    图 8  前置望远物镜系统的MTF图

    Figure 8.  MTF diagram of the front-placed telescope objective system

    图 9  Offner分光系统设计图

    Figure 9.  Design diagram of Offner beam splitting system

    图 10  Offner分光系统点列图(左图:中波中心波长4.25 μm;右图:长波中心波长8.1 μm)

    Figure 10.  Spot diagrams of Offner beam splitting system. (left image: the center wavelength of MWIR 4.25 μm; right image: the center wavelength of LWIR 8.1 μm)

    图 11  Offner分光系统MTF图

    Figure 11.  MTF diagram of Offner beam splitting system

    图 12  二次成像中继系统设计图

    Figure 12.  Design diagram of secondary imaging relay system

    图 13  二次成像中继系统点列图(左图:3.7 μm~4.8 μm;右图:7.7 μm~9.5 μm)

    Figure 13.  Spot diagrams of the secondary imaging relay system. (left image: 3.7 μm−4.8 μm; right image: 7.7 μm−9.5 μm)

    图 14  二次成像中继系统MTF图

    Figure 14.  MTF diagrams of the secondary imaging relay system

    图 15  短焦(32 mm)红外光谱成像系统结构图

    Figure 15.  Structural diagram of a short-focal-length (32 mm) infrared spectral imaging system

    图 16  中焦(200 mm)红外光谱成像系统结构图

    Figure 16.  Structural diagram of a medium-focal-length (200 mm) infrared spectral imaging system

    图 17  长焦(800 mm)红外光谱成像系统结构图

    Figure 17.  Structural diagram of a long-focal-length (800 mm) infrared spectral imaging system

    图 18  不同焦距下红外光谱成像系统的点列图

    Figure 18.  Spot diagrams of infrared spectral imaging systems at different focal lengths

    图 19  不同红外光谱成像系统的MTF图

    Figure 19.  MTF diagrams of different infrared spectral imaging systems

    图 20  不同焦距下红外光谱成像系统的分辨率特性图

    Figure 20.  Resolution characteristics plot of infrared spectral imaging systems at different focal lengths

    图 21  冷反射现象光线追迹示意图

    Figure 21.  Schematic diagram of ray tracing for cold reflection phenomenon

    图 22  靶面冷反射能量图(短焦32 mm)

    Figure 22.  Cold reflection energy map of the target plane (short-focal-length 32 mm)

    图 23  靶面冷反射能量图(长焦800 mm)

    Figure 23.  Cold reflection energy map of the target plane (long-focal-length 800 mm)

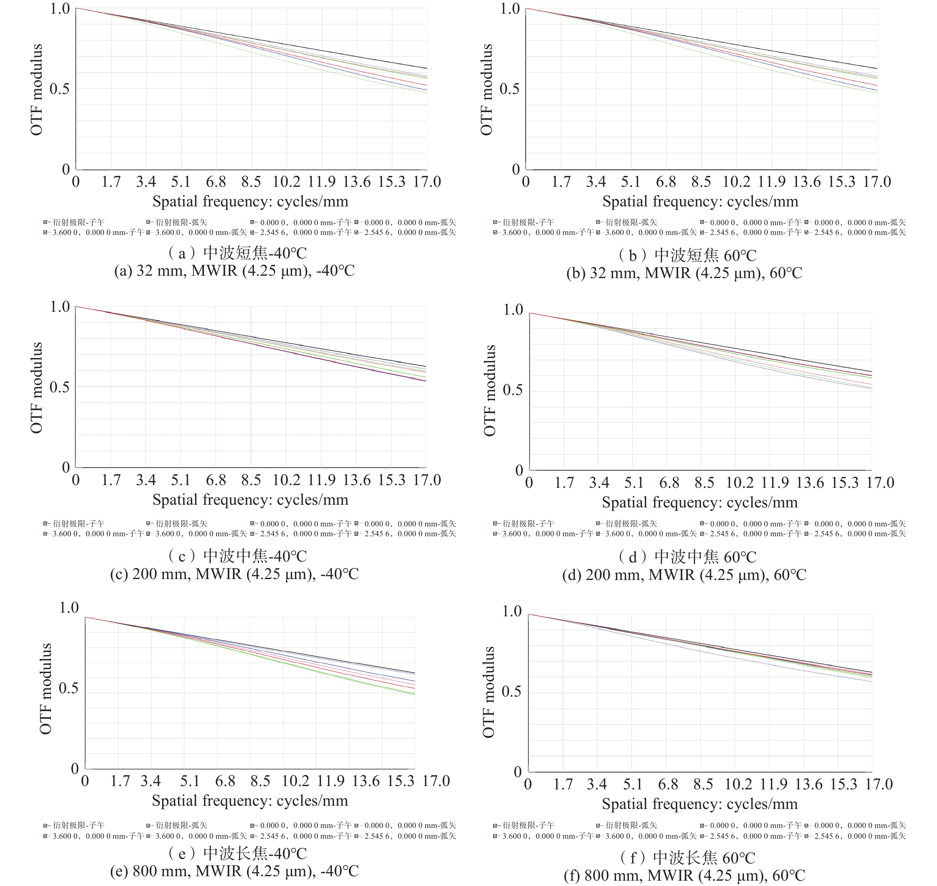
    图 24  中波波段不同焦距在−40 °C和60 °C时的MTF曲线

    Figure 24.  MTF curves at different focal lengths in the medium wave band at −40 °C and 60 °C

    图 25  长波波段不同焦距在−40 °C和60 °C时的MTF曲线

    Figure 25.  MTF curves at different focal lengths in the long wave band at −40 °C and 60 °C

    表  1  系统设计指标

    Table  1.   System design indicators

    Parameters Value
    Working Spectrum/μm 3.7 μm−4.8 μm, 7.7 μm−9.5 μm
    F# 4
    Zoom magnification 25×
    Detector specifications 320 pixel×240 pixel
    Detector pixel 30 μm×30 μm
    Focal length 32 mm, 200 mm, 800 mm
    Spectral resolution/nm 25
    Dispersion width/mm 7.68
    下载: 导出CSV

    表  2  常见的宽波段红外材料参数

    Table  2.   Parameters of commonly used broadband infrared materials

    材料 透射范围/
    μm
    折射率
    λ=4 μm)
    阿贝数
    λ=3~5 μm)
    阿贝数
    λ=8~12 μm)
    Ge 2~23 4.0247 103.4 834.3
    Si 1.1~23 3.4255 250 2200
    GaAs 0.9~16 3.3070 146.0 107.4
    ZnSe 0.55~18 2.4331 176.9 58.0
    ZnS 0.42~18.2 2.3468 109.63 22.9
    AMTIR1 1~14 2.5144 196.7 115.2
    IG6 1~12 2.7947 168 163
    IRG205 1~15 2.6222 96.63 93.63
    下载: 导出CSV

    表  3  可能发生冷反射现象的第2、3、4、7、11面的YNI和I/IBAR值

    Table  3.   YNI and I/IBAR for surfaces 2, 3, 4, 7 and 11 where cold reflections may occur

    234711
    YNI中波−0.407−0.4830.071−0.0870.499
    长波−0.403−0.4800.073−0.0810.503
    I/IBAR中波0.4040.4570.1960.0640.001
    长波0.4030.4570.2020.0500.004
    下载: 导出CSV
  • [1] 舒开强, 陈友元, 彭郑英, 等. 铀矿中多目标元素的激光诱导击穿光谱定量分析方法研究[J]. 分析化学, 2023, 51(7): 1195-1203.

    SHU K Q, CHEN Y Y, PENG ZH Y, et al. Laser-induced breakdown spectroscopy for quantitative analysis of multi-target elements in uranium ore[J]. Chinese Journal of Analytical Chemistry, 2023, 51(7): 1195-1203. (in Chinese).
    [2] 陈玥瑶, 夏静静, 韦芸, 等. 近红外光谱法无损检测平谷产大桃品质方法研究[J]. 分析化学, 2023, 51(3): 454-462.

    CHEN Y Y, XIA J J, WEI Y, et al. Research on nondestructive quality test of Pinggu peach by near-infrared spectroscopy[J]. Chinese Journal of Analytical Chemistry, 2023, 51(3): 454-462. (in Chinese).
    [3] 刘成员, 于江玉, 李奉翠, 等. 拉曼光谱测试技术在可充电铝离子电池储能机理的研究进展[J]. 应用化学, 2023, 40(10): 1347-1358.

    LIU CH Y, YU J Y, LI F C, et al. Research progress of Raman spectroscopy technique in energy storage mechanism of Rechargeable aluminum-ion batteries[J]. Chinese Journal of Applied Chemistry, 2023, 40(10): 1347-1358. (in Chinese).
    [4] 张雪容, 梁维新, 杨玉敏, 等. 顶空固相萃取-纸基表面增强拉曼光谱法快速测定水中痕量汞[J]. 分析化学, 2023, 51(9): 1536-1544.

    ZHANG X R, LIANG W X, YANG Y M, et al. Determination of trace mercury in water by headspace solid phase extraction combining paper-based surface enhanced Raman spectroscopy[J]. Chinese Journal of Analytical Chemistry, 2023, 51(9): 1536-1544. (in Chinese).
    [5] 邢蕾, 牟含章, 潘建斌, 等. 真空紫外激光解吸/电离单细胞质谱成像装置的研制和调试[J]. 应用化学, 2024, 41(1): 100-108.

    XING L, MOU H ZH, PAN J B, et al. Development of vacuum ultraviolet laser desorption/ionization single-cell mass Spectrometry imaging instrument[J]. Chinese Journal of Applied Chemistry, 2024, 41(1): 100-108. (in Chinese).
    [6] 陈瀑, 杨健, 褚小立, 等. 近五年我国近红外光谱分析技术的研究与应用进展[J]. 分析化学, 2024, 52(9): 1213-1224.

    CHEN P, YANG J, CHU X L, et al. Research and application progress of near infrared spectroscopy analytical technology in China in the past five years[J]. Chinese Journal of Analytical Chemistry, 2024, 52(9): 1213-1224. (in Chinese).
    [7] 胡晓, 倪世传, 杨娜娜, 等. 用于氢过氧自由基光谱和动力学分析的腔衰荡光谱装置[J]. 分析化学, 2023, 51(6): 994-1002.

    HU X, NI SH CH, YANG N N, et al. A cavity ring-down spectrum instrument for analysis of HO2 radical spectroscopy and kinetics[J]. Chinese Journal of Analytical Chemistry, 2023, 51(6): 994-1002. (in Chinese).
    [8] 袁嘉浩. 光谱成像技术在档案字迹、图形恢复中的研究综述[J]. 四川档案, 2025, 25(1): 23-25.

    YUAN J H. Review on the research of spectral imaging technology in the restoration of archive handwriting and graphics[J]. Sichuan Archives, 2025, 25(1): 23-25. (in Chinese).
    [9] 张远利. 多光谱光电探测技术在军事上的应用研究[J]. 红外技术, 2024, 46(11): 1274-1279.

    ZHANG Y L. Application of multispectral photoelectric detection technology in military field[J]. Infrared Technology, 2024, 46(11): 1274-1279. (in Chinese).
    [10] 胡晨霞. 紧凑型折反式制冷型中波红外成像光学系统设计[D]. 长春: 中国科学院大学(中国科学院长春光学精密机械与物理研究所), 2024.

    HU CH X. Design of compact catadioptric cooled mid-wavelength infrared imaging optical system[D]. Changchun: University of Chinese Academy of Sciences (Changchun Institute of Optics, Fine Mechanics and Physics, Chinese Academy of Sciences), 2024. (in Chinese).
    [11] 刘鑫, 王晶锦, 刘庆梅, 等. 大视场长波红外光学系统混合无热化设计[J]. 红外与激光工程, 2025, 54(2): 20240360. doi: 10.3788/IRLA20240360

    LIU X, WANG J J, LIU Q M, et al. Hybrid athermalization design of LWIR optical system with large field of view[J]. Infrared and Laser Engineering, 2025, 54(2): 20240360. (in Chinese). doi: 10.3788/IRLA20240360
    [12] 罗刚银, 王弼陡, 陈玉琦, 等. Offner型消热差中波红外成像光谱仪设计[J]. 红外与激光工程, 2017, 46(11): 1104004. doi: 10.3788/IRLA201746.1104004

    LUO G Y, WANG B D, CHEN Y Q, et al. Design of athermal mid-infrared imaging spectrometer based on Offner scheme[J]. Infrared and Laser Engineering, 2017, 46(11): 1104004. (in Chinese). doi: 10.3788/IRLA201746.1104004
    [13] 刘子寒. 长波红外成像光谱仪的设计与研究[D]. 苏州: 苏州大学, 2013.

    LIU Z H. Design and research of a long-wave infrared imaging spectrometer[D]. Suzhou: Soochow University, 2013. (in Chinese).
    [14] 夏磊. 用于大豆成分检测的近红外光谱仪关键技术研究[D]. 哈尔滨: 哈尔滨工业大学, 2023.

    XIA L. Research on key technologies of near infraed spectrometer for soybean composition detection[D]. Harbin: Harbin Institute of Technology, 2023. (in Chinese).
    [15] 李诚良. 基于光机热集成分析的空间低温红外光谱仪研究[D]. 长春: 中国科学院大学(中国科学院长春光学精密机械与物理研究所), 2021.

    LI CH L. Research on space cryogenic infrared spectrometer based on integrated structural/thermal/optical analysis[D]. Changchun: University of Chinese Academy of Sciences (Changchun Institute of Optics, Fine Mechanics and Physics, Chinese Academy of Science), 2021. (in Chinese).
    [16] LI SH, LI CH L, XU SH Y, et al. Preflight radiometric calibration of a carbon dioxide spectrometer[J]. Measurement Science and Technology, 2019, 30(5): 055401. doi: 10.1088/1361-6501/ab0c6d
    [17] 贾文波, 秦天翔, 黄蕴涵, 等. 红外双波段成像光谱仪光学系统的设计与分析[J]. 中国激光, 2021, 48(23): 2311002. doi: 10.3788/CJL202148.2311002

    JIA W B, QIN T X, HUANG Y H, et al. Design and analysis of optical system of an infrared dual-band imaging spectrometer[J]. Chinese Journal of Lasers, 2021, 48(23): 2311002. (in Chinese). doi: 10.3788/CJL202148.2311002
    [18] 赵志刚, 王鑫, 彭廷海, 等. 国外中长波双波段红外成像技术的发展及应用[J]. 红外技术, 2020, 42(4): 312-319. doi: 10.3724/SP.J.7101502294

    ZHAO ZH G, WANG X, PENG T H, et al. Status quo and application of middle and long wave dual-band infrared imaging technologies in occident[J]. Infrared Technoiogy, 2020, 42(4): 312-319. (in Chinese). doi: 10.3724/SP.J.7101502294
    [19] 耿海涛, 虞林瑶, 张葆. 大变倍比制冷型红外双波段变焦光学系统设计[J]. 中国光学(中英文), 2024, 17(6): 1431-1441. doi: 10.37188/CO.2024-0007

    GENG H T, YU L Y, ZHANG B. Design of cooled infrared dual-band zoom optical system with large-magnification-ratio[J]. Chinese Optics, 2024, 17(6): 1431-1441. (in Chinese). doi: 10.37188/CO.2024-0007
    [20] 栗洋洋, 杨加强, 彭晴晴, 等. 制冷型红外双波段广角无热化光学系统设计[J]. 激光与红外, 2023, 53(5): 712-715.

    LI Y Y, YANG J Q, PENG Q Q, et al. Design of cooled infrared dual-band wide angle athermal optical system[J]. Laser & Infrared, 2023, 53(5): 712-715. (in Chinese).
    [21] 李刚, 张恒金, 徐沛尧. 红外R-C光学系统设计[J]. 红外技术, 2004, 26(2): 60-63.

    LI G, ZHANG H J, XU P Y. Design of the infrared R-C optical system[J]. Infrared Technology, 2004, 26(2): 60-63. (in Chinese).
    [22] 闫佩佩, 樊学武. R-C光学系统设计及杂散光分析[J]. 红外技术, 2011, 33(4): 214-218.

    YAN P P, FAN X W. Optical design and stray light analysis of R-C system[J]. Infrared Technology, 2011, 33(4): 214-218. (in Chinese).
    [23] 佟亚军, 吴刚, 周全, 等. Offner成像光谱仪的设计方法[J]. 光学学报, 2010, 30(4): 1148-1152. doi: 10.3788/AOS20103004.1148

    TONG Y J, WU G, ZHOU Q, et al. Design method of Offner-type imaging spectrometer[J]. Acta Optica Sinica, 2010, 30(4): 1148-1152. (in Chinese). doi: 10.3788/AOS20103004.1148
    [24] PRIETO-BLANCO X, MONTERO-ORILLE C, COUCE B, et al. Analytical design of an Offner imaging spectrometer[J]. Optics Express, 2006, 14(20): 9156-9168. doi: 10.1364/OE.14.009156
    [25] 刘智颖, 高柳絮, 黄蕴涵. offner型连续变焦中波红外光谱成像系统设计[J]. 红外与激光工程, 2019, 48(7): 0718003. doi: 10.3788/IRLA201948.0718003

    LIU ZH Y, GAO L X, HUANG Y H. Design of continuous zoom medium-wave infrared spectral imaging system based on offner scheme[J]. Infrared and Laser Engineering, 2019, 48(7): 0718003. (in Chinese). doi: 10.3788/IRLA201948.0718003
    [26] 王希, 彭晴晴, 徐长彬, 等. 大视场大孔径制冷型红外光学系统设计[J]. 激光与红外, 2023, 53(10): 1575-1578. doi: 10.3969/j.issn.1001-5078.2023.10.017

    WANG X, PENG Q Q, XU CH B, et al. Refrigerated infrared optical system design with large aperture and wide field-of-view[J]. Laser & Infrared, 2023, 53(10): 1575-1578. (in Chinese). doi: 10.3969/j.issn.1001-5078.2023.10.017
    [27] 陈津津, 金宁, 周立钢, 等. 高清晰大变倍比中波红外连续变焦光学系统设计[J]. 红外与激光工程, 2013, 42(10): 2742-2747.

    CHEN J J, JIN N, ZHOU L G, et al. High resolution middle infrared continuous zoom optical system with large zoom range[J]. Infrared and Laser Engineering, 2013, 42(10): 2742-2747. (in Chinese).
    [28] 卜和阳, 虞林瑶, 田浩南, 等. 中波红外成像系统冷反射抑制[J]. 中国光学(中英文), 2023, 16(6): 1414-1423. doi: 10.37188/CO.2023-0008

    BU H Y, YU L Y, TIAN H N, et al. Narcissus suppression of medium-wave infrared imaging system[J]. Chinese Optics, 2023, 16(6): 1414-1423. (in Chinese). doi: 10.37188/CO.2023-0008
    [29] 董一优. 折衍射致冷红外光学系统的冷反射特性研究[D]. 长春: 长春理工大学, 2024.

    DONG Y Y. Characterization of narcissus in refractive diffraction-cooled infrared optical systems[D]. Changchun: Changchun University of Science and Technology, 2024. (in Chinese).
    [30] 李康, 周峰, 王保华, 等. 制冷型被动式消热差红外光学系统设计[J]. 中国光学(中英文), 2023, 16(4): 853-860. doi: 10.37188/CO.2022-0205

    LI K, ZHOU F, WANG B H, et al. Passive athermalization design of a cooled infrared optical system[J]. Chinese Optics, 2023, 16(4): 853-860. (in Chinese). doi: 10.37188/CO.2022-0205
  • 加载中
图(25) / 表(3)
计量
  • 文章访问数:  423
  • HTML全文浏览量:  242
  • PDF下载量:  71
  • 被引次数: 0
出版历程
  • 收稿日期:  2025-05-14
  • 修回日期:  2025-06-12
  • 网络出版日期:  2025-08-21

目录

    /

    返回文章
    返回