A noise suppression method for interferometric fiber optic sensor based on ameliorated EFA and adaptive SVMD
doi: 10.37188/CO.EN-2025-0038
-
摘要:
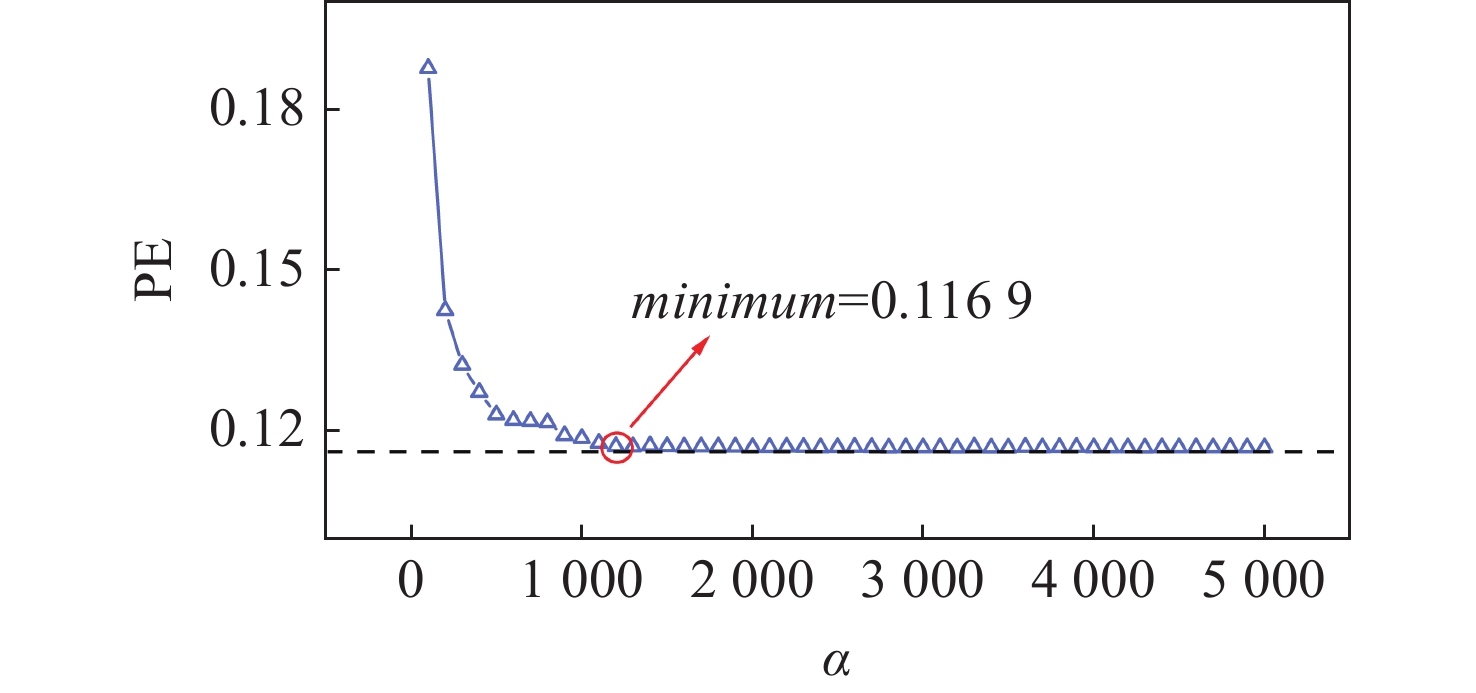
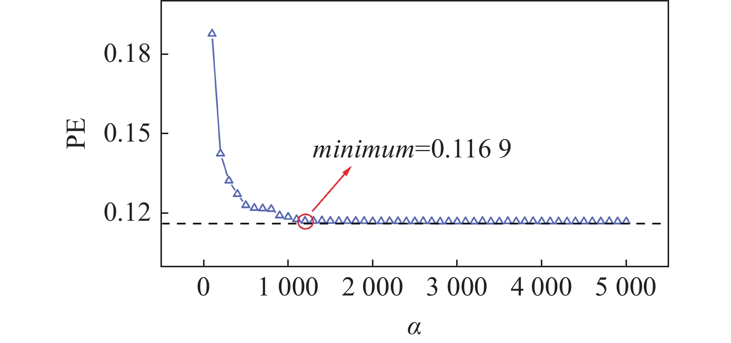
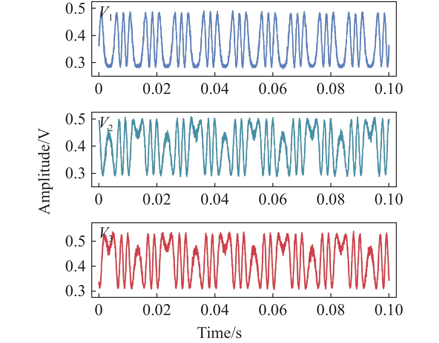
针对现有的噪声抑制策略无法同时降低固有系统噪声和外部环境噪声的问题,本文提出了一种基于改进椭圆拟合算法(Ameliorated Ellipse Fitting Algorithm, AEFA)和自适应连续变分模分解(Adaptive Successive Variational Mode Decomposition, ASVMD)的噪声抑制方法。该算法通过AEFA去除干涉信号中与直流、交流分量紧密耦合的系统噪声,得到仅含环境噪声的相位信号;随后针对该相位信号,采用ASVMD实现环境噪声的高效抑制,并通过排列熵对ASVMD的分解结果进行优化;最终利用相关系数从优化后的分解结果中过滤出纯净的目标相位信号。实验结果表明,AEFA和ASVMD相结合可有效地抑制系统和环境噪声。在处理50 Hz振动信号时,所提出的方案实现了17.81 dB的降噪和35.14 μrad/√Hz的相位分辨率。鉴于其出色的噪声抑制性能,该方案在高性能干涉传感系统中具有巨大的应用潜力。
-
关键词:
- 干涉型光纤振动传感器 /
- 椭圆拟合算法 /
- 连续变分模分解 /
- 噪声抑制
Abstract:Noise interference critically impairs the stability and data accuracy of sensing systems. However, current suppression strategies fail to concurrently mitigate intrinsic system noise and extrinsic environmental noise. This study introduces a composite denoising approach to address this challenge. This method is based on the ameliorated ellipse fitting algorithm (AEFA) and adaptive successive variational mode decomposition (ASVMD). This algorithm employs AEFA to eliminate system noise tightly coupled with direct-current and alternating-current components in the interference signal, thereby obtaining a phase signal containing only environmental noise. The ASVMD technique adaptively extracts environmental noise components predominantly present in the phase signal. To achieve optimal decomposition results automatically, the permutation entropy criterion is employed to refine decomposition parameters. The correlation coefficient is utilized to differentiate effective components from noise components in the decomposition results. Experimental results indicate that the combined AEFA and ASVMD algorithm effectively suppresses both system and environmental noises. When applied to 50 Hz vibration signal processing, the proposed approach achieves a noise reduction of 17.81 dB and a phase resolution of 35.14 μrad/√Hz. Given the excellent performance of the noise suppression, the proposed approach holds great application potential in high-performance interferometric sensing systems.
-
Table 1. Comparison of THD and SNR between EFA and AEFA results
Algorithm THD (%) SNR (dB) EFA 0.1541 37.6787 AEFA 0.1120 40.0029 Table 2. The CC between decomposition results and simulated signal
IMF component CC IMF1 0.9999 IMF2 0.0038 IMF3 0.0036 Table 3. Comparison of THD and SNR between EFA And AEFA results
Algorithm THD (%) SNR (dB) EFA 0.1733 52.9978 AEFA 0.1716 54.2644 Table 4. The CC between decomposition results and experimental signal
IMF component CC value IMF1 0.9999 IMF2 0.0037 IMF3 0.0015 IMF4 0.0007 IMF5 0.0005 IMF6 0.0006 -
[1] MA SH N, XU Y P, PANG Y X, et al. Optical fiber sensors for high-temperature monitoring: a review[J]. Sensors, 2022, 22(15): 5722. doi: 10.3390/s22155722 [2] SAHOTA J K, GUPTA N, DHAWAN D. Fiber Bragg grating sensors for monitoring of physical parameters: a comprehensive review[J]. Optical Engineering, 2020, 59(6): 060901. doi: 10.1117/1.oe.59.6.060901 [3] PENDÃO C, SILVA I. Optical fiber sensors and sensing networks: overview of the main principles and applications[J]. Sensors, 2022, 22(19): 7554. doi: 10.3390/s22197554 [4] GUEVARA-HERNANDEZ S D, HERNANDEZ-GARCIA J C, FILOTEO-RAZO J D, et al. Design and study of fiber optic interferometric devices applied to vibration detection systems[J]. Proceedings of SPIE, 2024, 12880: 1288005. [5] CORREA A I, GALARZA M, DAULIAT R, et al. High-frequency vibration sensor using a fiber laser with a multicore fiber interferometer[J]. IEEE Sensors Journal, 2024, 24(6): 7656-7662. doi: 10.1109/JSEN.2023.3348502 [6] ALSHAMMARI M, CHU Y F, HAN M. Real-time in situ phase sensitivity calibration of interferometric fiber-optic ultrasonic sensors[J]. Optics Letters, 2024, 49(18): 5336-5339. doi: 10.1364/OL.538136 [7] HE Z Y, LIU Q W. Optical fiber distributed acoustic sensors: a review[J]. Journal of Lightwave Technology, 2021, 39(12): 3671-3686. doi: 10.1109/JLT.2021.3059771 [8] PLOTNIKOV M Y, LAVROV V S, DMITRASCHENKO P Y, et al. Thin cable fiber-optic hydrophone array for passive acoustic surveillance applications[J]. IEEE Sensors Journal, 2019, 19(9): 3376-3382. doi: 10.1109/JSEN.2019.2894323 [9] Song Y F, Yang Q Y, Chen S T, et al. Measurement of trace hydrogen in atmosphere using polarized raman spectroscopy[J]. Chinese Journal of Analytical Chemistry, 2026, 54(1): 92-99. (in Chinese). [10] Shao D, Qin M, Fang W, et al. Quantification of atmospheric total reactive nitrogen oxidesby thermal decomposition-broadband cavity enhanced absorption spectroscopy[J]. Chinese Journal of Analytical Chemistry, 2025, 53(3): 387-396. (in Chinese). [11] Pan Z, Liu H J, Wang L X, et al. Draw-tower-grating-based fabry-perot interferometers for simultaneous measurements of temperature and salinity[J]. Optics Express, 2024, 32(13): 22687-22699. [12] KIRKENDALL C K, DANDRIDGE A. Overview of high performance fibre-optic sensing[J]. Journal of Physics D: Applied Physics, 2004, 37(18): R197-R216. doi: 10.1088/0022-3727/37/18/R01 [13] Xu X, Lin Q T, Mu H L, et al. Laser heterodyne interferometry for picometer-level displacement measurement[J]. Chinese Optics, 2025, 18(3): 535-546. (in Chinese). [14] LIU F, XIE SH R, GU L J, et al. Common-mode noise suppression technique in interferometric fiber-optic sensors[J]. Journal of Lightwave Technology, 2019, 37(21): 5619-5627. doi: 10.1109/JLT.2019.2933449 [15] PAN ZH, XU B, CHEN W J, et al. Improved complete ensemble empirical mode decomposition with adaptive noise and its application in noise reduction for fiber optic sensing[J]. Journal of Lightwave Technology, 2025, 43(5): 2466-2474. doi: 10.1109/JLT.2024.3489953 [16] GUI L, WU X Q, YU B L, et al. An improved PGC demodulation algorithm based on a reference interferometer to reduce intensity and phase noise[J]. Optik, 2021, 247: 167884. doi: 10.1016/j.ijleo.2021.167884 [17] ZHANG SH, ZHANG A L, PAN H G. Eliminating light intensity disturbance with reference compensation in interferometers[J]. IEEE Photonics Technology Letters, 2015, 27(17): 1888-1891. doi: 10.1109/LPT.2015.2444421 [18] Zhou Z R, Zhang G Q, Qiu Z J, et al. An improved phase generated carrier demodulation algorithm of fiber optic fabry-perot sensor[J]. Chinese Optics, 2024, 17(2): 312-323. (in Chinese). [19] XIA Q L, WU X Q, LIU X P, et al. Common-mode intensity noise suppression scheme in phase demodulation of 3×3 coupler based on ellipse fitting algorithm[J]. Optics Communications, 2025, 575: 131291. doi: 10.1016/j.optcom.2024.131291 [20] YU ZH H, CAI Y F, MO D L. Comparative study on noise reduction effect of fiber optic hydrophone based on LMS and NLMS algorithm[J]. Sensors, 2020, 20(1): 301. doi: 10.3390/s20010301 [21] LIU H J, ZHOU C M, PANG Y D, et al. Novel method for improving temperature resolution of fiber optic sensor based on variational mode decomposition[J]. Journal of Lightwave Technology, 2024, 42(6): 2137-2143. doi: 10.1109/JLT.2023.3325255 [22] PAN ZH, LIU H J, WANG L X, et al. A novel method for improving salinity resolution of optical fiber sensor based on modified adaptive variational mode decomposition[J]. Optics & Laser Technology, 2024, 177: 111212. doi: 10.1016/j.optlastec.2024.111212 [23] DRAGOMIRETSKIY K, ZOSSO D. Variational mode decomposition[J]. IEEE Transactions on Signal Processing, 2014, 62(3): 531-544. doi: 10.1109/TSP.2013.2288675 [24] MISHRA S P, WARULE P, DEB S. Speech emotion recognition using a combination of variational mode decomposition and Hilbert transform[J]. Applied Acoustics, 2024, 222: 110046. doi: 10.1016/j.apacoust.2024.110046 [25] LI D Q, YI D, FU W Q, et al. Temperature and acoustic field reconstruction in fiber optic DAS system based on variational mode decomposition[J]. IEEE Sensors Journal, 2024, 24(10): 16196-16203. doi: 10.1109/JSEN.2024.3385206 [26] NASSEF M G A, HUSSEIN T M, MOKHIAMAR O. An adaptive variational mode decomposition based on sailfish optimization algorithm and Gini index for fault identification in rolling bearings[J]. Measurement, 2021, 173: 108514. doi: 10.1016/j.measurement.2020.108514 [27] RAYI V K, MISHRA S P, NAIK J, et al. Adaptive VMD based optimized deep learning mixed kernel ELM autoencoder for single and multistep wind power forecasting[J]. Energy, 2022, 244: 122585. doi: 10.1016/j.energy.2021.122585 [28] NAZARI M, SAKHAEI S M. Successive variational mode decomposition[J]. Signal Processing, 2020, 174: 107610. doi: 10.1016/j.sigpro.2020.107610 [29] FANG CH X, SHI J H, FU ZH Y, et al. Improved ellipse-fitting phase demodulation technique to suppress the effect of light source intensity noise in interferometric system[J]. Optics Letters, 2023, 48(7): 1690-1693. doi: 10.1364/OL.483090 [30] GUO Y J, YANG Y D, JIANG SH F, et al. Rolling bearing fault diagnosis based on successive variational mode decomposition and the EP index[J]. Sensors, 2022, 22(10): 3889. doi: 10.3390/s22103889 [31] BANDT C, POMPE B. Permutation entropy: a natural complexity measure for time series[J]. Physical Review Letters, 2002, 88(17): 174102. doi: 10.1103/PhysRevLett.88.174102 [32] CHENG Y, WANG Z W, CHEN B Y, et al. An improved complementary ensemble empirical mode decomposition with adaptive noise and its application to rolling element bearing fault diagnosis[J]. ISA Transactions, 2019, 91: 218-234. doi: 10.1016/j.isatra.2019.01.038 [33] GAO K P, XU X X, LI J B, et al. Weak fault feature extraction for polycrystalline diamond compact bit based on ensemble empirical mode decomposition and adaptive stochastic resonance[J]. Measurement, 2021, 178: 109304. doi: 10.1016/j.measurement.2021.109304 [34] WU S, HUANG J B, LIU W, et al. Anti-noise UWFBG hydrophone array enhanced DAS system using optimising SVMD based on matched interferometric[J]. Optical Fiber Technology, 2024, 88: 104051. doi: 10.1016/j.yofte.2024.104051 [35] ZHANG Y Y, BAI Y S, WEN Y T, et al. Whale sound signal denoising based on SVMD and improved wavelet thresholding[J]. Measurement Science and Technology, 2024, 35(9): 097001. doi: 10.1088/1361-6501/ad56ab -
下载:









