留言板

尊敬的读者、作者、审稿人, 关于本刊的投稿、审稿、编辑和出版的任何问题, 您可以本页添加留言。我们将尽快给您答复。谢谢您的支持!

姓名
邮箱
手机号码
标题
留言内容
验证码

基于法诺共振的全介质硫系化合物超表面高性能中红外折射率传感

许诺 黄虎钧 郭万祺 姜湖 王莹莹 张培晴 沈祥 戴世勋 宋宝安

许诺, 黄虎钧, 郭万祺, 姜湖, 王莹莹, 张培晴, 沈祥, 戴世勋, 宋宝安. 基于法诺共振的全介质硫系化合物超表面高性能中红外折射率传感[J]. 中国光学(中英文), 2026, 19(2): 267-276. doi: 10.37188/CO.2025-0158
引用本文: 许诺, 黄虎钧, 郭万祺, 姜湖, 王莹莹, 张培晴, 沈祥, 戴世勋, 宋宝安. 基于法诺共振的全介质硫系化合物超表面高性能中红外折射率传感[J]. 中国光学(中英文), 2026, 19(2): 267-276. doi: 10.37188/CO.2025-0158
XU Nuo, HUANG Hu-jun, GUO Wan-qi, JIANG Hu, WANG Ying-ying, ZHANG Pei-qing, SHEN Xiang, DAI Shi-xun, SONG Bao-an. All-dielectric chalcogenide metasurfaces based on Fano resonance for high-performance mid-infrared refractive index sensing[J]. Chinese Optics, 2026, 19(2): 267-276. doi: 10.37188/CO.2025-0158
Citation: XU Nuo, HUANG Hu-jun, GUO Wan-qi, JIANG Hu, WANG Ying-ying, ZHANG Pei-qing, SHEN Xiang, DAI Shi-xun, SONG Bao-an. All-dielectric chalcogenide metasurfaces based on Fano resonance for high-performance mid-infrared refractive index sensing[J]. Chinese Optics, 2026, 19(2): 267-276. doi: 10.37188/CO.2025-0158

基于法诺共振的全介质硫系化合物超表面高性能中红外折射率传感

cstr: 32171.14.CO.2025-0158
基金项目: 国家自然科学基金(No. 62135011);宁波市自然科学基金(No. 2024J024)
详细信息
    作者简介:

    宋宝安(1980—),男,山西晋中人,教授,博士生导师。2009年于哈尔滨工业大学获得博士学位,现任宁波大学信息学院教授。长期致力于红外材料与光子器件研究,聚焦于硫系材料的可控制备、性能精准调控及光电特性高精度表征。E-mail:songbaoan@nbu.edu.cn

  • 中图分类号: O436

All-dielectric chalcogenide metasurfaces based on Fano resonance for high-performance mid-infrared refractive index sensing

Funds: Supported by National Natural Science Foundation of China (No. 62135011); Ningbo Natural Science Foundation (No. 2024J024)
More Information
  • 摘要:

    本文提出一种基于全介质超表面的高性能中红外折射率传感器,工作波长约为5.36 µm。超表面单元结构由四个对称分布的Sb2Se3半椭圆结构与一个中心Sb2Se3圆柱体周期性排列构成,以BaF2为衬底。采用时域有限差分法进行数值模拟,获得结构的反射光谱。进一步分析共振峰处的电磁场矢量分布,并探究几何参数对光谱的影响。反射光谱中观察到的法诺共振现象通过准连续域束缚态理论予以解释。通过对几何参数进行系统性扫描,重点考察在固定谐振峰强度条件下,各结构参数对器件品质因子与半高全宽的影响规律,比较不同方向调整参数时光谱线宽的响应差异。进一步通过改变背景折射率,研究了基于法诺共振的折射率传感特性。结果表明,该传感器最高灵敏度达1985 nm/RIU,最大品质因子为1096.6,优值达400。与现有报道的中红外折射率传感器相比,在灵敏度、品质因子及优质等关键性能上均展现出明显优势。本文研究为发展基于硫系化合物的高性能中红外光学传感器提供了有效的设计思路与性能参考。

     

  • 图 1  Sb2Se3蝶形超表面结构示意图。(a) 超表面阵列与入射光束;(b) 单元结构的YOZ平面侧视图;(c) 单元结构的XOY平面俯视图

    Figure 1.  Schematic diagram of the Sb2Se3 butterfly-shaped metasurface array. (a) Metasurface array and incident light; (b) side view of the unit structure in the YOZ plane; (c) top view of the unit structure in the XOY plane

    图 2  超表面结构的电磁场分布。(a) XOY平面内电场;(b) XOY平面内磁场;(c) XOZ平面内电场;(d) 超表面结构的反射光谱,周围介质为空气(n=1)

    Figure 2.  Electromagnetic field distributions of the metasurface structure. (a) Electric field in the XOY-plane; (b) magnetic field in the XOY-plane; (c) electric field in the XOZ-plane; (d) reflection spectra of the metasurface structure (ambient medium: air, n = 1)

    图 3  传感器性能的定量评估结果。(a) 超表面在不同折射率介质中的反射光谱;(b) 共振波长位移与环境折射率的依赖关系;(c) 共振波长位移随折射率的变化关系;(d) 共振峰的FOM值与品质因子Q随折射率的变化关系

    Figure 3.  Quantitative evaluation results of sensor performance. (a) Reflection spectra of the metasurface in media with varying refractive indices; (b) dependence of the resonance wavelength shift on the environmental refractive index; (c) resonance wavelength shift as a function of the refractive index; (d) the relationship between the FOM value of the resonance peak and the quality factor Q with changes in refractive index

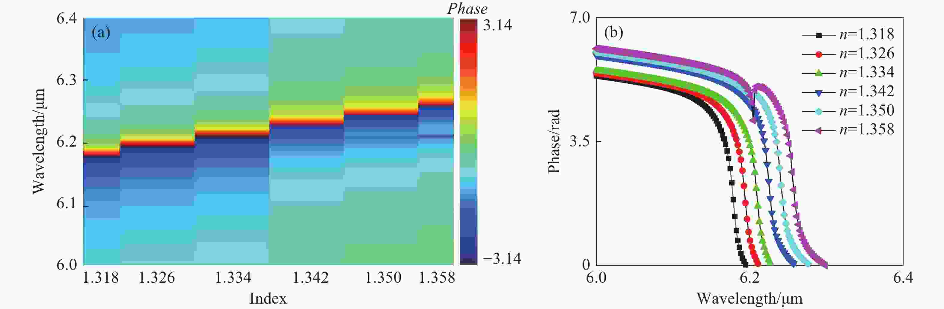
    图 4  在不同环境折射率下的谐振波长相位演化特性。(a)干涉相移分布图; (b)相位-折射率响应曲线

    Figure 4.  Phase evolution at resonance wavelength under varying ambient refractive index. (a) Interference phase-shift distribution map; (b) phase-refractive index response curve

    图 5  不同几何参数下的反射谱。(a) 中心柱半径r;(b) 半短轴R1;(c) 结构高度h

    Figure 5.  Transmission spectra under different geometric parameters. (a) Central pillar radius r; (b) semi-axis R1; (c) structure height h

    图 6  谐振波长随(a)半径r、(b)短半轴R1、(c)结构高度h变化的反射谱图

    Figure 6.  Reflection spectrum as a function of (a) the central pillar radius r; (b) the short semi-axis R1; (c) the structure height h

    图 7  FWHM及品质因子Q与结构参数rR1h的定量关系。(a) 中心柱半径r;(b) 短半轴R1;(c) 结构高度h

    Figure 7.  Quantitative relationship between FWHM, quality factor Q, and structural parameters r, R1, h. (a) Central pillar radius r; (b) minor semi-axis R1; (c) structure height h

  • [1] SHAMIM S, MOHSIN A S M, RAHMAN M, et al. Recent advances in the metamaterial and metasurface-based biosensor in the gigahertz, terahertz, and optical frequency domains[J]. Heliyon, 2024, 10(13): e33272. doi: 10.1016/j.heliyon.2024.e33272
    [2] LIU H G, ZHENG L, MA P ZH, et al. Metasurface generated polarization insensitive Fano resonance for high-performance refractive index sensing[J]. Optics Express, 2019, 27(9): 13252-13262. doi: 10.1364/OE.27.013252
    [3] LI SH P, XIE Y J, MENG J L, et al. Ultracompact and dynamically tunable plasmonic THz switch based on graphene microcavity metamaterial[J]. Optical Review, 2020, 27(3): 271-276. doi: 10.1007/s10043-020-00589-6
    [4] KOSHELEV K, FAVRAUD G, BOGDANOV A, et al. Nonradiating photonics with resonant dielectric nanostructures[J]. Nanophotonics, 2019, 8(5): 725-745. doi: 10.1515/nanoph-2019-0024
    [5] OVERVIG A, ALÙ A. Diffractive nonlocal metasurfaces[J]. Laser & Photonics Reviews, 2022, 16(8): 2100633. doi: 10.1002/lpor.202100633
    [6] HU T ZH, QIN ZH F, CHEN H, et al. High-Q filtering and dynamic modulation in all-dielectric metasurfaces induced by quasi-BIC[J]. Optics Express, 2022, 30(11): 18264-18272. doi: 10.1364/OE.457383
    [7] CHEN J L, CHEN ZH X, ZHOU Z X, et al. Spin-dependent edge detection and imaging enabled by optical circularly polarised states[J]. Light: Advanced Manufacturing, 2025, 6(1): 62-70. doi: 10.37188/lam.2025.008
    [8] MA J Y, REN J L, ZHANG J H, et al. Quantum imaging using spatially entangled photon pairs from a nonlinear metasurface[J]. eLight, 2025, 5(1): 2. doi: 10.1186/s43593-024-00080-8
    [9] DENG Y, WANG X, GONG Z L, et al. All-silicon broadband ultraviolet metasurfaces[J]. Advanced Materials, 2018, 30(38): 1802632.
    [10] ZHANG H R, WANG T, TIAN J Y, et al. Quasi-BIC laser enabled by high-contrast grating resonator for gas detection[J]. Nanophotonics, 2022, 11(2): 297-304. doi: 10.1515/nanoph-2021-0368
    [11] YANG W H, XIAO SH M, SONG Q H, et al. All-dielectric metasurface for high-performance structural color[J]. Nature Communications, 2020, 11(1): 1864. doi: 10.1038/s41467-020-15773-0
    [12] JI J T, YE ZH L, WANG ZH ZH, et al. Dynamic holographic display with addressable on-chip metasurface network based on lithium niobate photonics[J]. Light: Science & Applications, 2025, 14(1): 332.
    [13] ISLAM M S, SULTANA J, BIABANIFARD M, et al. Tunable localized surface plasmon graphene metasurface for multiband superabsorption and terahertz sensing[J]. Carbon, 2020, 158: 559-567. doi: 10.1016/j.carbon.2019.11.026
    [14] NEJAD M S, ARDAKANI A G. Significant enhancement of third harmonic generation in graphene layers placed on a random grating supporting plasmonic Anderson localized states[J]. Optics & Laser Technology, 2023, 161: 109123. doi: 10.1016/j.optlastec.2023.109123
    [15] LU X Y, ZHANG T Y, WAN R G, et al. Numerical investigation of narrowband infrared absorber and sensor based on dielectric-metal metasurface[J]. Optics Express, 2018, 26(8): 10179-10187. doi: 10.1364/OE.26.010179
    [16] ALIPOUR A, MIR A, FARMANI A. Ultra high-sensitivity and tunable dual-band perfect absorber as a plasmonic sensor[J]. Optics & Laser Technology, 2020, 127: 106201. doi: 10.1016/j.optlastec.2020.106201
    [17] LIU N, WEISS T, MESCH M, et al. Planar metamaterial analogue of electromagnetically induced transparency for plasmonic sensing[J]. Nano Letters, 2010, 10(4): 1103-1107. doi: 10.1021/nl902621d
    [18] 赵小龙, 常旭艳, 刘艳莉, 等. 基于非连通金属−介质−金属波导耦合D形谐振腔的多法诺共振传感器[J]. 中国光学(中英文), 2025, 18(6): 1484-1494.

    ZHAO X L, CHANG X Y, LIU Y L, et al. Multi-Fano resonances sensing based on a non-through metal-insulator-metal waveguide coupling D-shaped cavity[J]. Chinese Optics, 2025, 18(6): 1484-1494. (in Chinese).
    [19] 张志东, 张慧男, 梁洁, 等. 基于Au纳米平行双棒超表面阵列的双Fano共振和折射率传感器特性研究[J]. 中国光学(中英文), 2023, 16(4): 961-971. doi: 10.37188/CO.EN-2023-0008

    ZHANG ZH D, ZHANG H N, LIANG J, et al. Double Fano resonance and refractive index sensors based on parallel-arranged Au nanorod dimer metasurface arrays[J]. Chinese Optics, 2023, 16(4): 961-971. (in Chinese). doi: 10.37188/CO.EN-2023-0008
    [20] YANG S, NDUKAIFE J C. Optofluidic transport and assembly of nanoparticles using an all-dielectric quasi-BIC metasurface[J]. Light: Science & Applications, 2023, 12(1): 188.
    [21] LI J Y, YE L F. Dielectric dual-dimer metasurface for enhanced mid-infrared chiral sensing under both excitation modes[J]. Nanophotonics, 2023, 12(12): 2189-2197. doi: 10.1515/nanoph-2023-0128
    [22] YU SH L, LI H, WANG Y S, et al. Multiple Fano resonance excitation of all-dielectric nanoholes cuboid arrays in near infrared region[J]. Results in Physics, 2021, 28: 104569. doi: 10.1016/j.rinp.2021.104569
    [23] CHEN H W, FAN X Y, FANG W J, et al. High-Q Fano resonances in all-dielectric metastructures for enhanced optical biosensing applications[J]. Biomedical Optics Express, 2024, 15(1): 294-305. doi: 10.1364/BOE.510149
    [24] LI H, YU SH L, YANG L, et al. High Q-factor multi-Fano resonances in all-dielectric double square hollow metamaterials[J]. Optics & Laser Technology, 2021, 140: 107072. doi: 10.1016/j.optlastec.2021.107072
    [25] FAN H J, LI J, LIU CH, et al. Polarization-independent tetramer metasurface with multi-Fano resonances based on symmetry-protected bound states in the continuum[J]. Optics Communications, 2022, 525: 128864. doi: 10.1016/j.optcom.2022.128864
    [26] YESILKOY F, ARVELO E R, JAHANI Y, et al. Ultrasensitive hyperspectral imaging and biodetection enabled by dielectric metasurfaces[J]. Nature Photonics, 2019, 13(6): 390-396. doi: 10.1038/s41566-019-0394-6
    [27] LI H, XING J J, SHI Y, et al. Performance analysis and optimization of high Q-factor toroidal resonance refractive index sensor based on all-dielectric metasurface[J]. Optics & Laser Technology, 2023, 157: 108752. doi: 10.1016/j.optlastec.2022.108752
    [28] JAHANI Y, ARVELO E R, YESILKOY F, et al. Imaging-based spectrometer-less optofluidic biosensors based on dielectric metasurfaces for detecting extracellular vesicles[J]. Nature Communications, 2021, 12(1): 3246. doi: 10.1038/s41467-021-23257-y
    [29] NAIK G V, SHALAEV V M, BOLTASSEVA A. Alternative plasmonic materials: beyond gold and silver[J]. Advanced Materials, 2013, 25(24): 3264-3294. doi: 10.1002/adma.201205076
    [30] LUK'YANCHUK B, ZHELUDEV N I, MAIER S A, et al. The Fano resonance in plasmonic nanostructures and metamaterials[J]. Nature Materials, 2010, 9(9): 707-715. doi: 10.1038/nmat2810
    [31] CHRIST A, EKINCI Y, SOLAK H H, et al. Controlling the Fano interference in a plasmonic lattice[J]. Physical Review B, 2007, 76(20): 201405. doi: 10.1103/PhysRevB.76.201405
    [32] LY Q Y, WU X B, ZHOU Y J. Plasmonic nanosensors and metasensors based on new physical mechanisms[J]. Chemosensors, 2022, 10(10): 397. doi: 10.3390/chemosensors10100397
    [33] WANG P, KRASAVIN A V, LIU L F, et al. Molecular plasmonics with metamaterials[J]. Chemical Reviews, 2022, 122(19): 15031-15081. doi: 10.1021/acs.chemrev.2c00333
    [34] SINGH R, CAO W, AL-NAIB I, et al. Ultrasensitive terahertz sensing with high-Q Fano resonances in metasurfaces[J]. Applied Physics Letters, 2014, 105(17): 4895595. doi: 10.1063/1.4895595
    [35] LIU G D, ZHAI X, WANG L L, et al. A high-performance refractive index sensor based on Fano resonance in Si split-ring metasurface[J]. Plasmonics, 2018, 13(1): 15-19. doi: 10.1007/s11468-016-0478-9
    [36] LIM W X, SINGH R. Universal behaviour of high-Q Fano resonances in metamaterials: terahertz to near-infrared regime[J]. Nano Convergence, 2018, 5(1): 5. doi: 10.1186/s40580-018-0137-2
    [37] 刘欣丽. 用于太阳能电池的Sb2Se3薄膜光电特性及微观结构研究[D]. 宁波: 宁波大学, 2023.

    LIU X L. Study on photoelectric properties and microstructure of Sb2Se3 thin films applied in solar cells[D]. Ningbo: Ningbo University, 2023. (in Chinese).
    [38] LI SH L, HUANG L J, ZHONG H Z, et al. Observation of multiple quasi-bound states in the continuum by symmetry breaking in a photonic crystal slab[J]. Photonics Research, 2025, 13(4): 968-975. doi: 10.1364/PRJ.547681
    [39] SUN W W, LIANG ZH ZH, SHI X Y, et al. Potential of high Q dual band Mid-Infrared metasurfaces with Quasi-BIC for refractive index sensing[J]. Optics & Laser Technology, 2024, 174: 110631. doi: 10.1016/j.optlastec.2024.110631
    [40] CHEN X J, LIN J, WANG K. A review of integrated photonic devices using Sb2Se3[J]. Advanced Physics Research, 2025, 4(1): 2400080. doi: 10.1002/apxr.202400080
    [41] HSU C W, ZHEN B, STONE A D, et al. Bound states in the continuum[J]. Nature Reviews Materials, 2016, 1(9): 16048. doi: 10.1038/natrevmats.2016.48
    [42] BISWAS S K, ADI W, BEISENOVA A, et al. From weak to strong coupling: quasi-BIC metasurfaces for mid-infrared light-matter interactions[J]. Nanophotonics, 2024, 13(16): 2937-2949.
    [43] CHEN X E, ZHANG Y, CAI G X, et al. All-dielectric metasurfaces with high Q-factor Fano resonances enabling multi-scenario sensing[J]. Nanophotonics, 2022, 11(20): 4537-4549. doi: 10.1515/nanoph-2022-0394
    [44] LEE E, SEO I C, LIM S C, et al. Active switching and tuning of sharp Fano resonances in the mid-infrared spectral region[J]. Optics Express, 2016, 24(22): 25684-25696. doi: 10.1364/OE.24.025684
  • 加载中
图(7)
计量
  • 文章访问数:  239
  • HTML全文浏览量:  104
  • PDF下载量:  18
  • 被引次数: 0
出版历程
  • 收稿日期:  2025-12-16
  • 修回日期:  2026-01-06
  • 录用日期:  2026-02-03
  • 网络出版日期:  2026-03-24

目录

    /

    返回文章
    返回