留言板

尊敬的读者、作者、审稿人, 关于本刊的投稿、审稿、编辑和出版的任何问题, 您可以本页添加留言。我们将尽快给您答复。谢谢您的支持!

姓名
邮箱
手机号码
标题
留言内容
验证码

二维线性调频Z变换用于光束质量β因子计算

王艳茹 冉铮惠 丁宇洁

王艳茹, 冉铮惠, 丁宇洁. 二维线性调频Z变换用于光束质量β因子计算[J]. 中国光学(中英文), 2020, 13(5): 965-974. doi: 10.37188/CO.2020-0079
引用本文: 王艳茹, 冉铮惠, 丁宇洁. 二维线性调频Z变换用于光束质量β因子计算[J]. 中国光学(中英文), 2020, 13(5): 965-974. doi: 10.37188/CO.2020-0079
WANG Yan-ru, RAN Zheng-hui, DING Yu-jie. Beam quality β factor calculation based on two-dimensional chirp Z transformation[J]. Chinese Optics, 2020, 13(5): 965-974. doi: 10.37188/CO.2020-0079
Citation: WANG Yan-ru, RAN Zheng-hui, DING Yu-jie. Beam quality β factor calculation based on two-dimensional chirp Z transformation[J]. Chinese Optics, 2020, 13(5): 965-974. doi: 10.37188/CO.2020-0079

二维线性调频Z变换用于光束质量β因子计算

cstr: 32171.14.CO.2020-0079
基金项目: 国防科工局技术基础项目(No. JSJL201712B002)
详细信息
    作者简介:

    王艳茹(1983—),女,陕西渭南人,博士研究生,高级工程师,2011年于中国科学院光电技术研究所获得博士学位,目前主要从事光学计量与检测技术方面的研究工作。E-mail: wyr3235@163.com

  • 中图分类号: O438

Beam quality β factor calculation based on two-dimensional chirp Z transformation

Funds: Supported by Basic Technology Project of Science Technology and Industry for National Defense (No. JSJL201712B002)
More Information
  • 摘要: 本文提出了一种基于二维线性调频Z变换的衍射光场分布快速计算方法,该方法在不增加运算量的情况下可以显著提高光场分布的图像分辨率,进而能够得到更准确的光束质量β因子值。在算法正确性验证的基础上,本文数值模拟了不同光束波前畸变的均方根RMS值与光束质量β因子的对应关系。仿真结果表明,在像差分布RMS值相同的前提下,几种低阶像差类型中球差类型的像差对光束质量的影响最大。为了模拟不同光斑分布形态,随机Zernike像差组合方式的光束质量β因子的仿真计算结果表明:相同的RMS值情况下,高阶像差占比较高的像差组合方式对应的光束质量β因子较大。

     

  • 图 1  二维Z变换算法流程图

    Figure 1.  Flowchart of two-dimensional chirp Z transformation (CZT)

    图 2  (a)线性调频Z变换的计算路径和(b)透光孔函数

    Figure 2.  (a) The calculation path of CZT algorithm and (b) transparent hole function used in the calculation

    图 3  (a)探测面上的衍射光强分布及(b)衍射强度曲线

    Figure 3.  (a) Diffraction intensity distribution at the detection plane and (b) diffraction intensity curve in one dimension

    图 4  (a)s-fft算法及(b)CZT算法的衍射强度分布

    Figure 4.  Diffraction distributions of (a) s-fft algorithm and (b) CZT algorithm

    图 5  (a)彗差和(b)球差对应的探测面上的衍射强度分布

    Figure 5.  Diffraction distributions of (a) coma wavefront aberration and (b) spherical wavefront aberration

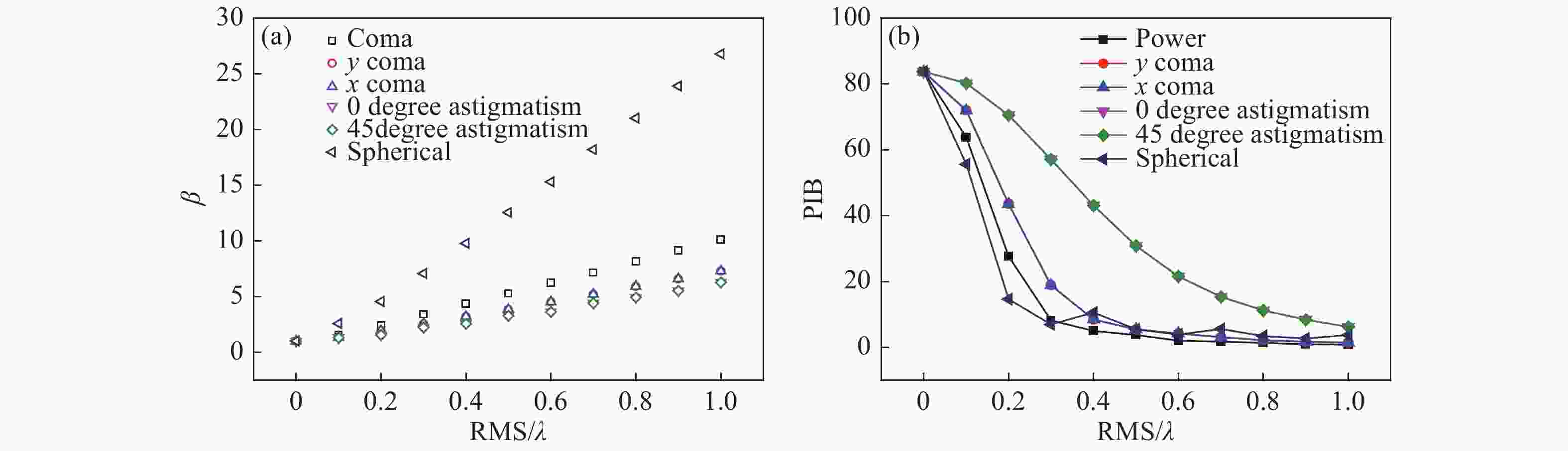
    图 6  (a)光束质量β因子和(b)桶中功率PIB随波像差RMS值的变化关系

    Figure 6.  (a)Beam quality β factor and (b) PIB changing with RMS of wavefront aberration

    图 7  随机像差对应的光束质量β因子波动(a)和β因子的统计分布(b)

    Figure 7.  (a)Fluctuation of β factor with random wavefront aberrations and (b) statistical distribution of the β factor

    图 8  Zernike多项式系数分布图

    Figure 8.  Coefficient of Zernike polynomial

    图 9  不同均方根RMS值的随机像差对应的β因子变化情况

    Figure 9.  Variation in the β factor corresponding to random wavefront aberrations for different RMS values

    表  1  光束质量β因子统计结果

    Table  1.   Statistical results of the β factor

    波像差RMS值β因子统计均值β因子标准偏差
    0.1λ2.500.06
    0.2λ4.420.04
    0.3λ6.560.07
    0.4λ8.660.10
    0.5λ10.810.13
    0.6λ12.640.16
    0.7λ14.870.18
    0.8λ17.110.21
    0.9λ18.670.22
    1.0λ20.900.24
    下载: 导出CSV
  • 吕百达, 康小平. 对激光光束质量一些问题的认识[J]. 红外与激光工程,2007,36(1):47-51. doi: 10.3969/j.issn.1007-2276.2007.01.012

    LÜ B D, KANG X P. Some aspects of laser beam quality[J]. Infrared and Laser Engineering, 2007, 36(1): 47-51. (in Chinese) doi: 10.3969/j.issn.1007-2276.2007.01.012
    田英华, 叶一东, 向汝建, 等. 光束质量因子测量的不确定度分析[J]. 强激光与粒子束,2008,20(7):1076-1078.

    TIAN Y H, YE Y D, XIANG R J, et al. Evaluation of uncertainty in beam quality measurement[J]. High Power Laser and Particle Beams, 2008, 20(7): 1076-1078. (in Chinese)
    王云萍, 黄建余, 乔广林. 高能激光光束质量的评价方法[J]. 光电子·激光,2001,12(10):1029-1033. doi: 10.3321/j.issn:1005-0086.2001.10.012

    WANG Y P, HUANG J Y, QIAO G L. A method for evaluating high energy laser beam quality[J]. Journal of Optoelectronics·Laser, 2001, 12(10): 1029-1033. (in Chinese) doi: 10.3321/j.issn:1005-0086.2001.10.012
    闫宏宇, 高欣, 宋健, 等. 976 nm宽条形高功率半导体激光器的光束质量M2评价[J]. 发光学报,2019,40(2):196-203. doi: 10.3788/fgxb20194002.0196

    YAN H Y, GAO X, SONG J, et al. Evaluation of beam quality M2 for 976 nm wide stripe high power semiconductor laser[J]. Chinese Journal of Luminescence, 2019, 40(2): 196-203. (in Chinese) doi: 10.3788/fgxb20194002.0196
    陈诚, 郑加金, 韦玮, 等. 基于CCD测量激光光束质量M2[J]. 发光学报,2017,38(5):642-647. doi: 10.3788/fgxb20173805.0642

    CHEN CH, ZHENG J J, WEI W, et al. Measurement of laser beam quality M2 based on CCD[J]. Chinese Journal of Luminescence, 2017, 38(5): 642-647. (in Chinese) doi: 10.3788/fgxb20173805.0642
    许坤, 付林杰, 钟发成, 等. 高光束质量垂直腔面发射激光器同相耦合阵列[J]. 发光学报,2018,39(6):844-849. doi: 10.3788/fgxb20183906.0844

    XU K, FU L J, ZHONG F CH, et al. High beam quality in-phase coupled vertical cavity surface emitting laser array[J]. Chinese Journal of Luminescence, 2018, 39(6): 844-849. (in Chinese) doi: 10.3788/fgxb20183906.0844
    鲜浩, 姜文汉. 波像差与光束质量指标的关系[J]. 中国激光,1999,26(5):415-419. doi: 10.3321/j.issn:0258-7025.1999.05.007

    XIAN H, JIANG W H. The relation between wavefront aberration and the beam quality factor[J]. Chinese Journal of Lasers, 1999, 26(5): 415-419. (in Chinese) doi: 10.3321/j.issn:0258-7025.1999.05.007
    李新阳, 鲜浩, 王春鸿, 等. 波像差与光束质量β因子的关系[J]. 中国激光,2005,32(6):798-802. doi: 10.3321/j.issn:0258-7025.2005.06.016

    LI X Y, XIAN H, WANG CH H, et al. Relationship between beam quality factor β and wavefront error[J]. Chinese Journal of Lasers, 2005, 32(6): 798-802. (in Chinese) doi: 10.3321/j.issn:0258-7025.2005.06.016
    李新阳, 姜文汉, 王春红, 等. 湍流大气中哈特曼传感器的模式波前复原误差[J]. 强激光与粒子束,2000,12(2):148-154.

    LI X Y, JIANG W H, WANG CH H, et al. Modal reconstruction error of the hartmann sensor on measuring the atmosphere disturbed wavefront[J]. High Power Laser and Particle Beams, 2000, 12(2): 148-154. (in Chinese)
    李新阳, 姜文汉, 王春红, 等. 湍流大气中哈特曼传感器的模式波前复原误差II[J]. 强激光与粒子束,2000,12(3):319-323.

    LI X Y, JIANG W H, WANG CH H, et al. Modal reconstruction error of the hartmann sensor on measuring the atmosphere disturbed wavefront II[J]. High Power Laser &Particle Beams, 2000, 12(3): 319-323. (in Chinese)
    李新阳, 姜文汉. 哈特曼传感器对湍流畸变波前的泽尼克模式复原误差[J]. 强激光与粒子束,2002,14(2):243-249.

    LI X Y, JIANG W H. Zernike modal wavefront reconstruction error of Hartmann sensor on measuring the atmosphere disturbed wavefront[J]. High Power Laser and Particle Beams, 2002, 14(2): 243-249. (in Chinese)
    刘志强, 宋庆和, 刘超, 等. 基于虚拟光波场的菲涅耳衍射计算及应用研究[J]. 应用光学,2018,39(2):196-199.

    LIU ZH Q, SONG Q H, LIU CH, et al. Fresnel diffraction calculation with virtual light wave field and its application[J]. Journal of Applied Optics, 2018, 39(2): 196-199. (in Chinese)
    胡琪, 王喆, 刘洪顺, 等. 基于单次傅里叶变换的分段衍射算法[J]. 中国光学,2018,11(4):568-575. doi: 10.3788/co.20181104.0568

    HU Q, WANG ZH, LIU H SH, et al. Step diffraction algorithm based on single fast fourier transform algorithm[J]. Chinese Optics, 2018, 11(4): 568-575. (in Chinese) doi: 10.3788/co.20181104.0568
    向红丽, 范琦, 李云, 等. FFT计算菲涅尔衍射相位的跳变与矫正研究[J]. 计算机与现代化,2018(8):35-38, 50. doi: 10.3969/j.issn.1006-2475.2018.08.007

    XIANG H L, FAN Q, LI Y, et al. Jump and correction of Fresnel diffraction phase[J]. Computer and Modernization, 2018(8): 35-38, 50. (in Chinese) doi: 10.3969/j.issn.1006-2475.2018.08.007
    钱克矛, 李川奇. 频谱校正的线性调频Z变换方法[J]. 振动工程学报,2000,13(4):628-632. doi: 10.3969/j.issn.1004-4523.2000.04.019

    QIAN K M, LI CH Q. New spectrum correction method based on chirp Z transform[J]. Journal of Vibration Engineering, 2000, 13(4): 628-632. (in Chinese) doi: 10.3969/j.issn.1004-4523.2000.04.019
    徐建军, 胡光东, 李锦明. 线性调频Z变换在信号频谱分析中的应用[J]. 应用基础与工程科学学报,2009,17(6):966-972. doi: 10.3969/j.issn.1005-0930.2009.06.019

    XU J J, HU G D, LI J M. Chirp-Z transform and its applications in spectrum analysis[J]. Journal of Basic Science and Engineering, 2009, 17(6): 966-972. (in Chinese) doi: 10.3969/j.issn.1005-0930.2009.06.019
    赖俊森, 杨爱英, 孙雨南. 线性调频Z变换在光采样光性能监测中的应用[J]. 北京理工大学学报,2011,31(7):833-837, 854.

    LAI J S, YANG A Y, SUN Y N. Application of Chirp-Z transform to the optical-sampling optical performance monitoring[J]. Transactions of Beijing Institute of Technology, 2011, 31(7): 833-837, 854. (in Chinese)
  • 加载中
图(9) / 表(1)
计量
  • 文章访问数:  2606
  • HTML全文浏览量:  715
  • PDF下载量:  92
  • 被引次数: 0
出版历程
  • 收稿日期:  2020-04-27
  • 修回日期:  2020-05-29
  • 网络出版日期:  2020-09-16
  • 刊出日期:  2020-10-01

目录

    /

    返回文章
    返回