留言板

尊敬的读者、作者、审稿人, 关于本刊的投稿、审稿、编辑和出版的任何问题, 您可以本页添加留言。我们将尽快给您答复。谢谢您的支持!

姓名
邮箱
手机号码
标题
留言内容
验证码

基于高温LDAs泵浦Zigzag Nd:YAG大能量脉冲激光器

赵千喜 王鹤鹏 吴从正 李岩 邹永刚 徐英添 张崇

赵千喜, 王鹤鹏, 吴从正, 李岩, 邹永刚, 徐英添, 张崇. 基于高温LDAs泵浦Zigzag Nd:YAG大能量脉冲激光器[J]. 中国光学(中英文). doi: 10.37188/CO.2025-0147
引用本文: 赵千喜, 王鹤鹏, 吴从正, 李岩, 邹永刚, 徐英添, 张崇. 基于高温LDAs泵浦Zigzag Nd:YAG大能量脉冲激光器[J]. 中国光学(中英文). doi: 10.37188/CO.2025-0147
ZHAO Qian-xi, WANG He-peng, WU Cong-zheng, LI Yan, ZOU Yong-gang, XU Ying-tian, ZHANG Chong. High-temperature LDAs-pumped Zigzag Nd:YAG high-energy pulse laser[J]. Chinese Optics. doi: 10.37188/CO.2025-0147
Citation: ZHAO Qian-xi, WANG He-peng, WU Cong-zheng, LI Yan, ZOU Yong-gang, XU Ying-tian, ZHANG Chong. High-temperature LDAs-pumped Zigzag Nd:YAG high-energy pulse laser[J]. Chinese Optics. doi: 10.37188/CO.2025-0147

基于高温LDAs泵浦Zigzag Nd:YAG大能量脉冲激光器

cstr: 32171.14.CO.2025-0147
基金项目: 吉林省中青年科技创业卓越人才项目(No. 20220508138RC)
详细信息
    作者简介:

    李 岩(1982—),男,吉林长春人,博士,助理研究员。2016年毕业于北京理工大学光电学院,同年入职长春理工大学高功率半导体激光国家重点实验室。主要从事高功率固体激光器及光电检测方向研究。E-mail:liyan8281@cust.edu.cn

  • 中图分类号: TN242

High-temperature LDAs-pumped Zigzag Nd:YAG high-energy pulse laser

Funds: Supported by Outstanding Young and Middle-aged Talents Program for Technology Entrepreneurship of Jilin province (No. 20220508138RC)
More Information
  • 摘要:

    为满足特殊环境下激光系统对轻量化结构与高能量脉冲输出的双重需求,本研究设计并实现了一种采用高温半导体激光器阵列(Laser Diode Arrays, LDAs)侧面泵浦Zigzag Nd:YAG晶体的无水冷高能脉冲激光系统。振荡光在晶体内呈现”Zigzag”路径以增加增益长度,LDAs分别对两个晶体采用轴对称式泵浦,以改善增益分布均匀性。通过隔热材料实现Nd:YAG晶体与LDAs的热隔离,并分别采用半导体制冷器(Thermoelectric Cooler, TEC)与强制风冷对Nd:YAG晶体和LDAs进行独立温控,确保热管理的稳定性与高效性。磷酸二氘钾晶体(Potassium Dideuterium Phosphate, DKDP)作为电光调Q晶体。在不使用水冷,重复频率为100 Hz(占空比为2.5%)的条件下,实现了129.2 mJ的脉冲激光输出,脉冲宽度为9.0 ns,对应的光-光转换效率为9.6%,斜效率为13.1%,输出能量稳定性优于2.26%,并在150 Hz重复频率下取得了87.6 mJ的能量输出。该激光系统为激光测距、激光照射等领域提供了一种环境适应性强、结构紧凑的新型光源解决方案。

     

  • 图 1  Nd:YAG模块的(a)二维结构示意图 及(b) 三维结构示意图

    Figure 1.  (a) Two-dimensional (b) three-dimensional structural schematic of Nd:YAG module

    图 2  (a) 不同厚度下晶体的吸收效率;(b)晶体内“Zigzag”光路示意图

    Figure 2.  (a) Absorption efficiency of the crystal at different thicknesses; (b) “Zigzag” optical path in the crystal

    图 3  单个Nd:YAG上强度分布. (a)晶体截面(Z=27.5 mm) (b)晶体上表面(Y=3 mm)、侧面(X=0 mm) on single Nd:YAG.

    Figure 3.  Intensity distributions (a) Crystal cross-section (Z=27.5 mm) ;(b) Crystal top surface (Y=3 mm) and side face (X=0 mm)

    图 4  单个Nd:YAG上小信号分布(a)晶体截面(Z=27.5 mm);(b)晶体上表面(Y=3 mm)、侧面(X=0 mm)

    Figure 4.  Single Nd:YAG small-signal gain distribution (a) Crystal cross-section (Z=27.5 mm); (b) Crystal top surface (Y=3 mm) and side face (X=0 mm)

    图 5  (a)晶体表面及(b)“L”形散热模块的温度分布

    Figure 5.  Temperature distribution of (a) crystal surface and (b) “L”-shaped heat dissipation module

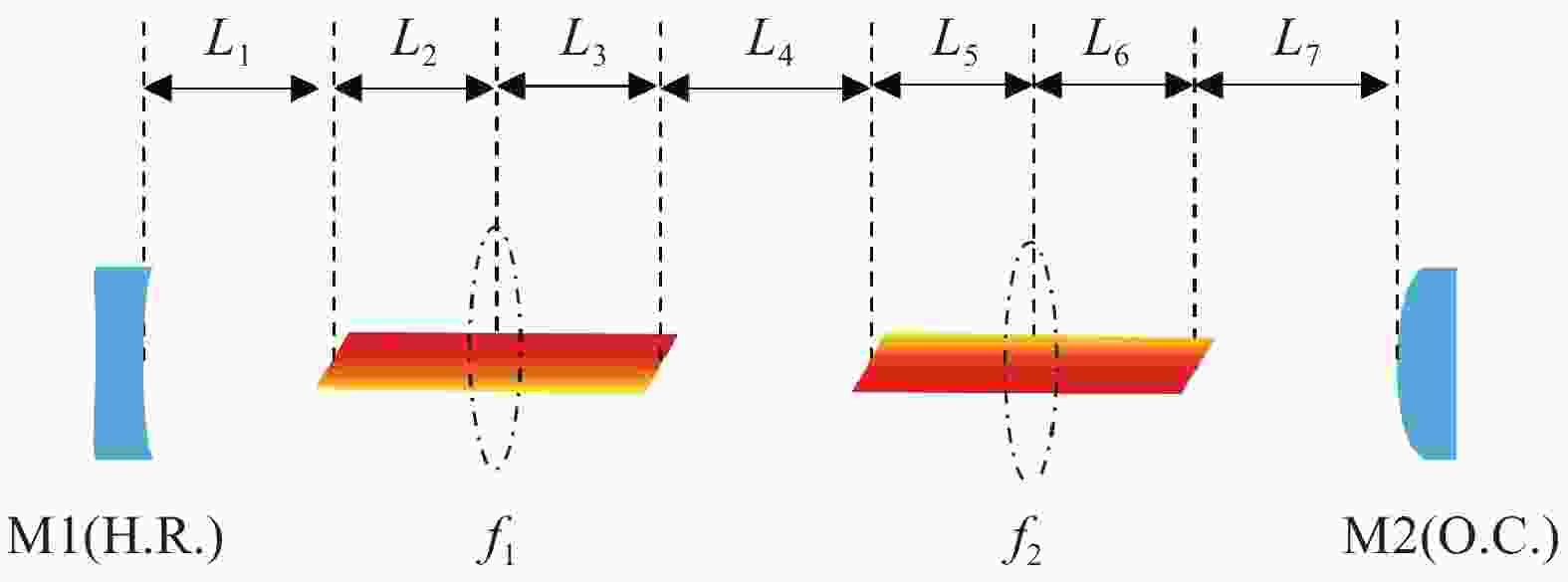
    图 6  简化的激光谐振腔结构布局图

    Figure 6.  Simplified laser resonator structure layout diagram

    图 7  稳定性与热透镜效应之间的关系

    Figure 7.  Relationship between stability and thermal lensing

    图 8  Nd:YAG激光器脉冲实验装置

    Figure 8.  Experimental setup of an electro-optic Q-switched Nd: YAG laser

    图 9  不同频率下LDAs的输出光谱和工作温度

    Figure 9.  Output spectrum and operating temperature of LDAs at different frequencies

    图 10  不同重复频率下输出能量随泵浦能量变化关系。(a)20 Hz;(b)50 Hz;(c)75 Hz;(d)100 Hz;

    Figure 10.  Output energy varies with pump energy at different repetition rates. (a) 20 Hz; (b) 50 Hz; (c) 75 Hz; (d) 100 Hz

    图 11  (a)100 Hz单个脉冲波形;(b)最大能量输出时光斑及束腰半径变化

    Figure 11.  (a) Single-pulse waveform at 100 Hz; (b) changes in the spot size and heam waist radius at maximum energy output

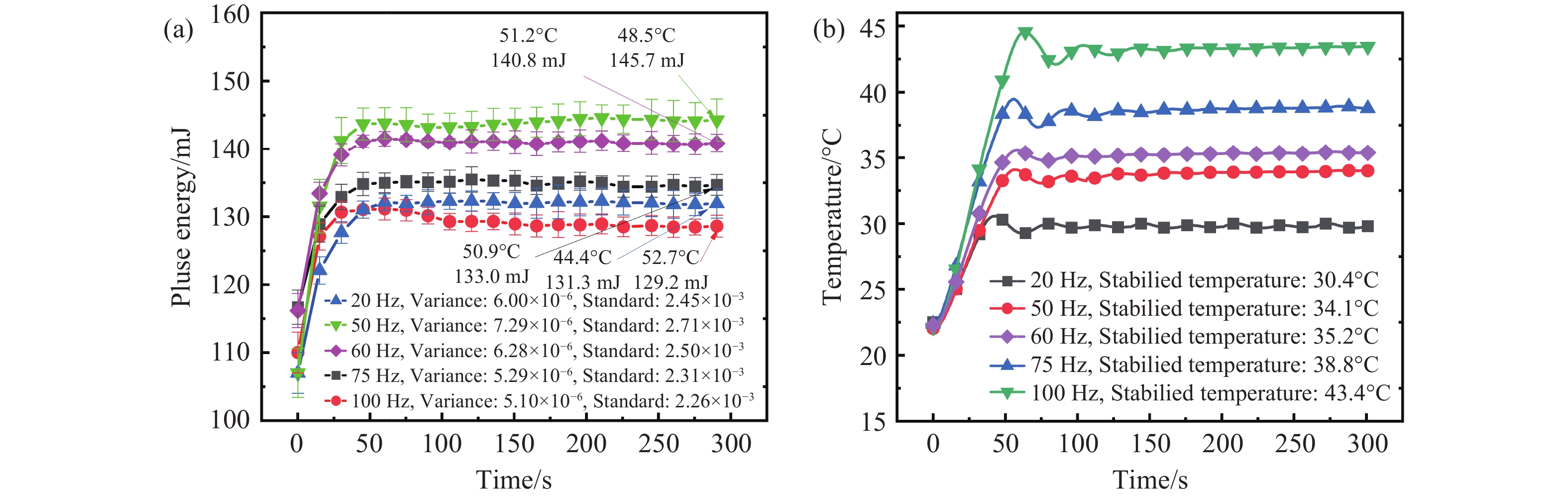
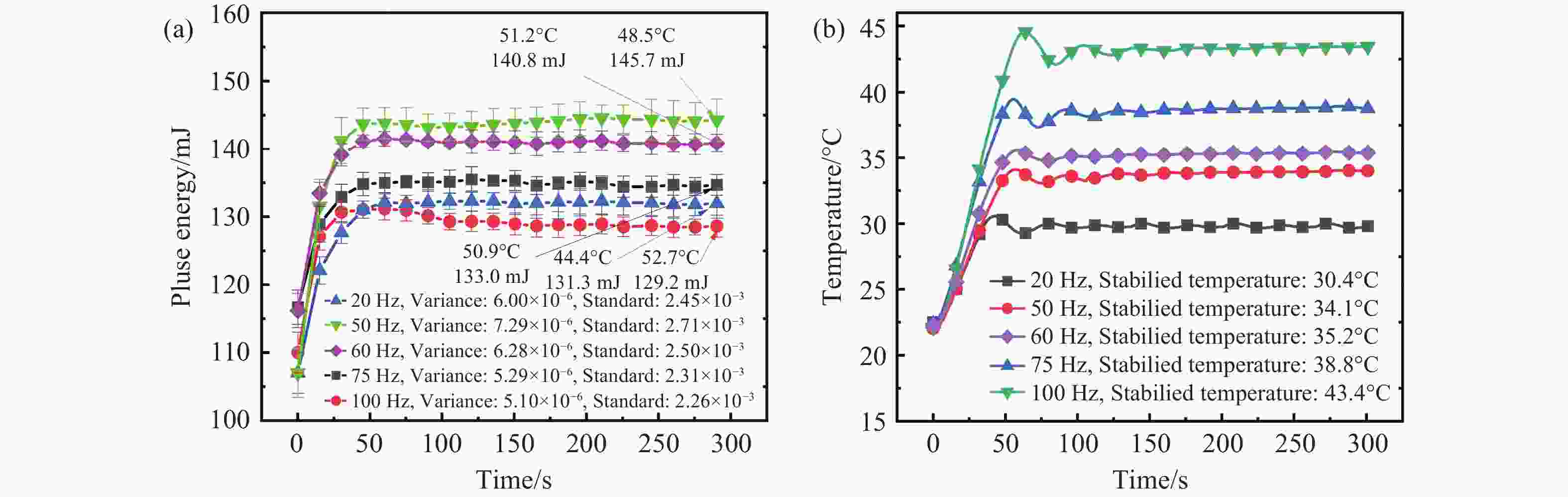
    图 12  (a)能量稳定性及LDAs稳定时的温度;(b)Nd:YAG测试温度变化曲线

    Figure 12.  (a) Power stability and steady-state temperature of LDAs; (b) Nd:YAG temperature test curve

    图 13  (a)输出能量与脉冲重复频率的关系.(b) 激光器实物图

    Figure 13.  (a) Relationship between output energy and pulse repetition frequency. (b) Photo of the complete laser

    表  1  计算使用的各种参数值

    Table  1.   Various parameters and their values used for calculation

    参数 数值 意义
    $ {\eta }_{Q} $ 0.85 量子效率
    $ {\eta }_{S} $ 0.76 斯托克斯系数
    $ {\eta }_{B} $ 0.95 光束重叠效率
    $ {\eta }_{a} $ 0.987 泵浦吸收效率
    $ {P}_{{\mathrm{ab}}} $ 5 400 W 总峰值功率
    $ V $ 1.8 cm3 增益介质体积
    $ {I}_{s} $ 2900 W/cm2 饱和光强
    $ L $ 0.05 腔内损耗
    $ l $ 8 cm Nd:YAG有效泵浦长度
    下载: 导出CSV
  • [1] GRIGORE O V, PAVEL N. Laser ignition of hydrogen/air mixtures in a constant-volume combustion chamber using a pulse-burst Nd: YAG/Cr4+ : YAG laser spark plug[J]. Optics Express, 2024, 32(17): 30344-30359. doi: 10.1364/OE.532567
    [2] QI Y X, ZHANG S S, YE ZH B, et al. Multi-mode stable, high peak power Nd: YAG laser device for laser cleaning[J]. Applied Optics, 2024, 63(12): 3277-3282. doi: 10.1364/AO.516570
    [3] CHEN S B, LI J L, UEDA K I. Pulsed azimuthally polarized beam from passively Q-switched rotating Nd: YAG disk laser[J]. Applied Physics Express, 2021, 14(4): 042001. doi: 10.35848/1882-0786/abe80c
    [4] 邹吉跃, 刘学胜, 徐爱东, 等. 大信号无水冷LD侧泵Nd:YAG激光放大器[J]. 发光学报, 2019, 40(7): 885-890. doi: 10.3788/fgxb20194007.0885

    ZOU J Y, LIU X SH, XU A D, et al. Large signal LD side-pumped Nd: YAG laser amplifier without water-cooler[J]. Chinese Journal of Luminescence, 2019, 40(7): 885-890. (in Chinese). doi: 10.3788/fgxb20194007.0885
    [5] DING J Y, YU G L, FANG CH Q, et al. High beam quality of nanosecond Nd: YAG slab laser system with SBS-PCM[J]. Optics Communications, 2020, 475: 126273. doi: 10.1016/j.optcom.2020.126273
    [6] 吴健宏, 杜仕峰, 高昀, 等. 紧凑高效型百瓦级2 μm棒状Tm:YAG激光器[J]. 发光学报, 2023, 44(11): 2027-2032. doi: 10.37188/CJL.20230174

    WU J H, DU SH F, GAO Y, et al. Compact and efficient hundred-watt level 2 μm rod Tm:YAG laser[J]. Chinese Journal of Luminescence, 2023, 44(11): 2027-2032. (in Chinese). doi: 10.37188/CJL.20230174
    [7] RAZA K, KHAN H A, KHAN S D, et al. An all-diode pumped 1.28-Joule, 200-picosecond Nd: YAG laser amplifier at 10 Hz[J]. Optics Communications, 2025, 577: 131413. doi: 10.1016/j.optcom.2024.131413
    [8] 刘学胜, 杨松, 司汉英, 等. 1J高光束质量免水冷脉冲Nd: YAG激光器[J]. 发光学报, 2019, 40(12): 1523-1530. doi: 10.3788/fgxb20194012.1523

    LIU X SH, YANG S, SI H Y, et al. High beam quality water-free pulsed Nd: YAG laser with output energy 1 J[J]. Chinese Journal of Luminescence, 2019, 40(12): 1523-1530. (in Chinese). doi: 10.3788/fgxb20194012.1523
    [9] YAHIA V, KAUSAS A, TSUJI A, et al. Joule-class sub-nanosecond pulses produced by end-pumped direct bonded YAG/sapphire modular amplifier[J]. Optics Express, 2024, 32(8): 14377-14393. doi: 10.1364/OE.518251
    [10] CHEN S B, UEDA K I. Room temperature high-power TEM00 mode beam from bulk solid-state laser without water cooling[J]. Optics & Laser Technology, 2025, 181: 111630. doi: 10.1016/j.optlastec.2024.111630
    [11] LI ZH Y, WANG SH Y, GUO ZH, et al. 100 mJ pulse operation in thermal lens Q-switching Nd: YAG MOPA[J]. Optics & Laser Technology, 2025, 182: 112113. doi: 10.1016/j.optlastec.2024.112113
    [12] COYLE D B, STYSLEY P R, POULIOS D, et al. High efficiency, 100 mJ per pulse, Nd: YAG oscillator optimized for space-based earth and planetary remote sensing[J]. Optics & Laser Technology, 2014, 63: 13-18. doi: 10.1016/j.optlastec.2014.03.009
    [13] YAN R P, XU H B, LI X D. Computation and verification of spatial rate equations for an electro-optically Q-switched laser-diode side-pumped Nd: YAG laser[J]. Applied Sciences, 2023, 13(9): 5410. doi: 10.3390/app13095410
    [14] YANG Z Q, CONG ZH H, MENG J, et al. Compact LD side-pumped Nd: YAG oscillator at 100 Hz without water-cooling[J]. Optics Communications, 2023, 541: 129552. doi: 10.1016/j.optcom.2023.129552
    [15] FU X, LIU Q, YAN X, et al. High power composite Nd: YAG/YAG zigzag dual-slab laser oscillator[J]. Laser Physics, 2011, 21(1): 48-51. doi: 10.1134/S1054660X10230027
    [16] YANG H L, MENG J Q, MA X H, et al. Compact and high-energy diode-side-pumped Q-switched Nd: YAG slab laser system for space application[J]. Chinese Optics Letters, 2014, 12(12): 121406. doi: 10.3788/col201412.121406
    [17] CHEN X M, LU Y H, HU H, et al. Narrow-linewidth, quasi-continuous-wave ASE source based on a multiple-pass Nd: YAG zigzag slab amplifier configuration[J]. Optics Express, 2018, 26(5): 5602-5068. doi: 10.1364/OE.26.005602
    [18] WANG W, FU CH, HU ZH Y, et al. Segment side-pumped Q-switched Nd: YAG laser[J]. Applied Optics, 2012, 51(11): 1765-1770. doi: 10.1364/AO.51.001765
    [19] KOECHNER W. Solid-State Laser Engineering[M]. 5th ed. Springer, 2013. (查阅网上资料, 未找到本条文献出版地, 请确认).
    [20] LI CH Y, LU CH Q, LI CH, et al. Compact conductively cooled electro-optical Q-switched Nd: YAG laser[J]. Optical Engineering, 2017, 56(11): 116115. doi: 10.1117/1.oe.56.11.116115
    [21] KOECHNER W. Laser amplifier[M]//KOECHNER W. Solid-State Laser Engineering. New York: Springer, 2006: 156-209.
    [22] DUPRAZ K, CASSOU K, MARTENS A, et al. The ABCD matrices for reflection and refraction for any incident angle and surface[J]. Optics Communications, 2019, 443: 172-176. doi: 10.1016/j.optcom.2019.03.041
  • 加载中
图(13) / 表(1)
计量
  • 文章访问数:  184
  • HTML全文浏览量:  95
  • PDF下载量:  7
  • 被引次数: 0
出版历程
  • 收稿日期:  2025-11-21
  • 录用日期:  2026-01-30
  • 网络出版日期:  2026-03-13

目录

    /

    返回文章
    返回